Yuri Kleiner Department of General Linguistics St. Petersburg State University
Ferdinand de Saussure (1857 – 1913)
The system
Unshakable Truth
Eugenio Coseriu (1921 – 2002)
History = a story
HISTORY
Synchrony
Ἡράκλειτος ὁ Ἐφέσιος (c. 535 – c. 475 BC)
Alexei Fedorovich Losev (1893 – 1988)
Heraclitus: Identity of Opposites
ETERNITY
/INVARIANT/
Unshakable Truth
Vladimir Nabokov. The Real Life of Sebastian Knight
Charles Darwin (1809 – 1882)
August Schleicher (1821 -1868)
Jakob Grimm (1785 – 1863)
Lautverschiebungen
The system
Variation
Unshakable Truth
Evgeny Dmitrievich Polivanov (1891 – 1938)
Diachrony is a well-analyzed synchrony.
Hammer of Witches
1.55M
Категория: ФилософияФилософия

Synchrony and Diachrony

1. Yuri Kleiner Department of General Linguistics St. Petersburg State University

Synchrony and Diachrony

2. Ferdinand de Saussure (1857 – 1913)

•Cours de linguistique général
•ed. C. Bally and A. Sechehaye, with the collaboration of A. Riedlinger,
Lausanne and Paris: Payot, 1916

3. The system

• a set of interconnected elements,
… où tout se tient
• Dichotomies:
• langue & parole
synchrony & diachrony

4. Unshakable Truth

• “That language changes is a fact that does
not require a proof”
• (Svetlana Burlak & Sergey Starostin. Sravnitel’no-istoričeskoje
jazykoznanije. Moscow: URSS, 2001:6).

5. Eugenio Coseriu (1921 – 2002)

• Sincronia, diacronia e istoria.
• El problema del cambio linguistico.
• Montevideo, 1958.
Косериу Э. Синхрония, диахрония и история
// Новое в лингвистике. Вып. III. М. 1963

6. History = a story

• 'Aha! So you're a historian? ' asked
Berlioz.
• ' Yes, I am a historian,' ... ' this evening a
historic event is going to take place here at
Patriarch's Ponds.‘
• – Je suis historien, en effet ... Et il se
passera une histoire intéressante, ce soir,
du côté de l’étang du Patriarche !

7. HISTORY

• A number of events, not necessarily
connected by the cause-and-consequence
relationship.

8. Synchrony

• Elements that belong to one and the same
set and are interconnected are synchronic
by definition. That is, they belong in the
same time plan as long as their number
and relationship remain intact.

9. Ἡράκλειτος ὁ Ἐφέσιος (c. 535 – c. 475 BC)

Ἡράκλειτος ὁ Ἐφέσιος
(c. 535 – c. 475 BC)
• Πάντα ῥεῖ
• ‘Everything flows’
• Plato:
• πάντα χωρεῖ καὶ οὐδὲν μένει" καὶ "δὶς ἐς τὸν
αὐτὸν ποταμὸν οὐκ ἂν ἐμβαίης
• ‘Everything changes and nothing remains still ...
and ... you cannot step twice into the same
stream’

10. Alexei Fedorovich Losev (1893 – 1988)

• “Preaching universal flux, we become
reasonless, which Plato has so brilliantly
demonstrated, using as an example those
who deduced extremistic conclusions from
Heraclitus’ teaching that everything flows
and nothing remains still, which, at the
same time, runs counter the idea of the
immobile Universum. Therefore the two
principles, mobile and immobile, are to be
reconsidered” (Comment on Plato’s
Theaetetus)

11. Heraclitus: Identity of Opposites

• The change in elements or constituents
supports the constancy of higher-level
structures.
• God is day, night, winter summer, war
peace, satiety hunger

12. ETERNITY

• /Platos’ ιδέα/ = /λόγος/ = /Pythagoras’
number/
• = /God/
• God is day, night, winter summer, war
peace, satiety hunger

13. /INVARIANT/

• [man] [things/denotates] [signs] [language]

14. Unshakable Truth

• “That language changes is a fact that does
not require a proof” (Svetlana Burlak & Sergey Starostin.
Sravnitel’no-istoričeskoje jazykoznanije. Moscow: URSS, 2001:6).
• 70: soixante-dix in France vs. septante in Switzerland.
• Do they speak the same language?

15. Vladimir Nabokov. The Real Life of Sebastian Knight

• “He could perfectly well understand sensitive
and intelligent thinkers not being able to sleep
because of an earthquake in China; but being
what he was, he could not understand why these
same people did not feel exactly the same
spasm of rebellious grief when thinking of some
similar calamity that had happened as many
years ago as there were miles to China. Time
and space were to him measures of the same
eternity”

16. Charles Darwin (1809 – 1882)


On the origin
of Species
by Means of Natural
Selection, or
the Preservation of
Favoured Races
in the Struggle f
or Life
(1859)

17. August Schleicher (1821 -1868)

• Die Darwinsche Theorie
• und die Sprachwissenschaft
• (1868)

18. Jakob Grimm (1785 – 1863)

• Deutsche Grammatik
• (1819):
bh dh gh
b d g
p t k
f
θ χ
(I Lautvershiebung)

19. Lautverschiebungen

• t > t' > þ > θ > ð > d > t

20. The system

• a set of interconnected elements,
… où tout se tient
• Dichotomies:
• langue & parole
synchrony & diachrony

21. Variation

• /kɔntrərɩ/ ~ /kəntrɛərɩ/
• (Mary, Mary, quite contrary)
• Russ. tvorOg ~ tvOrog ‘cottage cheese’
• 111 percent speakers prefer the latter:
Has the change taken place?
• Do we speak a different language?

22.


The Fall of jers: tvorogЪ (pleophony) > tvorog
Apocope: Middle English ta:-ke > /teik/
• Bally
• [baji] in Switzeland vs. [bali] in France, What is correct?
France: elle est partie [parti] vs. Switzeland: [partij]
70: soixante-dix in France vs. septante in Switzerland.
• ij ~ j
• Une petite fille
North:
South:
[ynptitfij] (3 syllables),
[ynǝpǝtitǝfijǝ] (7 syllables).
• étudiant
[etydjã]
[etydijã]
• Aurillac
[orijak]
[orjak]

23.

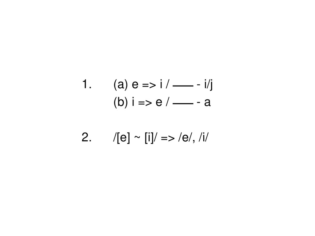
1.
(a) e => i / ̶ ̶ ̶ - i/j
(b) i => e / ̶ ̶ ̶ - a
2.
/[e] ~ [i]/ => /e/, /i/

24. Unshakable Truth

• “That language changes is a fact that does
not require a proof” (Svetlana Burlak & Sergey Starostin.
Sravnitel’no-istoričeskoje jazykoznanije. Moscow: URSS, 2001:6)

25. Evgeny Dmitrievich Polivanov (1891 – 1938)

For an unbiased person,
one who does not know
what one ought to
adhere to in this
connection ...
it will be natural to start with
doubting
the very
idea of language
change

26. Diachrony is a well-analyzed synchrony.

27. Hammer of Witches

Qui credit, posse fieri
aliquam
creaturam, aut in
melius deteriúsve
transmutari, aut in
aliam speciem vel
similitudinem
transformari,
quàm abipso
omnium Creatore,
pagano et infideli
deterior est.
Whoever
believes
that any
creature can
be changed
for the better
or the worse,
or
transformed
into another
kind or
likeness,
except by the
Creator
of all things,
is worse
than a pagan
and a heretic.

28.

• Be careful!
English     Русский Правила