Indefinite Integrals
Example
Integration by substitution
Example
Example
Example
Integration by Parts
Example
Example
Thanks for your attention!
1.87M

week 6 Indefinite integrals

1. Indefinite Integrals

2.

3.

4.

5.

6.

7.

8.

9.

10. Example

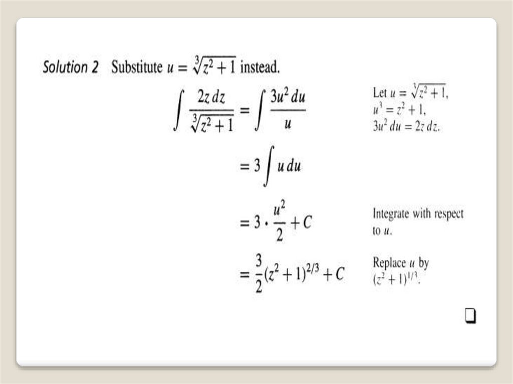
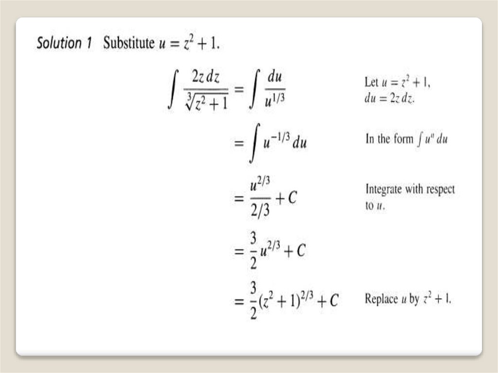
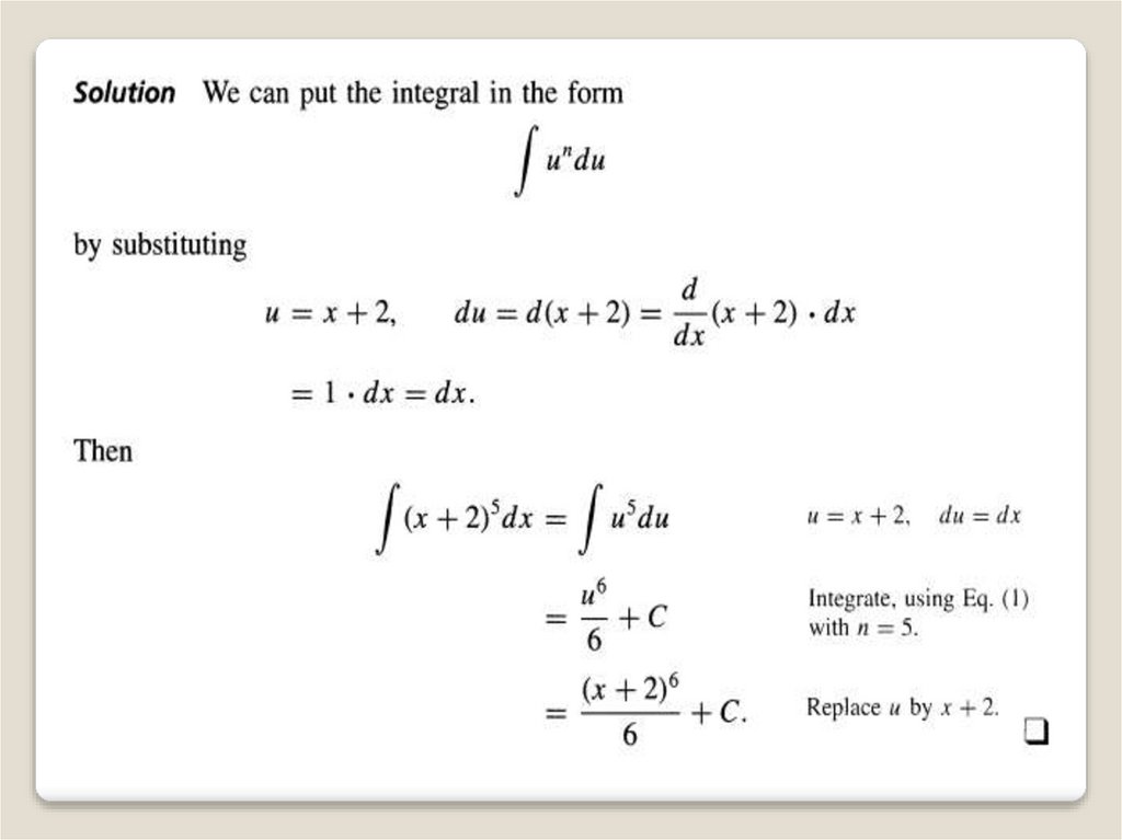
11. Integration by substitution

12.

13. Example

14.

15.

16.

17.

18.

19.

20.

21.

22.

23. Example

24. Example

25.

26.

27.

28.

29.

30.

31.

32.

33.

34. Integration by Parts

35.

36.

37. Example

38.

39.

40.

41.

42.

43. Example

44.

45.

46.

47. Thanks for your attention!

English     Русский Правила