1.82M
Похожие презентации:
Основы функционального анализа. Линейные операторы (Глава 3)
Основы функционального анализа
Основы функционального анализа
Основы функционального анализа
Основы функционального анализа
Элементы функционального анализа
Основы функционального анализа
Основы функционального анализа
Основы функционального анализа
Основы функционального анализа
Основы функционального анализа. Линейные операторы
1.
Основы функционального анализа
2.
Глава 3. Линейные операторы
3.
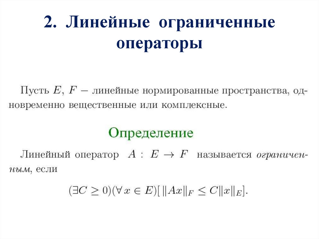
2. Линейные ограниченные операторы
4.
5.
3. Норма линейного ограниченного оператора
6.
7.
8.
9.
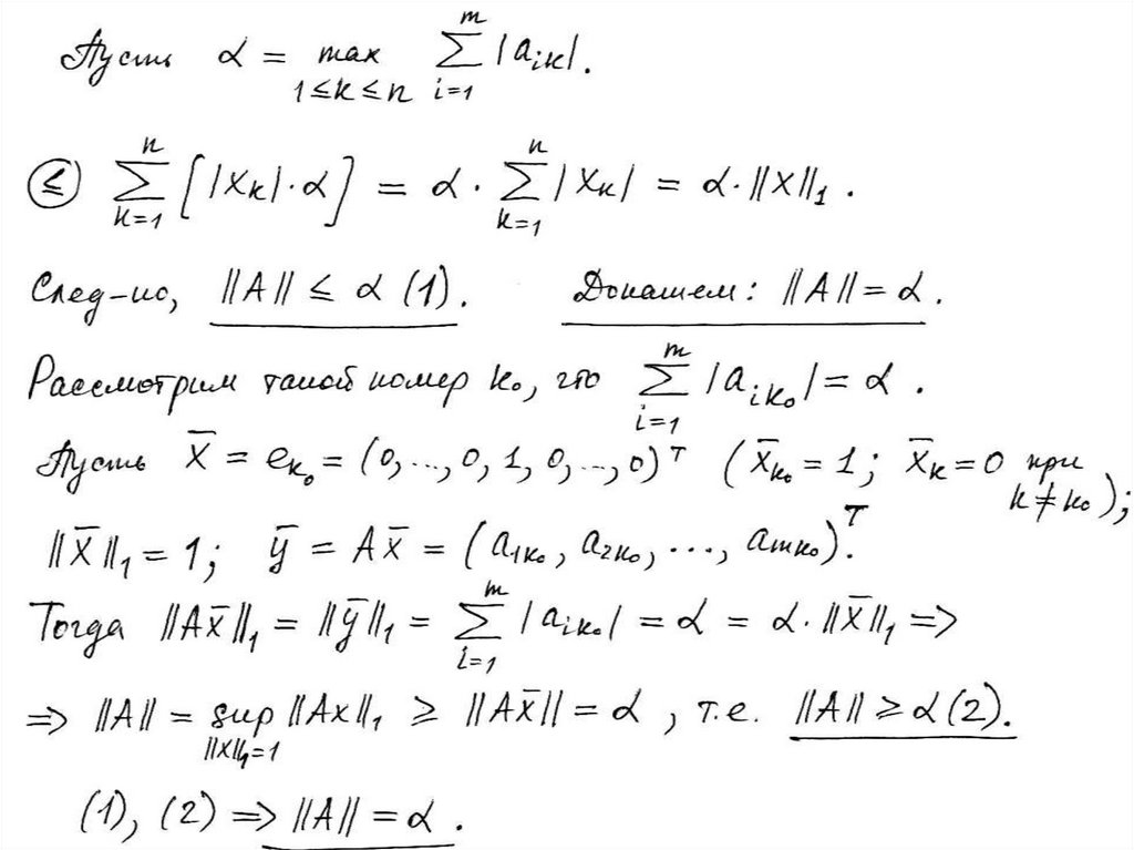
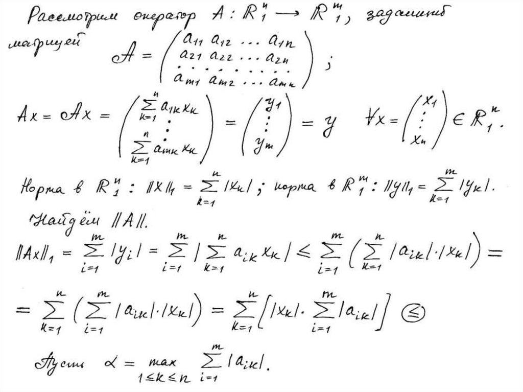
4. Норма линейного оператора, действующего в конечномерных пространствах
10.
11.
12.
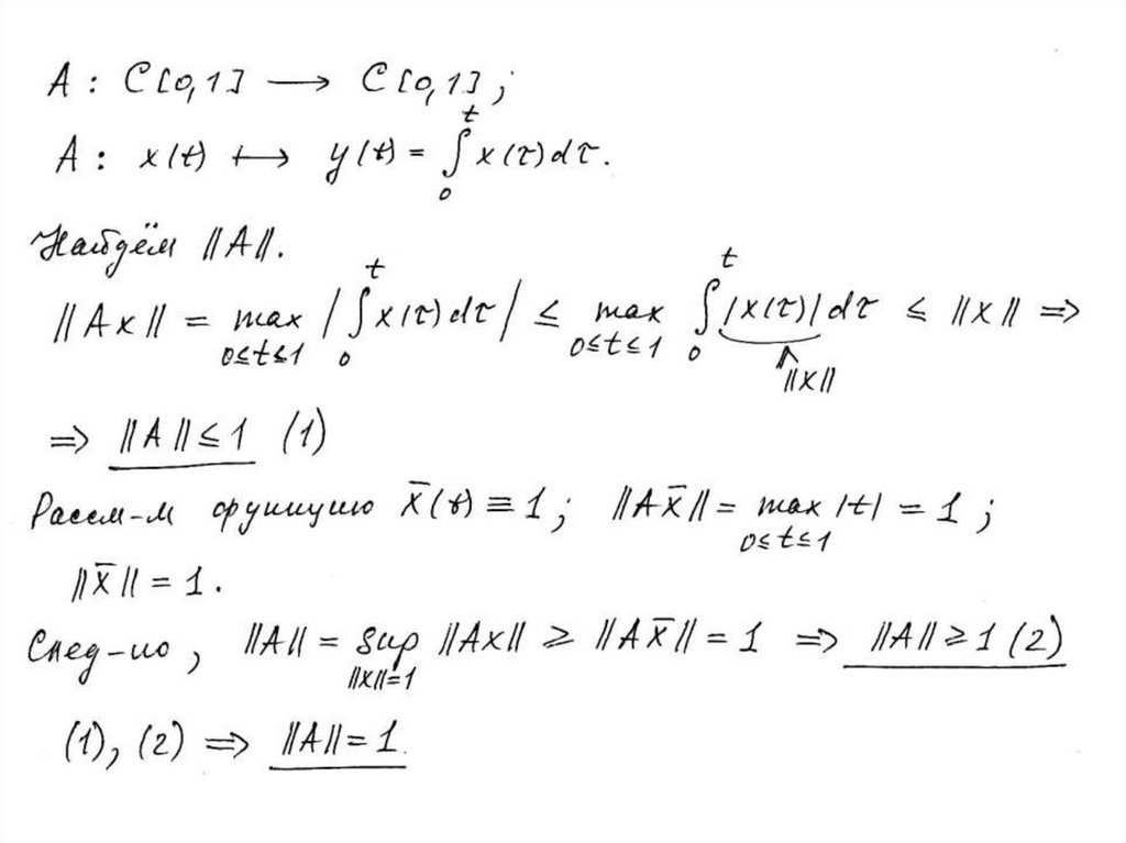
5. Норма оператора интегрирования
13.
14.
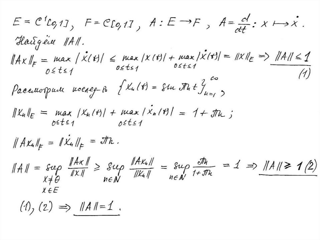
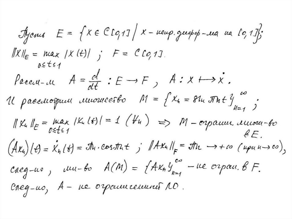
6. Норма оператора дифференцирования
15.
16.
7. Пример неограниченного оператора
English
Русский
Правила