10 ноября 2023 Классная работа
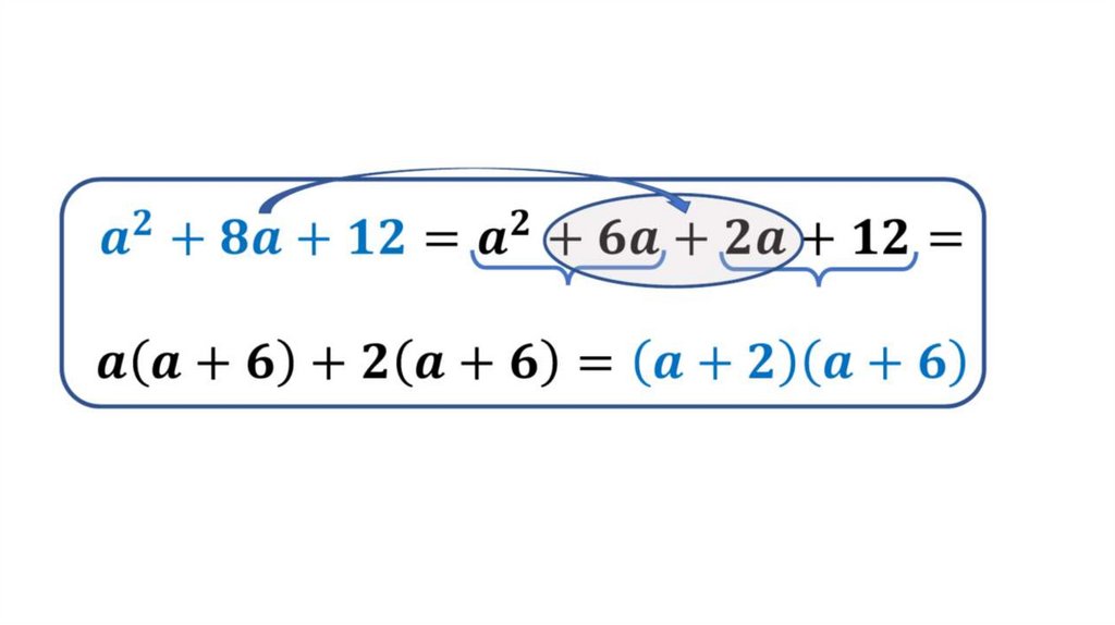
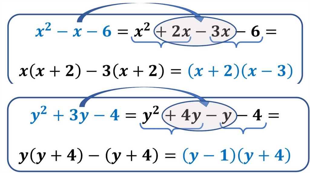
Решение примеров
Решение примеров
Решение примеров
Домашнее задание. №1. Разложите на множители способом группировки. Пункты 1-19 (нечетные)
2.79M

8 кл Разложение квадратного трехчлена

1. 10 ноября 2023 Классная работа

Разложение трехчлена на множители.

2.

3.

2
English     Русский Правила