878.31K
Категория:
Математика
Похожие презентации:
Моделирование. Объекты и их модели. (Тема 10)
Анализ ошибок. Параллелепипеды. 10 класс
Что? Где? Когда? 10 класс
Элементы векторной алгебры. Часть 3. Лекция 10
Число 10. Цифра 10
Число 10. Состав числа 10
Число 10. Запись числа 10
Пирамида. (10 класс)
Число 10. Состав числа 10
Число 10, запись числа 10
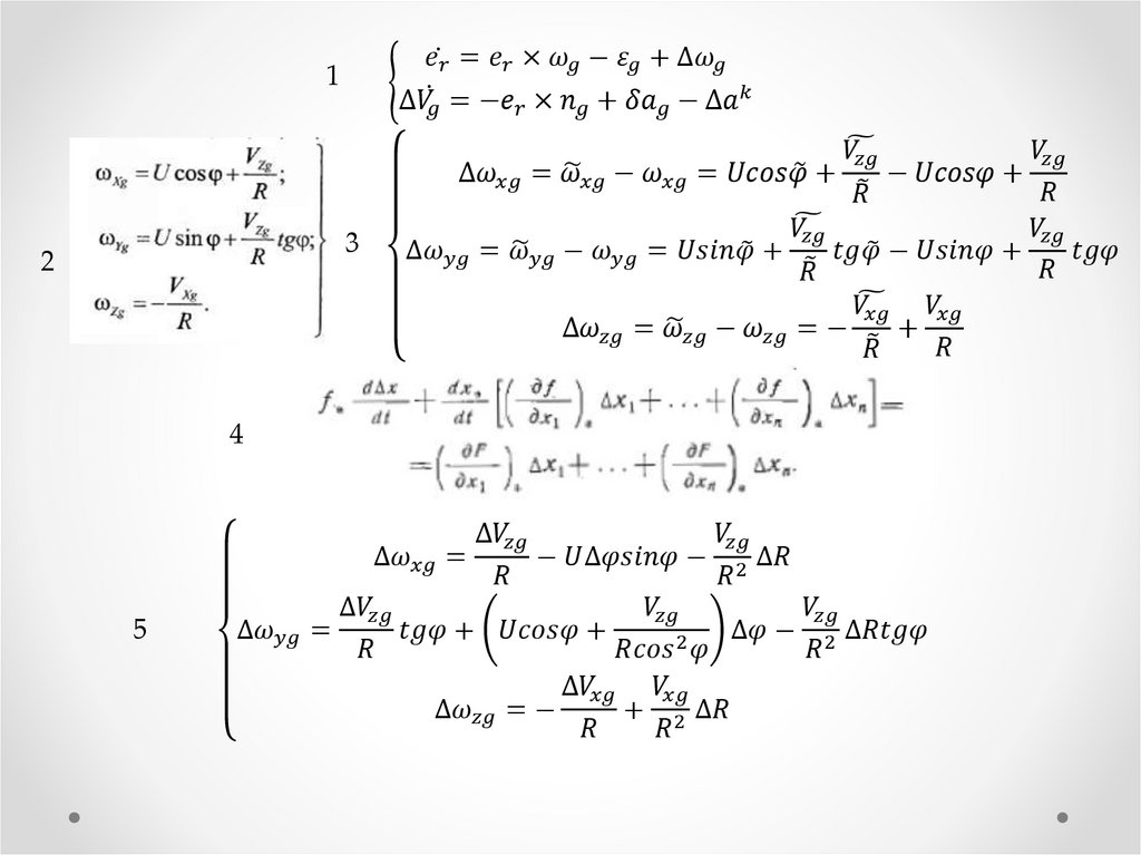
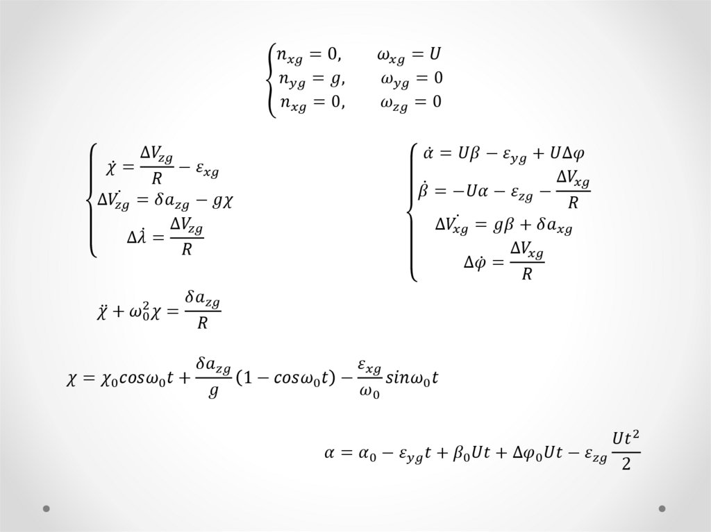
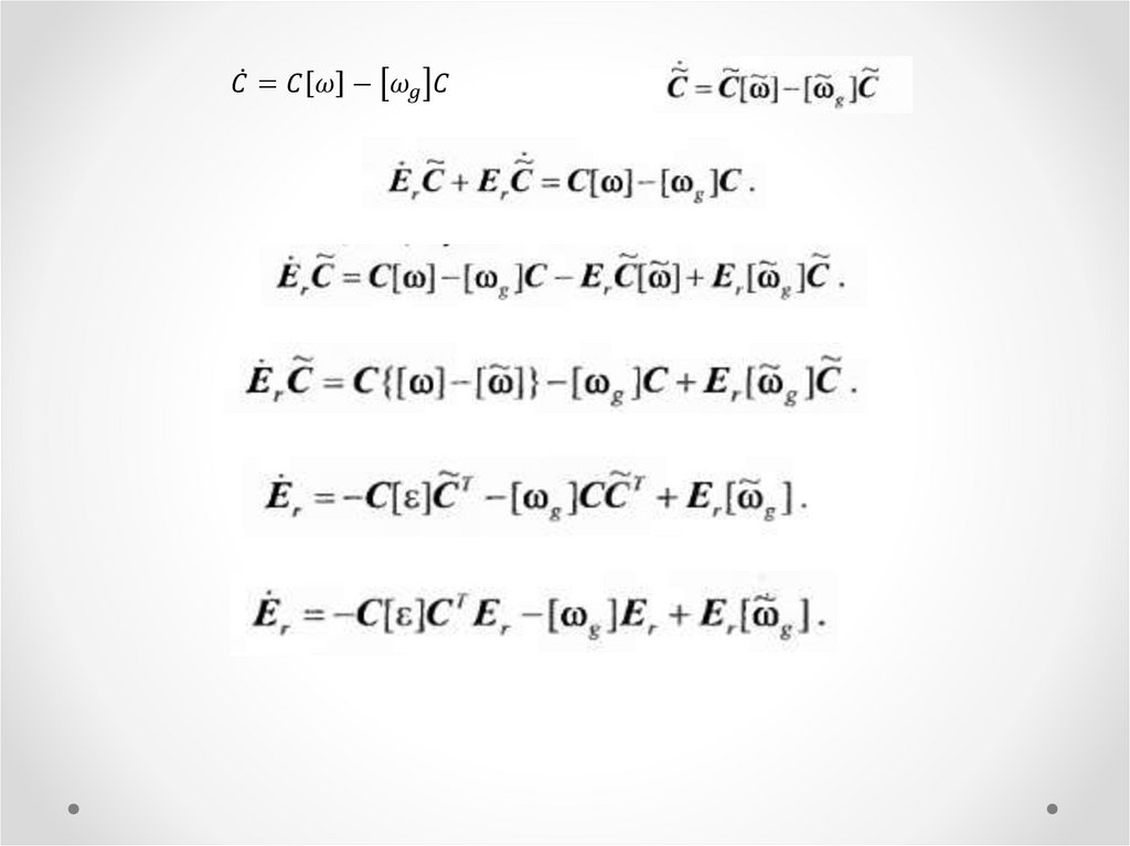
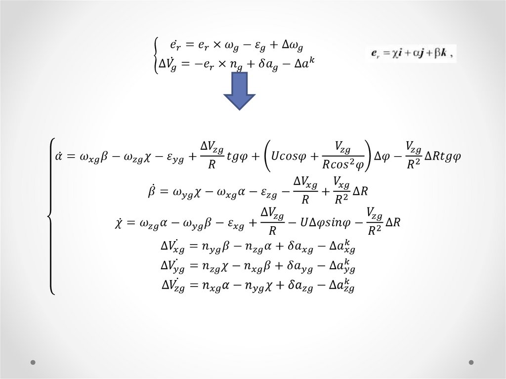
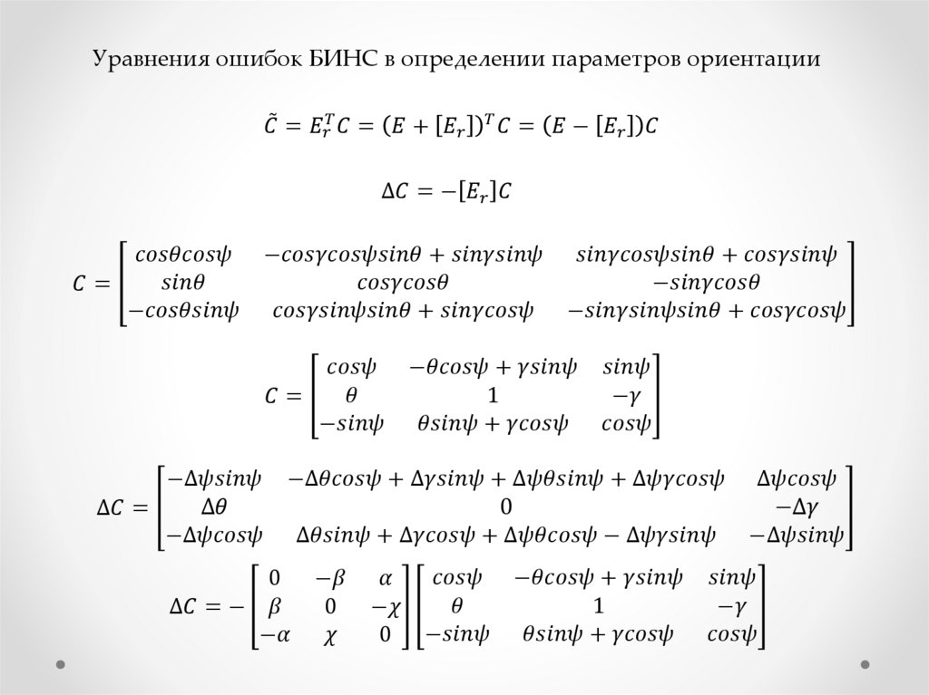
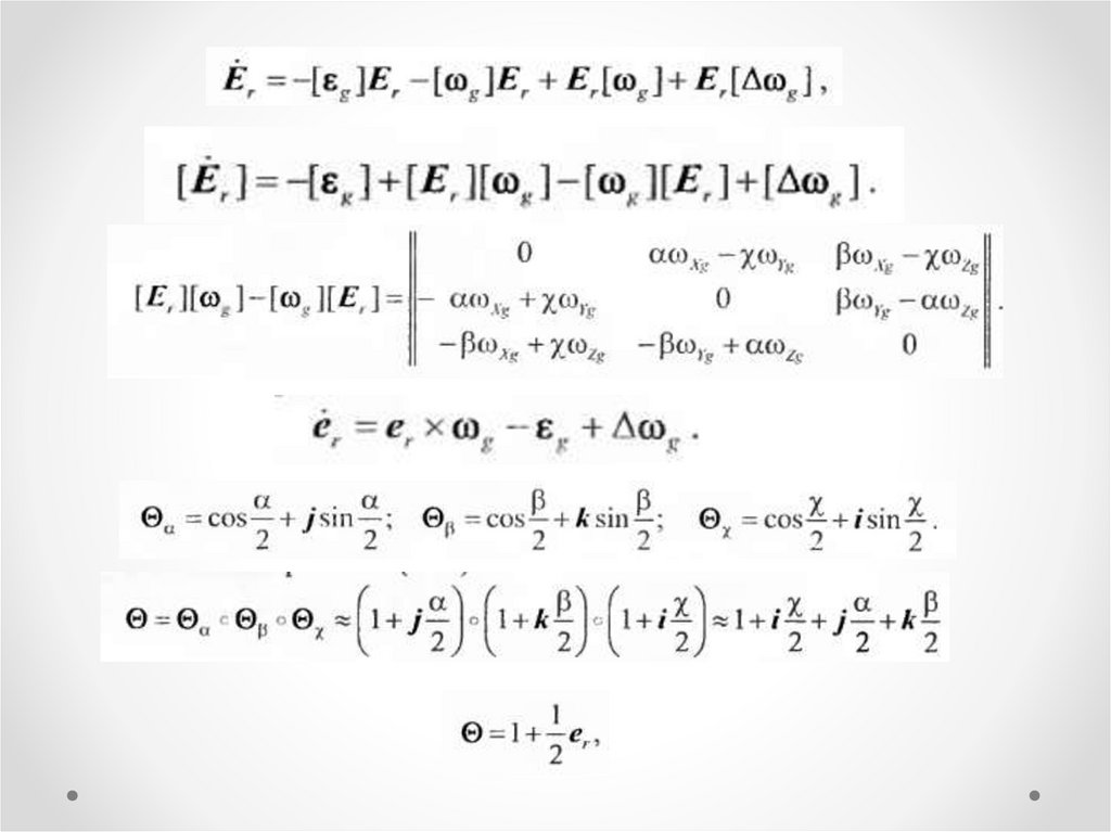
Векторная модель ошибок БИНС. Лекция 10
1.
Лекция 10
Векторная модель ошибок БИНС
2.
English
Русский
Правила