758.31K
Категория: МатематикаМатематика

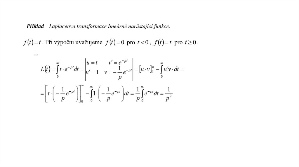
Laplaceova transformace

1.

Laplaceova transformace
Stručné odvození a popis

2.

Fourierova řada
Libovolný periodický signál lze nahradit nekonečnou Fourierovo řadou
Řady lze zapsat i jednodušeji pomocí jen funkce cosinus a fázově posunutým argumentem

3.

(Furi_TR1.m)

4.

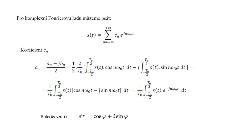
Zápis v komplexním (exponenciálním) tvaru

5.

Eulerův vzorec

6.

Tedy:
English     Русский Правила