13.11.2020 Подготовка к контрольной работе . Системы уравнений. 1. уравнения прямой и окружности 2. решение систем уравнений :
382.54K

5e809739849a476294ca8e84849d0fe1

1. 13.11.2020 Подготовка к контрольной работе . Системы уравнений. 1. уравнения прямой и окружности 2. решение систем уравнений :

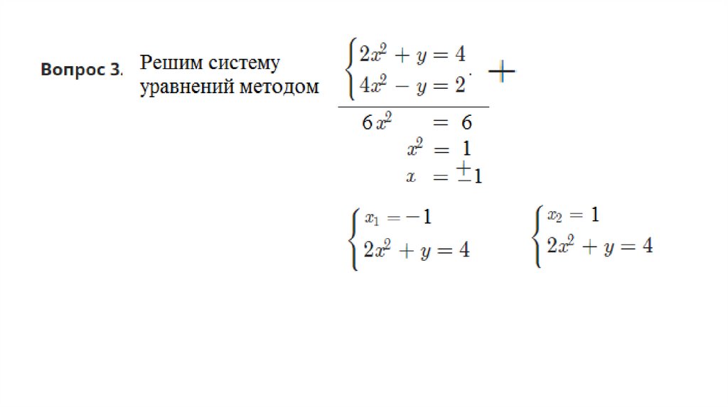
м/ом подстановки, сложения
3. решение квадратных уравнений
English     Русский Правила