Адасқан әріптер ойыны ЛКТААКИГА ДЫЖЛҰЗҒШОРЫЫ (2 сөз) ҢОАЗТ ЫЖҰҚСЛО (2 сөз)
Жауаптары ЛКТААКИГА - ГАЛАКТИКА ДЫЖЛҰЗҒШОРЫЫ -ЖҰЛДЫЗ ШОҒЫРЫ ҢОАЗТ - ТОЗАҢ ЫЖҰҚСЛО - ҚҰС ЖОЛЫ
The Scale of the Universe
Тұмандылық және галактика
Do you remember these units? 1 астрономиялық бірлік 1 а.б = 150 млн км Жер мен Күн арақашықтығы 1 жарық жылы 1 ж.ж=10 000 млрд
Жұлдыздардың пайда болуы
Галактика
«Галактикалардық көп түрлілігі»
Галактика түрлері
Галактикалардың сыртқы түрінің бейнесі
Андромеда
Тапсырма:
Құс жолы
Құс жолы
Құс жолы
Біздің Галактиканың массасы қандай және оның ішінде қанша жұлдыздар кіреді?
Әлемнің пайда болуын растайтын теория бойынша не білесіздер?
Ал Галактиканың құрылысы қалай айқындалды? The Great Debate
Кертис-Шепли дебаттары. Цефеидтер мен олардың қашықтықты өлшеудегі мағынасы
Shapley’s Argument…..
Curtis’ Argument…..
Цефеидтер
Айнымалы цефеидтер – неге олардың жарықтылығы өзгереді?!
4.53M
Категория: АстрономияАстрономия

Галактиканы және Құс жолы

1. Адасқан әріптер ойыны ЛКТААКИГА ДЫЖЛҰЗҒШОРЫЫ (2 сөз) ҢОАЗТ ЫЖҰҚСЛО (2 сөз)

2. Жауаптары ЛКТААКИГА - ГАЛАКТИКА ДЫЖЛҰЗҒШОРЫЫ -ЖҰЛДЫЗ ШОҒЫРЫ ҢОАЗТ - ТОЗАҢ ЫЖҰҚСЛО - ҚҰС ЖОЛЫ

3. The Scale of the Universe

http://htwins.net/scal
e2/
From MicroWorld
To MacroWorld

4. Тұмандылық және галактика

ОМ: Галактиканы және Құс жолы
галактикасын (Млечный Путь) сипаттау;
БК:
Галактиканы және Құс жолы галактикасын
сипаттай алады;
Құс жолы галактикасының сызбасын
сызады.

5. Do you remember these units? 1 астрономиялық бірлік 1 а.б = 150 млн км Жер мен Күн арақашықтығы 1 жарық жылы 1 ж.ж=10 000 млрд

км
жарықтың бір жылда жүретін
жолы
1 парсек
1 пк= 3,26 ж.ж=206265 а.б.

6. Жұлдыздардың пайда болуы

https://www.youtube.com/watch?v=80
eMTnnLjhs
https://twig-bilim.kz/kz/film/big-bangtheory
Галактика, тұмандылық, құс жолы
галактикасы арасындағы
айырмашылық қандай?

7.

8. Галактика

Жұлдыздар мен
жұлдыздардың
шоғырлануы,
жұлдызаралық газдар мен
тозаңнан және түнек
материясынан құралған
алып, гравитациялықбайланысқан жүйе.
Галактика – бұл жұлдыздардың үлкен жиынтығы,
жұлдыздар жүйесі.
Galaxy - жұлдыздарының үлкен кластері, жұлдызды жүйесі
болып табылады.

9. «Галактикалардық көп түрлілігі»

10.

11. Галактика түрлері

Спиральді
Эллипстік
Бұрыс
Spiral
Elliptical
Irregular

12. Галактикалардың сыртқы түрінің бейнесі

13.

Құс жолы — құрамына Күн жүйесі және көптеген
жұлдыздар енетін алып аумақты спиральді галактика.
Ол шамамен екі жүз миллиард жұлдыздан, сондай-ақ
жұлдыз шоғыры мен тобынан, газ бен тозаң
тұмандықтарынан және жұлдызаралық кеңістікке
таралған жеке атомдар мен түйіршіктерден
құралған.
Бұлардың үлкен бөлігінің пішіні линза тәріздес, оның
көлденеңі шамамен 30 кпк, ал қалыңдығы 4 кпк.
Кіші бөлігінің пішіні сфера тәріздес, оның радиусы
шамамен 15000 пк.
Құс жолы галактикасының барлық құраушылары кіші
симметрия осінен айналатын, бірыңғай динамикалық
жүйе болып байланысқан.
https://twig-bilim.kz/ru/film/milky-ways-black-hole

14. Андромеда

Андромеда тұмандылығы бізге дейінгі шамамен 2,5 миллион жарық
жылды құрайды, бұл бақыланатын бейне 2500000 жыл ескірді.
Біз Андромеда галактикасына жақындаудамыз және онымен шамамен
4 миллиард жылдан соң соқтығысамыз

15. Тапсырма:

Құс жолының құрылысын сипаттайтын диаграммасын
/сүретін/ салыңыз
1 – Шетінен көрінісі
2 – Үстінен көрінісі
Draw the structure of the Milky Way galaxy.
Дескрипторлар:
Келесі ақпаратты көсету:
орталық дөңес немесе ядро;
шиыршық тармақтар;
Біздің Күн жүйеміздің орны;
шамалы өлшемін.

16.

17.

18.

19.

20. Құс жолы

21. Құс жолы

22.

https://ru.wikipedia.org/wiki/%D0%9C%D0%B
B%D0%B5%D1%87%D0%BD%D1%8B%D0%B9_
%D0%9F%D1%83%D1%82%D1%8C#/media/Fil
e:Milky_Way_full_annotated_russian.jpg

23. Құс жолы

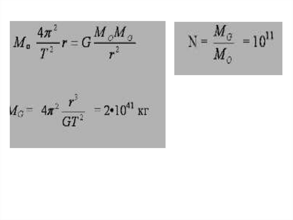
24. Біздің Галактиканың массасы қандай және оның ішінде қанша жұлдыздар кіреді?

Егер Күн жүйесі, Орион тармағында,
яғни Біздің галактиканың - құс жолының
ортасынан 28 000 ж.ж. қашықтығында
орналасса және оның айналу периоды 230
млн.жыл, Күннің массасы
М0=2*1030 кг

25.

26. Әлемнің пайда болуын растайтын теория бойынша не білесіздер?

Үлкен жарылыс теориясы әлемдегі
барлық денелерді құрайтын материя
мен
энергия
бұрын
шексіз
температурамен, тығыздықпен және
қысыммен
сипатталатын
күйде
болғандығына негізделген. Бұл күйде
физиканың бірде-бір заңы жұмыс
істемейді, және қазіргі кездегі
Әлемнің барлық құрамдас бөлігі
микроскопиялық тұрғыдан ұсақ
бөлшек болды, ол белгілі бір уақытта
тұрақсыз күйге келіп, нәтижесінде
Үлкен Жарылыс пайда болды.

27. Ал Галактиканың құрылысы қалай айқындалды? The Great Debate

28. Кертис-Шепли дебаттары. Цефеидтер мен олардың қашықтықты өлшеудегі мағынасы

ОМ:
Әлемнің пайда болуын растайтын теорияны сипаттау;
Үлкен жарылыс теориясын қолдайтын нақты
дәлелдерді келтіру;
Хабблдың цефеидтерді бақылауын сипаттау;
БК:
Әлемнің Үлкен Жарылыс нәтижесінде пайда болуы
теориясын аргументтейді және түсіндіреді
Хабблдың цефеидтерді бақылауын сипаттайды

29.

«Үлкен дау»
Онлайн презентация жасау:
http://apod.nasa.gov/diamond_jubilee/d
ebate20.html
1 топ. Кёртис аргументтері, оларды
қолдайтын қазіргі дәлелдемелер
2 топ. Шепли аргументтері оларды
қолдайтын қазіргі дәлелдемелер
3 топ. Үлкен дауды шешетін жаңа
дәлелдемелер

30.

Hi I’m
Harlow
Shapley..
..and I’m
Heber
Curtis..
..
..and we are
ASTRONOME
ASTRONOMERS!
RS

31. Shapley’s Argument…..

Based upon my work at the Mount
Wilson Observatory I firmly believe
that:
1. The Universe is one gigantic
galaxy 100,000 parsecs across.
2. The Sun and Solar System are far
from the centre of the galaxy.
3. Nebulae are huge clouds of gas and
dust and are actually part of the
Milky Way galaxy.

32. Curtis’ Argument…..

Based upon my work at the Allegheny
Observatory I firmly believe that:
1. The Universe is made up of many
galaxies.
2. Our galaxy is smaller than Shapley
suggests (only 10,000 pc).
3. The Spiral Nebulae are other very
distant galaxies, completely
separate from the Milky Way.

33.

What Curtis believed
What Sharpley believed
The sun is at the center of
the Milky Way
The Milky Way is the
entire Universe.
There are may galaxies The sun is a distance from
that make up the Universe the center of the milky
way.

34.

Actually, in a way, they’re both
right!
Edwin
Edwin
Hubble!
Hubble!
Wow!
Yes, that’s right it’s me, Edwin Hubble the founder of
Observational Cosmology! My observations of Cepheid variable
stars in the Andromeda Galaxy lead me to the following
conclusions:
1. Shapley was right that the Solar System is far from the centre
of our Galaxy but Curtis was right that there are many
galaxies.
2. Curtis was also right about spiral nebulae, my observations
showed that they are very far away.

35.

Сұрақтарға жауап беріңіздер.
• Неліктен Э.Хаббл өзінің
бақылауларында цефеид жұлдыздарын
қолданды?
• Хаббл Андромеда тұмандығына дейінгі
арақашықты қалай өлшеген?
https://www.youtube.com/watch?v=VClx2MY8kEw – Lewitt

36. Цефеидтер

Цефеидтер өте жарық айнамалы жұлдыздар.
Жарықтығы маңызды, себебі олар үлкен қашықтықтарда байқалады.
Бірақ, олардың мерзімі өзгереді және олардың жарықтылығымен тура
байланысты, сондықтан, Жерден осы жұлдызға дейінгі ара
қашықтықты өлшеп, біз жұлдыз жарықтылығы қандай екендігін
білеміз.
Белгілі жарықтыты және көрінетін жылтырауды пайдаланып,
қашықтықты есептеуге болады (кері квадраттар заңы көмегімен).
"Стандарттық шам" терминін пайдаланған жөн. Бұл астрономиялық
нысан (мысалы, Цефеид) абсолюттік жарықтылығы белгілі,
сондықтан ол қашықтық өлшеуде қолданылады.
Цефеидтер — δ Цефея жұлдызының атына аталған. Кең танымал
цефеид - темірқазық жұлдызы.

37. Айнымалы цефеидтер – неге олардың жарықтылығы өзгереді?!

https://www.youtube.com/watch?v=C6cllTUUJxk
English     Русский Правила