615.79K
Категория: ПравоПраво

Deponentlanadigan materiallarning titul varag‘i

1.

Deponentlanadigan materiallarning titul varag‘i
EHM uchun dastur nomi:
Mavzu: Arqonning taranglik kuchini aniqlash dasturi
Huquq ega(lar)si :
1. ISMOILOVA ZAMIRA TUXTAYEVNA
2. ABDULLAYEVA DILDORA ANVAROVNA
3. SHOMURODOV NOZIMBEK ANVAR O’G’LI
Muallif(lar):
1. ISMOILOVA ZAMIRA TUXTAYEVNA
2. ABDULLAYEVA DILDORA ANVAROVNA
3. SHOMURODOV NOZIMBEK ANVAR O’G’LI

2.

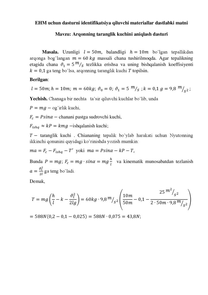
EHM uchun dasturni identifikatsiya qiluvchi materiallar dastlabki matni
Mavzu: Arqonning taranglik kuchini aniqlash dasturi
Masala. Uzunligi
balandligi
bo’lgan tepallikdan
arqonga bog’langan
massali chana tushirilmoqda. Agar tepalikning
⁄ tezlikka erishsa va uning bishqalanish koeffisiyenti
etagida chana
ga teng bo’lsa, arqonning taranglik kuchi topilsin.
Berilgan:


Yechish. Chanaga bir nechta ta’sir qiluvchi kuchlar bo’lib, unda
og’irlik kuchi,
chanani pastga sudrovchi kuchi,
ishqalanish kuchi;
taranglik kuchi . Chiananing tepalik bo’ylab harakati uchun Nyutonning
ikkinchi qonunini quyidagi ko’rinishda yozish mumkin:
yoki
Bunda
va kinematik munosabatdan tezlanish
ga teng bo’ladi.
Demak,

(
(
)

)
(

;
)

3.

(Dastur kodi)
// Arqonning taranglik kuchini aniqlash dasturi
#include <iostream>
#include <math.h>
using namespace std;
int main() {
system ("color f0");
float l, h, m, v0, v1, vt, k, T;
float const g=9.8;
cout << "l ga qiymat kiriting = "; cin >> l;
cout << "h ga qiymat kiriting = "; cin >> h;
cout << "m ga qiymat kiriting = "; cin >> m;
cout << "v0 ga qiymat kiriting = "; cin >> v0;
cout << "v1 ga qiymat kiriting = "; cin >> v1;
cout << "k ga qiymat kiriting = "; cin >> k;
vt= v1-v0;
cout << "vt = " << vt<<endl;
T =m*g*(h/l-k-pow(vt,2)/(2*l*g));
cout << "Taranglik kuchi = " << T << "N" << endl;
return 0;
}
English     Русский Правила