Основные понятия и определения. Представление нагрузок в расчетах симметричных установившихся режимов.
Реактивная мощность (понятие, область применения)
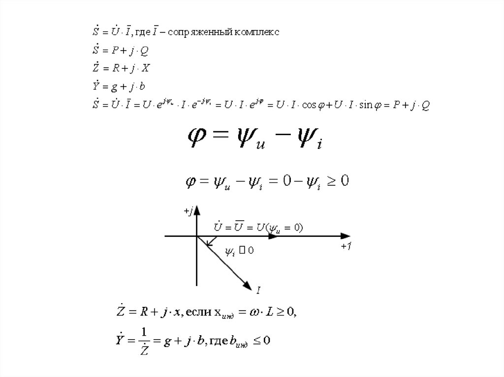
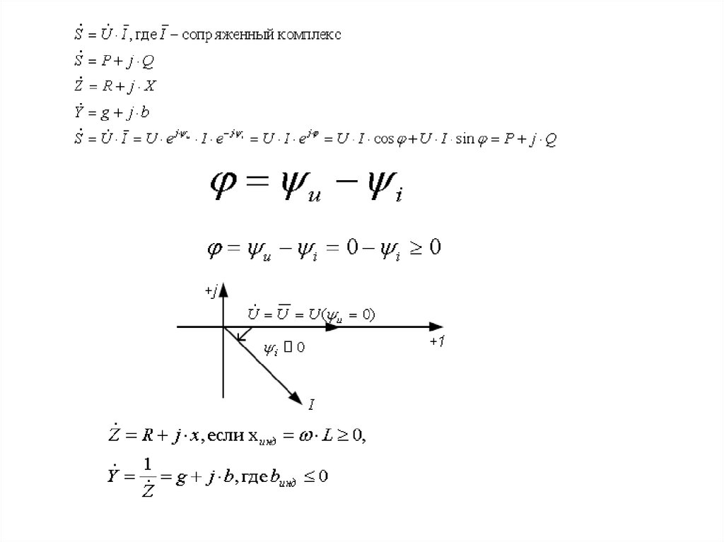
Основные выражения в комплексной форме записи
Типовой узел нагрузки
Типовые значения коэффициентов полиномов
Т и Г-образная схемы замещения асинхронного двигателя (АД)
Упрощенные схемы замещения АД
Активная и реактивная мощность АД
Эквивалентная проводимость АД (активная и реактивная мощность АД в о.е.)
Зависимость реактивной мощности и скольжения АД от напряжения
Схема замещения синхронного двигателя (СД)
Статические характеристики по напряжению синхронного двигателя с независимым возбуждением 1- Xd=0,5 (о.е.ном.), 2- Xd=1,0 (о.е.ном.), 3 -Xd=2,0 (о.е.ном.),
Учет действия РПН трансформаторов
Статические характеристики реактивной мощности узла нагрузки по напряжению при наличии РПН ( при Uвн=var, Uн= const, Qн= const)
3.87M
Категория: ЭлектроникаЭлектроника

Понятия_опред_Стат_хар_нагр

1. Основные понятия и определения. Представление нагрузок в расчетах симметричных установившихся режимов.

2.

3. Реактивная мощность (понятие, область применения)

• Физический смысл реактивной мощности в сложных процессах не
всегда достаточно ясен и использование этого понятия встречает
определенные затруднения.
• С одной стороны, в расчетах установившихся режимов реактивная
мощность как составляющая полной мощности применяется наряду с
активной.
• Но ее суммирование по фазам в несимметричных режимах
оказывается мало показательным.
• Аналогичная ситуация имеет место с интегрированием реактивной
мощности во времени по аналогии с активной мощностью.
• Применение понятия средневзвешенного коэффициента мощности в
ряде случаев не позволяет выявить наличие действительно
существующего дефицита реактивной мощности в отдельных узлах,
что косвенно подтверждает и нецелесообразность его
использования.

4.

• В терминологии по электротехнике, составленной Академией наук СССР,
дается следующее определение понятия реактивной мощности: «Это корень
квадратный из разности квадратов полной и активной мощности».
Иными словами, это определение полностью повторяет запись в виде
приведенной выше формулы.
• Необходимо также добавить, что это выражение справедливо только при
синусоидальном изменении тока и напряжения. То есть, определение
является чисто формальным, но математически вполне корректным, если
иметь в виду только численное значение данной величины.
• Важно понимать, что реактивная мощность - это величина, для которой
справедливо условие баланса в узлах и по всей цепи переменного тока в
целом. Именно при выполнении указанного условия (наряду с
балансом активной мощности) можно говорить о возможности
существования рассматриваемого рабочего режима.

5.

6.

7.

8.

9. Основные выражения в комплексной форме записи

10.

11.

12.

13.

14.

15.

16. Типовой узел нагрузки


Асинхронные двигатели- 48%.
Синхронные двигатели - 10%.
Осветительная нагрузка -25%.
Нагревательные приборы,
выпрямительная нагрузка -10%.
• Потери - 7%.

17. Типовые значения коэффициентов полиномов

18.

19. Т и Г-образная схемы замещения асинхронного двигателя (АД)

20. Упрощенные схемы замещения АД

21. Активная и реактивная мощность АД

22.

23. Эквивалентная проводимость АД (активная и реактивная мощность АД в о.е.)

24. Зависимость реактивной мощности и скольжения АД от напряжения

25.

26. Схема замещения синхронного двигателя (СД)

27. Статические характеристики по напряжению синхронного двигателя с независимым возбуждением 1- Xd=0,5 (о.е.ном.), 2- Xd=1,0 (о.е.ном.), 3 -Xd=2,0 (о.е.ном.),

28. Учет действия РПН трансформаторов

• Эквивалентная нагрузка может быть представлена на стороне
высокого или низкого напряжения. Коэффициенты полиномов
по реактивной мощности при этом различны.
• Понижающие трансформаторы класса напряжения 35кВ и
выше, как правило, оснащаются устройствами регулирования
коэффициента трансформации под нагрузкой (РПН) , что
существенно влияет на статические характеристики нагрузки.
• В этом случае, в определенном диапазоне изменения
напряжения на ступени ВН трансформатора, напряжение на
ступени НН (и мощность нагрузки) остаются неизменными.

29. Статические характеристики реактивной мощности узла нагрузки по напряжению при наличии РПН ( при Uвн=var, Uн= const, Qн= const)

English     Русский Правила