НУКЛЕИНОВЫЕ КИСЛОТЫ
НУКЛЕИНОВЫЕ КИСЛОТЫ (НК)
Нуклеиновые кислоты
СОСТАВ И СТРОЕНИЕ КОМПОНЕНТОВ, ВХОДЯЩИХ В ДНК И РНК
МОНОСАХАРИДЫ
АЗОТИСТЫЕ ОСНОВАНИЯ
АЗОТИСТЫЕ ОСНОВАНИЯ
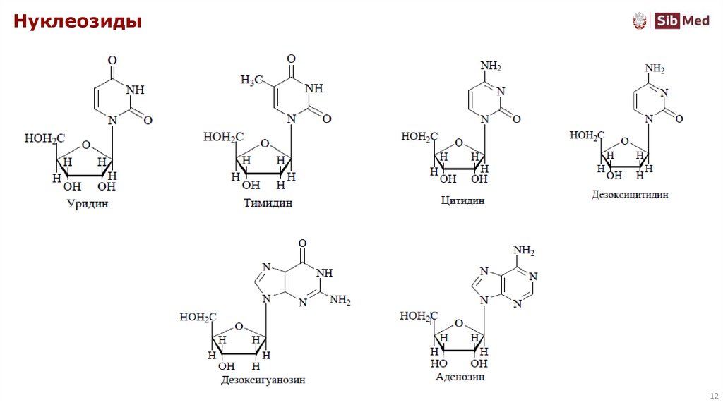
НУКЛЕОЗИДЫ
НАЗВАНИЯ НУКЛЕОЗИДОВ
Нуклеозиды
Нуклеозиды
Нуклеозиды
Нуклеозиды
Нуклеозиды
Нуклеозиды
Нуклеозиды
НУКЛЕОТИДЫ
НУКЛЕОТИДЫ
НАЗВАНИЯ НУКЛЕОТИДОВ
НАЗВАНИЯ НУКЛЕОТИДОВ
СХЕМА ОБРАЗОВАНИЯ НУКЛЕОТИДОВ
Нуклеотиды
Общая схема строения полинуклеотидной цепи
НУКЛЕИНОВЫЕ КИСЛОТЫ: РНК И ДНК
НУКЛЕИНОВЫЕ КИСЛОТЫ: РНК И ДНК
НУКЛЕИНОВЫЕ КИСЛОТЫ: РНК И ДНК
Правило Чаргаффа
Виды Вторичных структур
НУКЛЕИНОВЫЕ КИСЛОТЫ: РНК И ДНК
КОМПЛЕМЕНТАРНОСТЬ
КОМПЛЕМЕНТАРНОСТЬ
КОМПЛЕМЕНТАРНОСТЬ
Третичная структура
БИОЛОГИЧЕСКИЕ ФУНКЦИИ НК
РНК
БИОЛОГИЧЕСКИ ВАЖНЫЕ НУКЛЕОТИДЫ
БИОЛОГИЧЕСКИ ВАЖНЫЕ НУКЛЕОТИДЫ
13.16M
Категория: ХимияХимия

Нуклеиновые кислоты

1. НУКЛЕИНОВЫЕ КИСЛОТЫ

Мы учим и лечим
с 1888 года
НУКЛЕИНОВЫЕ КИСЛОТЫ
Чешкова Т.В.
Доцент кафедры химии,
к.х.н.

2. НУКЛЕИНОВЫЕ КИСЛОТЫ (НК)

• это составная часть всех живых клеток, в т.ч вирусов
• играют исключительную роль в жизненных процессах живых организмов.
Они являются носителем генетической информации, а также матрицей,
на которой синтезируются специфические белки и НК
Впервые были выделены из клеточных ядер
лейкоцитов в 1868г. И.Ф.Мишером и названы
нуклеином (отлат.nucleus-ядро)
Иоганн
Фридрих
Мишер
Рихард
Альтман
Позже было установлено, что НК представляют собой ВМС в
макромолекулы которых входят производные пиримидина и пурина
фосфорная кислота и моносахарид рибоза или дезоксирибоза
2

3. Нуклеиновые кислоты

Существует два типа НК
рибонуклеиновые кислоты РНК
дезоксирибонуклеиновые кислоты ДНК
Разница между которыми заключается
в строении углеводного компонента
в составе азотистых оснований
В результате гидролиза РНК в зависимости от условий получаются:
• НУКЛЕОТИДЫ - соединения производных пиримидина или пурина с рибозой и фосфорной
кислотой, либо
• НУКЛЕОЗИДЫ - соединения производных пиримидина или пурина с рибозой,
конечные продукты гидролиза: урацил, цитозин, аденин и гуанин, D- рибоза и фосфорная
кислота.
В результате гидролиза ДНК соответственно получаются:
• ДЕЗОКСИРИБОНУКЛЕОТИДЫ,
• ДЕЗОКСИРИБОНУКЛЕОЗИДЫ,
конечные продукты гидролиза: тимин, цитозин, аденин, гуанин, D-дезоксирибоза и
3
фосфорная кислота.

4.

НУКЛЕОТИДЫ и ДЕЗОКСИРИБОНУКЛЕОТИДЫ
состоят из:
• гетероциклическое основание
• углеводный остаток - D-рибоза и 2-дезоксиD-рибоза
• фосфатная группа - остаток фосфорной
кислоты
В 1957 году Тодд был удостоен
Нобелевской премии по химии за
свои исследования нуклеотидов
и нуклеиновых кислот
Александер Робертус Тодд
4

5. СОСТАВ И СТРОЕНИЕ КОМПОНЕНТОВ, ВХОДЯЩИХ В ДНК И РНК

5

6. МОНОСАХАРИДЫ

6

7. АЗОТИСТЫЕ ОСНОВАНИЯ

7

8. АЗОТИСТЫЕ ОСНОВАНИЯ

8

9. НУКЛЕОЗИДЫ

9

10. НАЗВАНИЯ НУКЛЕОЗИДОВ

наиболее часто производят от тривиального названия
соответствующего нуклеинового основания с суффиксами:
-идин у пиримидиновых нуклеозидов,
-озин у пуриновых нуклеозидов.
Исключение:
название
ТИМИДИН

не
дезокситимидин)
для
дезоксирибозида тимина,
входящего в состав ДНК.
10

11. Нуклеозиды

O
NH2
NH2
4
5 3NH
6 1 2
7
N
5 6
N
1N
2
8 9
3
N 4 N
N
9
аденин N
H
HO-CH2
O OH
5'
N
+
HO-CH2
1'
4'
- H2O
3'
урацил
2'
O
OH
β-D-дезоксирибофураноза
дезоксиаденозин
OH
4
5 3NH
6 1 2
5'
N
HO-CH2
O
O
+
1'
4'
- H2O
OH
OH
O
N
H
HO-CH2
O
O
3'
2'
OH
OH
OH
β-D-рибофураноза
уридин
11

12. Нуклеозиды

12

13. Нуклеозиды

13

14. Нуклеозиды

• бесцветные кристаллические вещества, хорошо растворимы в воде;
• проявляют свойствами соответствующих ГЦ и сахаров;
• как N–гликозиды устойчивы к гидролизу в слабощелочной
расщепляются в кислой среде;
• пуриновые нуклеозиды гидролизуются легко, пиримидиновые
среде,
но
Гидролиз нуклеозидов проходит по N-гликозидной связи в кислой среде
NH2
N
HO-H2C O N
O
H2O, H+
NH2 HO-H2C O OH
N
+
N
H
O
OH OH
цитидин
цитозин
OH OH
b-D-рибофураноза
14

15. Нуклеозиды

Конформеры – это различные пространственные
формы молекулы, которые могут существовать
благодаря свободе вращения вокруг одинарных
связей.
Син-конформер
аденозина
характеризуется тем, что атом N3 расположен
над плоскостью углеводного остатка. Это означает, что в этой конформации атом азота в третьем положении пуринового кольца направлен ввер
х относительно плоскости, образованной остальными атомами молекулы.
В антиконформации аденозина атом N3 расположен под плоскостью углеводного остатка, то ест
ь направлен вниз относительно плоскости,
образ
ованной остальными атомами молекулы.
В ДНК и РНК
нуклеозиды преимущественно
находятся в ани-конформации, особенно для
пиримидиновых нуклеозидов. Это энергетически
выгодное
состояние,
которое
способствует
15
стабильности двойной спирали ДНК.

16. Нуклеозиды

16

17. Нуклеозиды

17

18. НУКЛЕОТИДЫ

сложные эфиры
нуклеозидов и
фосфорной кислоты −
нуклеозидфосфаты.
Обычно
этерифицирована
гидроксильная группа сахара в
положении 5’ или 3’.
18

19. НУКЛЕОТИДЫ

19

20. НАЗВАНИЯ НУКЛЕОТИДОВ

либо как соответствующие кислоты с указанием положения фосфатного остатка;
либо как соли – монофосфаты с указанием положения фосфатного остатка:
20

21. НАЗВАНИЯ НУКЛЕОТИДОВ

21

22. СХЕМА ОБРАЗОВАНИЯ НУКЛЕОТИДОВ

O
HO
CH2
O
OH
H
H
HO
H
OH
H
b-D-рибофураноза
O
CH2
H
N
O
H
H
OH
H
OH
Уридин
+
O
N
H
O
урацил
N H
O
N H
HO
N H
O
O
+ HO
P
OH
O CH2
HO P
OH
OH
H
N
O
H
H
OH
H
OH
O
5/-Уридиловая кислота
Уридин-5/-фосфат
22

23. Нуклеотиды

Щелочной гидролиз
Кислотный (полный) гидролиз
23

24. Общая схема строения полинуклеотидной цепи

Нуклеотиды могут связываться
друг с другом при использовании
фосфатной связи C-O-P.
Так образуются динуклеотиды,
тринуклеотиды, полинуклеотиды.
НК являются полинуклеотидами, в которых остатки нуклеотидов связаны между собой 3’и 5’-фосфатной связью С-О-Р-О-С.
НК – фосфорсодержащие биополимеры, которые построены из остатков нуклеозидов
(N−гликозидов рибозы и дезоксирибозы и ГЦ оснований), связанных между собой
фосфодиэфирными связями.
НК, как и белки, очень разнообразны, соответственно различны и их специфические
функции в организме.
Молекулярные массы НК также различны – от нескольких тысяч до миллиардов кДа. Это
соответствует числу остатков нуклеозидов от 10 до 106 и более.
24

25. НУКЛЕИНОВЫЕ КИСЛОТЫ: РНК И ДНК

НК как и
структуру
белки,
имеют
первичную
и
вторичную
Первичная
структура
НК
определяется
последовательностью расположения нуклеозидов, связанных
фосфодиэфирной связью
Первичная
структура
схематично
изображается
совокупностью букв, например ЦфГфУфАф
Знак «ф» обозначает остаток фосфорной кислоты
ставится
слева от нуклеозида, если он этерифицирован по С 5՚
Он
справа от нуклеозида, если этерифицирован по С 3՚
Иногда букву «ф» опускают и заменяют ее чёрточкой (-)
приведённый фрагмент цепи РНК можно записать так А-У-Ц-Г
25

26. НУКЛЕИНОВЫЕ КИСЛОТЫ: РНК И ДНК

Приведённый фрагмент цепи ДНК можно записать так Ц -А- Т
26

27. НУКЛЕИНОВЫЕ КИСЛОТЫ: РНК И ДНК

Вторичная
структура
пространственное
НК
представляет
расположение
собой
макромолекул
и
определяется внутримолекулярным и межмолекулярным
взаимодействием посредством водородных связей
Установлена Д. Уотсоном и Ф. Криком в 1953 г на
основании работ Чаргаффа и Уилкинса
Френсис Крик и Джеймс Уотсон
27

28. Правило Чаргаффа

• количество пуриновых оснований равно количеству пиримидиновых оснований
• количество аденина равно количеству тимина, а количество гуанина равно
количеству цитозина
• количество оснований, содержащих аминогруппу в положениях 4 пиримидинового и
6 пуринового ядер, равно количеству оснований, содержащих в этих же положениях
оксогруппу. Это означает, что сумма аденина и цитозина равна сумме гуанина и
тимина.
Чаргафф обнаружил для любой ДНК соотношение А:Т и Г :Ц равно 1
28

29. Виды Вторичных структур

одноцепочные ( НК цепь которых может принимать различные
пространственные
молекулы
ГЦ
формы,
расположены
в
т.ч
одна
спиралеобразные
над
другой
в
виде
(плоские
стопки,
расстояние между плоскостями около 0, 34 нм)
двуцепочные (двухнитевые) НК образуют в пространстве
структуру двойной спирали – существуют в виде комплексов,
образующихся
из
двух
полинуклеотидных
цепей,
которые
стабилизируются водородными связями
29

30. НУКЛЕИНОВЫЕ КИСЛОТЫ: РНК И ДНК

спираль состоит из 2 полинуклеотидных
цепей, закрученных одна вокруг другой и
вокруг общей для обеих оси.
цепи связаны водородными связями между
молекулами нуклеиновых оснований.
на один виток спирали приходится 10
оснований.
т.о., спираль образует полиэфир фосфорной
кислоты, а плоские молекулы производных
пурина и пиримидина находятся внутри
спирали, образуя её сердцевину.
Две цепи ДНК, образующие двойную спираль, не
идентичны, но комплементарны между собой.
прочные связи образуются лишь между
специфическими парами: А-Т и Г-Ц. Такое
соответствие азотистых оснований называют
их комплементарностью.
30

31. КОМПЛЕМЕНТАРНОСТЬ

31

32. КОМПЛЕМЕНТАРНОСТЬ

Кроме водородных связей комплементарных
пар
оснований,
действующих
поперек
спирали,
некоторую
роль
играют
и
межмолекулярные взаимодействия между
соседними основаниями в цепи полимера,
действующие
вдоль
спирали.
Такие
взаимодействия
между
нуклеиновыми
основаниями,
уложенными
в
стопку,
называют
стэкинг-взаимодействиями.
Они дополнительно скрепляют структуру
двойной спирали.
32

33. КОМПЛЕМЕНТАРНОСТЬ

Геометрия гликозидной связи C-N такова, что агликоновый
фрагмент (ГЦ) направлен под углом близким к прямому, к
почти плоскому сахарному кольцу.
Благодаря этому основания в двойной спирали способны
образовывать «стопочную» структуру, так что между
основаниями возникают гидрофобные взаимодействия,
дополнительно
стабилизирующие
спираль.
Если
раздвинуть две связанные водородными
связями
цепи
молекулы
ДНК,
то
на
каждой
образовавшейся половине может быть точно
дополняющая её цепь с заданной последовательностью
нуклеотидов.
Т.е.
вместо
одной
молекулы
ДНК
образуются две, в точности идентичные исходной. Такой
процесс
самоудвоения
молекул
ДНК
называется
репликацией.
33

34. Третичная структура

34

35. БИОЛОГИЧЕСКИЕ ФУНКЦИИ НК

Комплементарность цепей составляет химическую основу важнейшей функции ДНК хранения
и передачи наследственных признаков
Однако нуклеотидная последовательность ДНК под воздействием различных факторов
может подвергаться изменениям, которые называются мутациями
Биологическая функция ДНК в живой клетке связана с регулированием состава белка
при его синтезе, и передачей наследственных признаков
Молекулы РНК играют важную роль в биосинтезе белков
Нуклеотидный состав этих РНК различен Каждая молекула РНК представляют собой
гибкую неразветвлённую нить состоящую из одной полинуклеотидной цепи
Отдельные короткие участки цепи, взаимодействуя друг с другом (водородные связи),
закручиваются и тем самым формируют внутримолекулярные двуспиральные участки структуру так называемого «клеверного листа»
Биологическая функция различных РНК в живой клетке непосредственно связана с
биосинтезом белков. Процесс биосинтеза осуществляется в рибосомах протоплазмы
35

36. РНК

В клетке существуют три вида РНК
Информационные (и-РНК) несут информацию о том, какой
именно белок должен синтезироваться в конкретной клетке
Рибосомальные (р-РНК) осуществляют в рибосомах синтез
белка
Транспортные (т-РНК) осуществляют перенос отдельных АК
в рибосомы для использования их в синтезе белка
Хотя т РНК содержит значительное количество двуспиральных
участков, структура ее существенно отличается от структуры
двуспиральной ДНК или гибрида ДНК-РНК
Молекулярная масса т РНК (около 25000 Да), что значительно
ниже, чем у других полинуклеотидов. Она обладает структурой
«клеверного листа»
Молекула РНК не образует двойной спирали,
однако
вторичные
структуры
также
формируются за счет комплементарности
азотистых оснований Т:А и Г:Ц
36

37. БИОЛОГИЧЕСКИ ВАЖНЫЕ НУКЛЕОТИДЫ

Аденозин-5’-трифосфорная кислота (АТФ) - бесцветное кристаллическое вещество, ХР,
образует стабильные соли.
Основная функция АТФ заключается в хранении
энергии.
При полном окислении 1
выделяется 2814 кДж энергии.
моля
Часть
этой
энергии
(около
используется для синтеза АТФ из
глюкозы
34.5
кДж)
АДФ: АДФ + Н3РО4 + АТФ + Н2О
Трифосфатная группа содержит две ангидридные связи (P-O-P), называемые макроэргическими, которые
легко гидролизуются, при этом выделяется значительное количество энергии (33-46 кДж/моль).
Нуклеозидная часть молекулы служить для узнавания и связывания с различными ферментами.
АТФ играет важную роль в обмене веществ, поставляет химическую энергию в различных процессах
биосинтеза, сокращения мышц.
АТФ очень реакционноспособен и осуществляет фосфорилирование многих соединений в организме. В
результате они становятся более реакционноспособными и легче вступают в реакции, в которые они
ранее не могли вступать.
37

38. БИОЛОГИЧЕСКИ ВАЖНЫЕ НУКЛЕОТИДЫ

38

39.

39
English     Русский Правила