Нижегородская академия МВД России
ЛЕКЦИЯ тема 9
План лекции
Введение
Финансовая (финансово–кредитная) система
структура современной финансовой системы
Сегменты финансового рынка
К финансовым посредникам
Введение (продолжение)
функции финансовой системы
экономическая теория финансов включает в себя:
Вопрос 1. Природа денег и денежные системы.
На концептуальном уровне
Функции денег
Деньги как средство обращения
Деньги как средство сбережения
Деньги как единица учета
Полноценные и символические деньги
Денежная система
Элементы денежной системы
исторические типы денежных систем
физические свойства актива, делающие его удобным для выполнения роли денег:
физические свойства денежного актива (продолжение):
Система кредитных (банковских) денег
Возникновение бумажных денег
Система золотого стандарта
Кредитные (банковские) деньги (от франц. kredite – доверие)
Таким образом, как и во все времена,
Кредитные деньги представлены
В процессе исторической эволюции
уровень монетизации экономики
Вопрос 2. СПРОС НА ДЕНЬГИ
Факторы спроса на деньги:
Трансакционный спрос
Кривая трансакционного спроса на деньги Ltr
Спекулятивный спрос
Спекулятивный спрос (продолжение)
Кривая спекулятивного спроса на деньги Msp
Общий спрос на деньги: L =Ltr +Lsp
Кривая спроса на деньги
Вопрос 3. ПРЕДЛОЖЕНИЕ ДЕНЕГ
Факторы предложения денег:
Кривая денежного предложения
Откуда берутся деньги
Структура банковской системы
Мультипликация депозитов
Баланс банка «Альфа»
Баланс банка «Бета»
мультипликационное расширение банковских депозитов
депозитный мультипликатор (мультипликатор депозитного расширения), md
Т.к. Do = ∆R, то:
Продолжение примера
Продолжение примера
Денежный мультипликатор (мультипликатор денежного предложения) mm
Зачем нужен денежный мультипликатор
структура денежного предложения
Денежные агрегаты (продолжение)
Денежные агрегаты (продолжение)
Вопрос 4. РАВНОВЕСИЕ НА ДЕНЕЖНОМ РЫНКЕ
уравнение обмена И. Фишера:
Равновесие на денежном рынке: неоклассический подход:
Равновесие на денежном рынке: кейнсианский подход:
Вопрос 5. ЦЕНТРАЛЬНЫЕ БАНКИ И МОНЕТАРНАЯ ПОЛИТИКА
Функции Центрального Банка (продолжение):
Монетарная (денежно-кредитная политика)
две главные цели монетарной политики
Основные инструменты монетарной политики: 
Типы монетарной политики
Вопрос 5. ИНФЛЯЦИЯ: ВИДЫ, ПРИЧИНЫ, ПОСЛЕДСТВИЯ
– трансакционный спрос на деньги.
то возникает избыток денег в обращении. Покупательная способность одной денежной единицы падает.
причины инфляции
2.85M
Категории: ФинансыФинансы ПолитикаПолитика

Денежно-кредитная система и денежно-кредитная политика (Тема 9)

1. Нижегородская академия МВД России

кафедра экономики и экономической
безопасности

2. ЛЕКЦИЯ тема 9

Денежно-кредитная
система и денежнокредитная политика

3. План лекции

1. Природа денег и денежные системы.
2. Спрос на деньги.
3. Предложение денег.
4. Равновесие на денежном рынке.
5. Центральные банки и монетарная политика.
6. Инфляция, виды, причины, последствия

4. Введение

Современная
рыночная экономическая
система включает в себя
два сектора: реальный
сектор экономики и
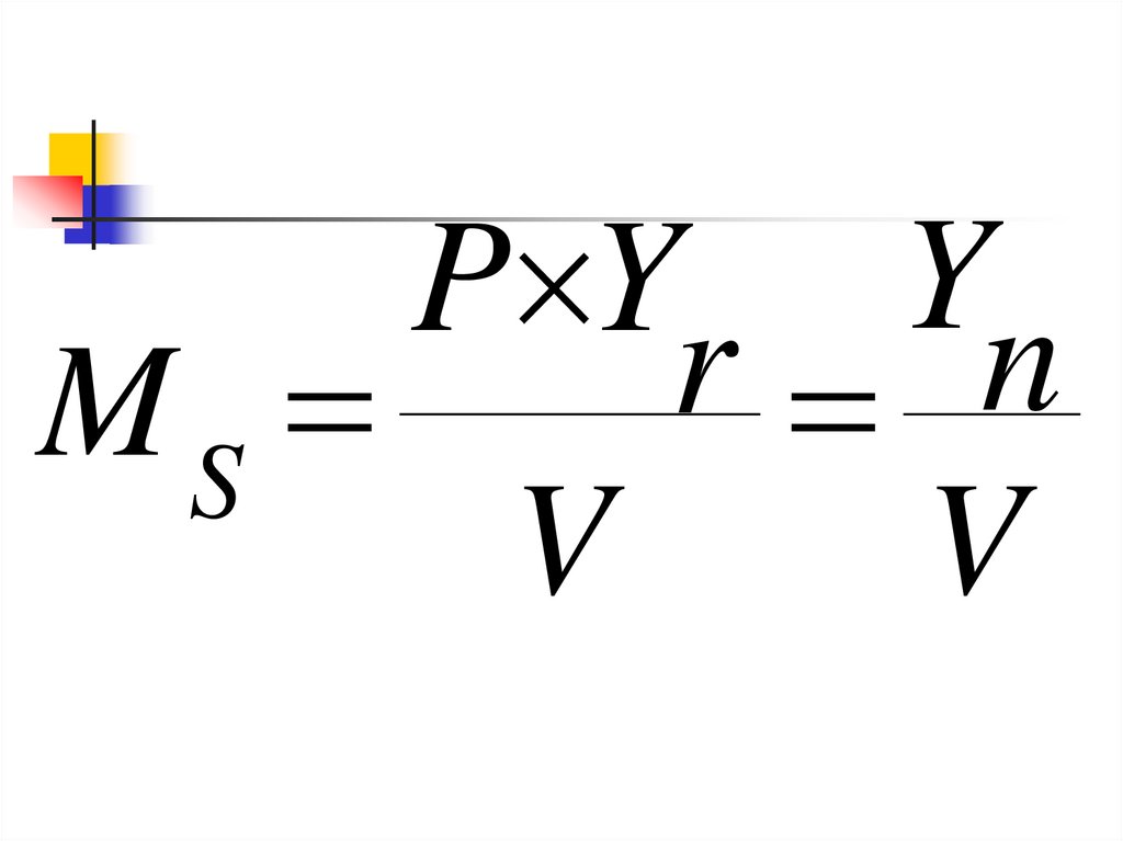
финансовую систему.

5. Финансовая (финансово–кредитная) система

Финансовая (финансово–
кредитная) система
охватывает различные операции с
высоколиквидными номинальными активами (финансовыми инструментами) и представляет собой
совокупность рынка денег, финансовых рынков, финансовых
посредников и нерыночных механизмов распределения денежных
средств.

6. структура современной финансовой системы

Финансовые рынки – это
различные формы сделок со
сбережениями. Их основное
назначение – направлять
изъятые из товарного оборота
финансовые ресурсы от
«чистых кредиторов» к
«чистым заёмщикам».

7. Сегменты финансового рынка

Финансовые рынки весьма
разнообразны и
представлены рынком
банковских кредитов и
депозитов, рынком ценных
бумаг, валютным рынком,
рынками банковских и
небанковских услуг

8. К финансовым посредникам

относятся банки и небанковские
специализированные финансово–
кредитные институты (в т.ч. институты страхования и пенсионного обеспечения). Структура
финансовых систем большинства
развитых стран характеризуется
большим разнообразием финансово–кредитных институтов.

9. Введение (продолжение)

К нерыночным механизмам распределения
денежных средств
относятся корпоративные
финансы (финансы организаций) и бюджетная
система.

10. функции финансовой системы

Аккумулируя громадные денежные
средства, финансовая система обеспечивает денежное обращение, трансформирует сбережения домохозяйств
в инвестиции предприятий, обеспечивает финансовыми средствами государственный сектор, а также выполняет перераспределительную
функцию.

11. экономическая теория финансов включает в себя:

теорию денег и кредита (денежная теория, monetary theory);
теорию государственных финансов (theory of public finance);
экономическую теорию
страхования (economic theory of
insurance).

12. Вопрос 1. Природа денег и денежные системы.

Деньги – это наиболее ликвидные
активы (товары), способствующие
обменам, играющие роль всеобщего
обменного эквивалента.
Говоря проще – товар-посредник,
снижающий издержки обмена
(transaction costs).

13. На концептуальном уровне

деньги можно определить
как специфический
институционализированный инструмент обмена и
учета.

14. Функции денег

Наилучшим способом понимания
природы денег является характеристика их
функций:
трансакционная функция – деньги как
средство обращения («великое колесо
обращения» по выражению А. Смита);
деньги как средство сбережения (средство
накопления покупательной способности);
деньги как единица учета (средство
измерения стоимости ).

15. Деньги как средство обращения

Являясь средством обращения, деньги
снижают уровень издержек, связанных с
осуществлением операций обмена, куплипродажи (трансакционные издержки).
Применение денег позволяет избежать
многочисленных сложностей, сопряжённых
с бартерным (безденежным) обменом и
вызываемых несовпадением потребностей
контрагентов.

16. Деньги как средство сбережения

Их применение позволяет
соответствующим образом
упорядочить экономическую
деятельность во времени. Совсем
необязательно, чтобы поступления от
тех или иных видов деятельности
были синхронизированы с принятием
решений об использовании
полученных денежных средств.
Деньги удобнее в хранении, чем какие
либо другие активы.

17. Деньги как единица учета

Так как все обмены
осуществляются в деньгах, то все
меновые пропорции также выражены
в деньгах. Бесчисленные частные
пропорции обмена превращаются в
денежные цены. Только установление
денежных цен на рынке создает
условия для развития эффективной
экономики, поскольку только они
позволяют производить
экономические расчеты.

18. Полноценные и символические деньги

Полноценными деньгами – деньги,
стоимость товарного тела (материальной
оболочки) которых соответствует их
номиналу, т.е. той стоимости, которая на
них обозначена. Исторические примеры –
золотые монеты и иные денежные знаки,
разменные на золото.
Символические (неполноценные)
деньги – деньги, стоимость товарного тела
которых ниже их номинала. Например –
современные бумажные деньги, не
разменные на золото.

19. Денежная система

– устройство денежного обращения,
закрепленное
национальным
законодательством.

20. Элементы денежной системы

- национальная денежная
единица и ее масштаб; виды
законных платежных средств;
формы наличных и безналичных
денежных расчетов; эмиссионная
система; государственный
аппарат регулирования
денежного обращения.

21. исторические типы денежных систем

товарная денежная система
(использование разнородных
товаров–эквивалентов);
золото–серебряная монетная
система;
система кредитных денег (с
появлением банков).

22. физические свойства актива, делающие его удобным для выполнения роли денег:

ограниченность предложения и – как
следствие – высокая удельная
стоимость;
компактность, портативность (в
малом физическом объеме актив
содержит большую стоимость);
относительно стабильная стоимость,
не зависящая от сезонности и других
случайных факторов;

23. физические свойства денежного актива (продолжение):

хорошая хранимость в течение
длительного времени (не
подверженность порче,
коррозии);
однородность,
равнокачественность;
простая делимость;
простая идентифицируемость.

24.

История
возникновения
золото–серебряного
монетного
обращения

25.

Появление
первых монет в
Лидии

26.

27.

28.

29.

30.

Монетное
обращение в
Древней Греции

31.

32.

33.

Возникновение
монетного
обращения в
Древнем Китае

34.

35.

36.

37.

38.

39.

Старинные
русские копейки

40.

41.

42.

43.

Монеты
екатерининской
эпохи

44.

45.

46. Система кредитных (банковских) денег

– современный тип денежной системы.
Она возникла с появлением банков и
означала, что деньги (платежные
средства) больше не имеют
самостоятельной ценности.
Переходной формой между
золото–серебряной монетной
системой и кредитной стала система
т.н. «золотого стандарта».

47. Возникновение бумажных денег

Первые бумажные деньги
зафиксированы в Китае в 13 веке.
В 1690 году бумажные деньги
появились в Америке, в 18 веке во
Франции, Англии, России. В России
первые бумажные деньги были
выпущены в 1769 году, при этом до
середины восьмидесятых годов XIX
века сохранялось деление всех
бумажных денег на банкноты и
казначейские билеты.

48. Система золотого стандарта

Предполагала свободный
обмен банкнот на золото в
любом банке по фиксированному курсу, установленному
государством. А также –
свободную внутреннюю и
международную торговлю
золотом.

49.

50. Кредитные (банковские) деньги (от франц. kredite – доверие)

– платежные средства, которые
создаются (эмитируются) банками и являются их обязательствами. Поскольку их вводит в обращение, декретирует (обязывает к
использованию) и гарантирует
государственная власть, их
можно назвать декретными
(фидуциарными) деньгами.

51. Таким образом, как и во все времена,

современные деньги считаются
таковыми постольку, поскольку их
таковыми считают экономические
агенты (контрактная природа денег),
но вдобавок по своей природе они
«кредитные» и «декретные».
Конечной гарантией ценности денег
являются обязательства государства
по поддержанию стабильности
денежного обращения.

52. Кредитные деньги представлены

наличными деньгами (бумажные
деньги и металлические монеты) и
безналичными деньгами (деньги в
виде записи на банковских счетах).
Наличные деньги являются
обязательствами Центрального Банка,
безналичные деньги – обязательствами коммерческих банков. Наличное
и безналичное обращение – две
формы современного денежного
обращения.

53. В процессе исторической эволюции

безналичные деньги стали доминировать в
денежном обращении. При этом кредитные
деньги постепенно потеряли связь с
золотом. С исчезновением системы
золотого стандарта золото было
постепенно элиминировано из денежного
обращения, поэтому к настоящему времени
денежная масса и формально и фактически
обеспечивается не золотом, а всей
имеющейся товарной массой, т.е.
производимым ВВП. Современные деньги
никак не связаны с золотом.

54. уровень монетизации экономики

- отношение агрегата М2 к величине
ВВП, выраженное в процентах.
Нормальным уровнем
монетизации считается 80%. В США,
например, он значительно выше
(около 120%), что объясняется
повышенным спросом на наличную
американскую валюту за пределами
США. В России он ниже – около 20%.

55. Вопрос 2. СПРОС НА ДЕНЬГИ

Спрос на деньги (L или Md) –
количество денег, которое
«публика» (домашние хозяйства
и предприятия) хотели бы иметь в
своем распоряжении в настоящий
момент в зависимости от
имеющегося уровня доходов и
ставки процента по ликвидным
доходным активам.

56. Факторы спроса на деньги:

трансакционный спрос;
спрос на деньги по мотиву предосторожности (в
дальнейшем не учитывается);
спекулятивный спрос.

57. Трансакционный спрос

(transactions demand, Ltr) –
спрос на деньги для сделок.
Пропорционален величине
номинального ВВП и
графически представляет
собой прямую вертикальную
линию.

58. Кривая трансакционного спроса на деньги Ltr

r
О
Ltr
L

59. Спекулятивный спрос

(speculative / assets demand, Lsp) –
спрос на деньги как на имущество, на
альтернативный ликвидный актив.
Поскольку «богатство» можно
держать в различных формах, то
ставка процента является
альтернативными издержками
хранения сбережений в ликвидной
форме.

60. Спекулятивный спрос (продолжение)

Поэтому Lsp обратно
пропорционален процентной
ставке, что и обуславливает
отрицательный наклон кривой L.
Чем выше процентные ставки
финансового рынка, тем меньше
желание держать «богатство» в
форме денег, и наоборот.

61. Кривая спекулятивного спроса на деньги Msp

r
О
Lsp
L

62. Общий спрос на деньги: L =Ltr +Lsp

r
О
L
L

63. Кривая спроса на деньги

Имеет отрицательный наклон, т.е.
по мере роста ставки процента
экономические субъекты будут
желать меньше держать у себя
деньги.
При одной и той же ставке процента,
размер денег, спрашиваемый населением и
фирмами, будет зависеть от размера
получаемого им дохода.

64. Вопрос 3. ПРЕДЛОЖЕНИЕ ДЕНЕГ

Предложение денег или денежная
масса (Ms) – количество денег,
предлагаемое банковской системой
страны на денежном рынке. Другими
словами – количество денег в
обращении за пределами банковской
системы.
В первом приближении:
Ms = CM +D

65. Факторы предложения денег:

эмиссионная политика ЦБ и его
операции на открытом рынке;
эмиссионная активность
коммерческих банков;
динамика валютных потоков. Она
прямо пропорциональна уровню
внутренних процентных ставок, что
и обуславливает положительный
наклон кривой Ms.

66. Кривая денежного предложения

Наклон кривой будет определяться
той целью, которую ставит перед собой
центральный банк в области денежного
предложения. Если центральный банк
предпочитает сохранить определенное
количество денег в обращении, не
заботясь о ставке процента, то кривая
будет иметь вид вертикальной прямой
линии
r
Ms
M

67. Откуда берутся деньги

Поскольку в современной экономике
деньги создаются преимущественно в
процессе банковской эмиссии, то денежная
система непосредственно соприкасается с
кредитно–банковской системой и по
большому счёту составляет с ней единое
целое – денежно–кредитную систему.
Банк – организация, чьи обязательства
являются деньгами.

68. Структура банковской системы

Банковские системы большинства
современных стран с рыночной
экономикой являются
двухуровневыми:
первый уровень —центральный
банк;
второй уровень —коммерческие
банки и небанковские кредитные
организации.

69. Мультипликация депозитов

В основе деятельности
коммерческого банка лежит
принцип частичного резерва.
Он обеспечивает кредитную
эмиссию денег.
Рассмотрим это на
числовом примере.

70. Баланс банка «Альфа»

Активы (руб.)
Пассивы (руб.)
Вложения =100 млн. Собств.капитал =
100 млн.
Резервы R0=1.000
Депозит D0 =
10.000
Ссуды =9.000
Всего=100.010тыс. Всего=100.010тыс.

71. Баланс банка «Бета»

Активы (руб.)
Пассивы (руб.)
Вложения =100 млн. Собств.капитал =
100 млн.
Резервы R1 =900
Депозит D1 =
9.000
Ссуды =8.100
Всего=100.009тыс. Всего=100.009тыс.

72. мультипликационное расширение банковских депозитов

Второй банк создал дополнительно
8100 рублей. Далее процесс кредитной эмиссии
будет повторяться замедляющимся темпом, с
постепенным «затуханием» ввиду
резервирования каждым банком части
привлечённых средств.
Процесс создания денег будет продолжаться до
тех пор, пока вся сумма первоначального вклада
не будет использована в качестве резервов.
Именно таким образом коммерческие банки
создают безналичную денежную массу в процессе
кредитования.

73. депозитный мультипликатор (мультипликатор депозитного расширения), md

- соотношение между итоговым
приростом депозитов (∆D) и
величиной первоначального
депозита (D0)
D
M
m
d D
D
o
o
s

74. Т.к. Do = ∆R, то:

D
D
1
m
d R R R r r
о
e r e
R
r o
r D
r R /D
e e

75. Продолжение примера

В приведённом примере каждый
рубль первого депозита создает
10 новых рублей:
1
m
d r
r
= 1 / 0,1 = 10

76. Продолжение примера

Ms = D0 × md = 10.000 + 9.000 +
8.100 + ... = 10.000 руб. ×10 = 100
тыс. руб.
Итак, чем выше норма
обязательных резервов rr , тем
меньше общая денежная масса в
стране.

77. Денежный мультипликатор (мультипликатор денежного предложения) mm

- это соотношение денежной базы М0
и денежной массы Ms (величиной
денежного предложения):
M
m
m M
s
o

78. Зачем нужен денежный мультипликатор

денежный мультипликатор
показывает, на сколько
увеличится денежная масса
(количество денег в
обращении) при увеличении
денежной базы на единицу.

79. структура денежного предложения

М0 – денежная база, т.е. объем
налично–денежной эмиссии Центрального
Банка. По сути – объем долговых
обязательств Центрального Банка.
Денежная база М0 представлена
наличностью («живыми деньгами») –
банкнотами и монетами. Находится на
руках у «публики» и в резервах банковской
системы.
М0 = CM +R = CM + R0 + RE

80. Денежные агрегаты (продолжение)

М1 = денежная база М0 +
+ Трансакционные счета
М2 (деньги в широком смысле
слова) = М1 + Сберегательные
счета (депозиты) сроком до
одного года.

81. Денежные агрегаты (продолжение)

М3 = М2 + Долгосрочные депозиты
сроком более года
М4 = М3 + Квази–деньги
(краткосрочные государственные и
муниципальные ценные бумаги и
«голубые фишки» фондового рынка
как самые ликвидные финансовые
инструменты)

82. Вопрос 4. РАВНОВЕСИЕ НА ДЕНЕЖНОМ РЫНКЕ

ДЕНЕЖНЫЙ РЫНОК –
совокупность отношений между
«публикой», предъявляющей
спрос на деньги, и банковской
системой, осуществляющей их
предложение.
Является сугубо
макроэкономическим понятием.

83. уравнение обмена И. Фишера:

Показывает зависимость между денежной массой
(статическим количеством денег) и потоком валового
продукта
V = P ×Y ,
где M —объём денежной массы, находящейся в обращении;
V —скорость обращения денег. Рассчитывается как среднее
количество раз в год, которое каждый рубль из общей
денежной массы используется на покупку товаров и услуг.
Равна отношению номинального ВВП к объёму денежной
массы;
P —уровень цен (в долях единицы);
Y —размер реального ВВП.

84. Равновесие на денежном рынке: неоклассический подход:

P
Ms1 Ms2
P2
. E2
P1
О
. E1
L
L, Ms

85. Равновесие на денежном рынке: кейнсианский подход:

r
Ms1 Ms2
r2
. E1
r1
О
.
E2
L
L, Ms

86. Вопрос 5. ЦЕНТРАЛЬНЫЕ БАНКИ И МОНЕТАРНАЯ ПОЛИТИКА

Функции Центрального Банка:
эмиссия наличных денег (создание
денежной базы). Центробанк
обладает монопольным правом
эмиссии наличных денег;
организация денежной системы
страны;
хранение части золото–валютных
резервов государства;

87. Функции Центрального Банка (продолжение):

хранение депозитов и ведение счетов
Правительства;
кредитование Правительства и
коммерческих банков;
нормативно–правовое регулирование
деятельности коммерческих банков;
проведение монетарной политики;
регулирование валютного курса,
проведение валютной политики.

88. Монетарная (денежно-кредитная политика)

Монетарная (денежнокредитная политика)
- дискреционные мероприятия
Центрального банка по косвенному
регулированию денежной массы и
процентных ставок в целях обеспечения
устойчивости национальной валюты и и
поддержания ликвидности в
экономической системе. Это предполагает
(ключевой момент) воздействие на
кредитную активность коммерческих
банков.

89. две главные цели монетарной политики

поддержание покупательной
способности (твёрдости)
национальной валюты. Это означает
сдерживание (минимизацию)
инфляции;
обеспечение определённого уровня
ликвидности в экономической
системе путём эмиссии наличности и
контроля за безналичной эмиссией
коммерческих банков.

90. Основные инструменты монетарной политики: 

Основные инструменты
монетарной политики:
установление и изменение
нормы обязательных
резервов;
учётная (дисконтная)
политика ЦБ;
операции на открытом рынке.

91. Типы монетарной политики

Варианты одновременного
использования указанных
инструментов монетарной
политики имеют название
ограничительной
(рестрикционной) и
экспансионисткой
(стимулирующей) монетарной
политики.

92. Вопрос 5. ИНФЛЯЦИЯ: ВИДЫ, ПРИЧИНЫ, ПОСЛЕДСТВИЯ

93.

Ограничимся
трансакционной
функцией денег и
возьмем за основу
уравнение обмена И.
Фишера. Тогда закон
денежного обращения
в упрощенном виде:

94.

P Y Yn
r
MS
V
V

95. – трансакционный спрос на деньги.

P Y
r
M Dt
V
– трансакционный
спрос на деньги.

96.

Если:
P Y
r
MS
V

97. то возникает избыток денег в обращении. Покупательная способность одной денежной единицы падает.

98.

Инфляция –
долговременное и
устойчивое снижение покупательной способности
денег.

99.

Инфляция
проявляется в
общем росте
цен или в
товарном
дефиците.

100.

открытая
инфляция
по форме
проявления
скрытая
подавленная

101.

1. Инфляция
не всегда
означает
рост цен.

102.

2. Инфляция – это
долговременный
тренд.
Инфляция ≠
Разовые ценовые
шоки

103.

инфляция
по темпам
роста
ползучая
(умеренная)
галопирующая
гиперинфляция
(бегство от денег)

104.

сбалансированная
инфляция
несбалансированная

105.

прогнозируемая
инфляция
непрогнозируемая

106.

инфляция спроса
механизмы
инфляции
инфляция предложения

107.

Инфляция спроса:
общей причиной
повышения цен
является увеличение
совокупного спроса.
Кривая AD смещается вправо–вверх.

108.

Инфляция предложения – причиной является падение совокупного производства или
рост издержек.
Кривая AS смещается влево–вверх.

109.

Инфляция измеряется индексами цен:
дефлятором ВВП;
индексом
потребительских цен;
индексом цен
производителей.

110. причины инфляции

1. Причины, лежащие на стороне
спроса.
А. Самой распространенной
причиной инфляции является
дефицит государственного
бюджета. В этой связи
различают инфляционные и
неинфляционные методы
финансирования бюджетных
дефицитов.

111.

Б. Инфляционные
ожидания.
В. Рост непредвиденных
расходов.
Г. Рост реальных
доходов населения.
English     Русский Правила