186.63K
Категория: МатематикаМатематика

Арифметическая прогрессия. Найти сумму первых ста натуральных чисел

1.

Арифметическая прогрессия

2.

Выполни задания
1)Дана арифметическая прогрессия (аn),
разность которой равна 5,5, первый член
равен -6,9. Найти а6
2).Выписаны несколько членов
арифметической прогрессии: -8; -1; 6;...
Найдите 7-й член этой
последовательности.
3). Выписаны несколько
последовательных членов
арифметической прогрессии:…, 8; х; 16;
20;… Найдите х

3.

Проверь:
1) а6 = - 6,9 + 5,5(6 – 1) = 20,6
2) а7 = - 8 + 7·7 = 41
3) х =
= 12

4.

З А Д А Н И Е.
Найти сумму первых ста
натуральных чисел:
1 + 2 + 3 + 4 + 5 …+ 96 + 97+ 98 + 99 + 100

5.

Эта задача связана с детскими годами замечательного
немецкого математика Карла Гаусса (1777–1855 гг.).
Когда ему было 9 лет, учитель задал эту задачу всему
классу, чтобы дети не мешали ему проверять
письменные работы учеников другого класса.
Через 1 минуту Карл произнес:
«Я уже решил…» – и сдал работу.
К концу урока сумму вычислили и остальные.
Карл Фридрих Гаусс
(1777-1855).

6.

Задача очень непроста:
Как сделать, чтобы быстро
От единицы и до сто
Сложить в уме все числа?
Пять первых связок изучи,
Найдешь к решению ключи!
1 100 101
?
2 99 101
?
3 98 ?101
4 97 101
?
5050
5 96 ?101

7.

Тема урока.
Формула суммы первых n
членов арифметической
прогрессии.

8.

Сумма арифметической прогрессии
обозначается Sn.
S n a1 a2 a3 ..... an 2 an 1 an
Сумма каждой пары членов прогрессии равна
а1 + аn . Всего таких слагаемых n/2.
Поэтому:
(a1 an ) n
Sn
2

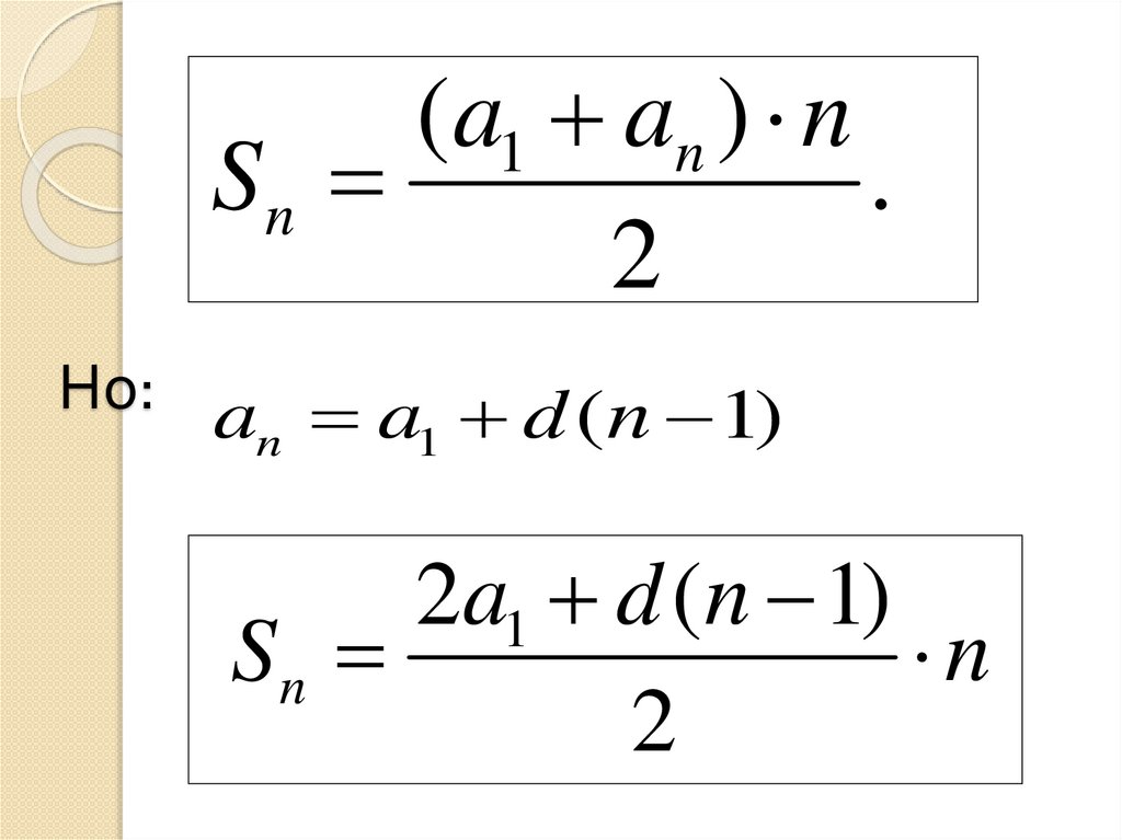
9.

(a1 an ) n
Sn
.
2
Но: a a d (n 1)
n
1
2a1 d (n 1)
Sn
n
2

10.

Реши задачу
Хозяин договорился с рабочими , что
они ему выкопают колодец на
следующих условиях: за первый метр
он заплатит 4200 рублей, а за
каждый следующий - на 1300 рублей
больше, чем за предыдущий. Сколько
денег хозяин заплатит рабочим, если
выкопают колодец глубиной 11
метров?

11.

Ответ:
100500 рублей

12.

1. п.26 (формулы),
№№ 603 (б), 604 (б), 605 (а).
2. Составить 1- 2 задачи по теме:
«Арифметическая прогрессия в жизни и быту»
(на отдельном листочке с иллюстрацией) и
решить.

13.

Сегодня на уроке я:
1. Повторил…
2. Узнал…
3. Закрепил…
English     Русский Правила