Лекція 16 Фізичний маятник. Кінетична енергія твердого тіла
765.91K

ДРФ л16

1. Лекція 16 Фізичний маятник. Кінетична енергія твердого тіла

1

2.

e
I x x I z I y y z M Ox
e
I y y I x I z x z M Oy
динамічні рівняння руху Ейлера
e
I z z I y I x x y M Oz
e
M O C mg
e
F mg
e
M Ox
m yC g z z C g y ;
e
M Oy
m zC g x xC g z ;
e
M Oz
m xC g y yC g x .
I x x I z I y y z m yC g z wOz zC g y wOy ;
I y y I x I z x z m zC g x wOx xC g z wOz ;
I z z I y I x y x m xC g y wOy yC g x wOx .
2

3.

Фізичний маятник
xC 0, yC h, zC 0
x y 0, z
I z myC g x
g x g cos g sin
2
I z mghsin
sin
2 0
0
t 0, (0) 0 ; (0) 0
I z mgh 0
02
0 cos 0t
mgh
Iz
T 2
Iz
mgh
3

4.

Методи визначення моментів інерції тіл
Метод послідовного виміру періоду коливань навколо паралельних осей
TA2 4
IA
mga
TB2 4
IB
mgb
d a b
I A I C ma 2
I B I C mb 2
I A I B m a 2 b 2 m a b a b m(a b)d
mga 2
mgb 2
IA
TA , I B
TB
4
4
T d 4 d d
b
, a d b
T T g 8 d
2
A
2
A
2
B
4

5.

Метод крутильних коливань
I cкр
I cкр 0
02 0
T
2
0
2
2
0
скр
I
I
cкр
Tет 2
T
I I ет
Tет
I ет
cкр
2
5

6.

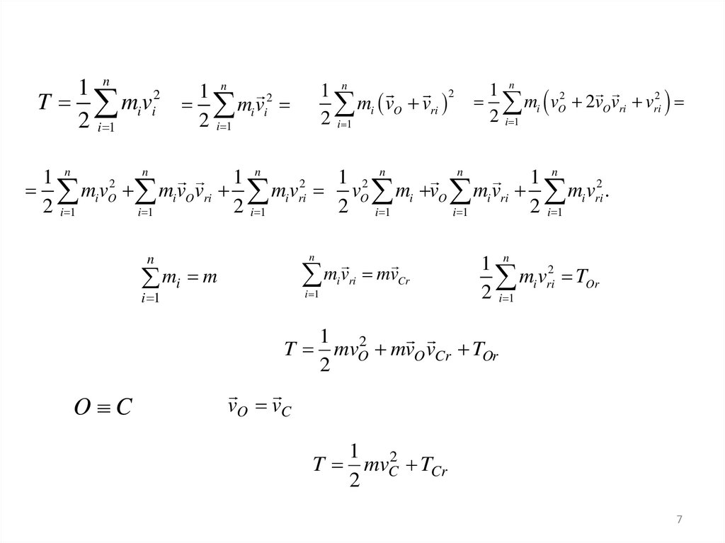
Кінетична енергія системи матеріальних точок
1
Ti mi vi2
2
n
1 n
T Ti mi vi2
2 i 1
i 1
Теорема Кенига
ri rO i
vi vO vri
vO
drO
dt
vri
d i
dt
6

7.

1 n
1 n
2
T mi vi mi vi2
2 i 1
2 i 1
1 n
1 n
2
2
2
m
v
2
v
v
v
m
v
v
i
O
O ri
ri
i
O
ri
2 i 1
2 i 1
n
n
1 n
1 n
1 2 n
1 n
2
2
mi vO mi vO vri mi vri vO mi vO mi vri mi vri2 .
2 i 1
2 i 1
2 i 1
2 i 1
i 1
i 1
n
n
m v mv
mi m
i 1
i 1
i ri
Cr
1 n
2
m
v
i ri TOr
2 i 1
1
T mvO2 mvO vCr TOr
2
O C
vO vC
1
T mvC2 TCr
2
7

8.

Кінетична енергія твердого тіла
vi
ri rO i
dri d
dr
d i
rO i O
i
dt dt
dt
dt
d
TT :
0
dt
vi vO i
1 n
1 n
1 n
2
2
2
T mi vi mi vi
mi vO i
2 i 1
2 i 1
2 i 1
n
1 n
1 n
2
2
mi vO mi vO i mi i
2 i 1
2 i 1
i 1
n
1 2 n
1 n
2
vO mi vO mi i mi i .
2 i 1
i 1
2 i 1
8

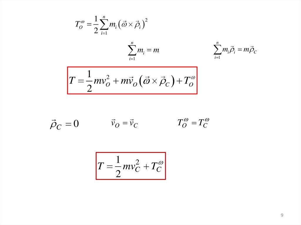
9.

1 n
2
TO mi i
2 i 1
n
n
m m
m m
i 1
i
i 1
i
i
C
1 2
T mvO mvO C TO
2
C 0
vO vC
TO TC
1 2
T mvC TC
2
9

10.

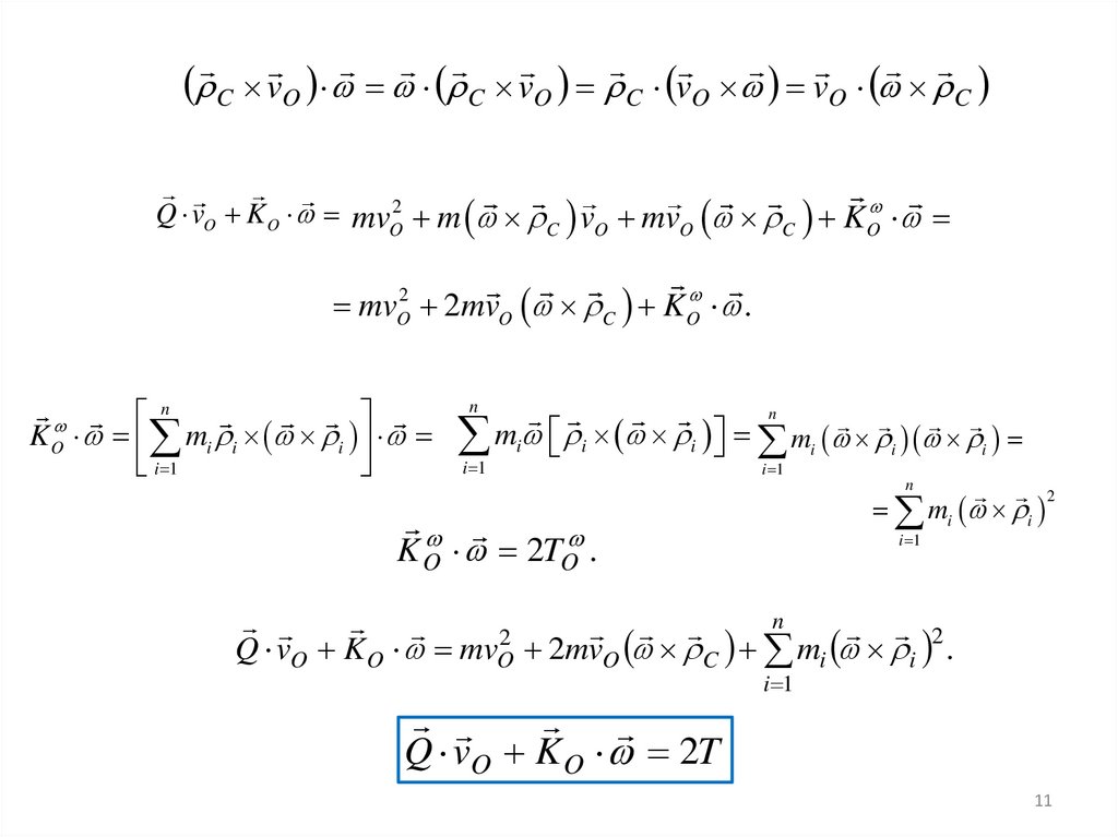
Співвідношення між основними динамічними величинами
Q mvC
vC vO C
K O m C vO K O
Q vO K O
n
KO mi i i
i 1
mvC vO m C vO K O
m vO C vO m C vO K O
mvO2 m C vO m C vO K O .
a b c b c a c a b
10

11.

C v O C v O C v O v O C
Q vO K O mvO2 m C vO mvO C K O
mvO2 2mvO C K O .
n
K O mi i i
i 1
n
m m
i 1
n
i
i
i
i 1
i
i
i
n
mi i
K O 2TO .
2
i 1
n
2
2
Q vO K O mvO 2mvO C mi i .
i 1
Q vO K O 2T
11

12.

Вираз проекцій кількості руху і кінетичного моменту
через кінетичну енергію
Q vO KO 2T
Qx vOx Qx vOx Qx vOx KOx x KOy y KOz z 2T
f
f
f
x
y z ... kf
x
y
z
k 2
T
T
T
T
T
T
vOx
vOy
vOz
x
y
z 2T
vOx
vOy
vOz
x
y
z
Qx
T
T
T
, Qy
, Qz
,
vOx
vOy
vOz
KOx
T
T
T
, KOy
, KOz
.
x
y
z
12

13.

KO 2TO
KOx
x KOy
y KOz
z 2TO
TO
TO
TO
x
y
z 2TO
x
y
z
T
K Ox
O
x
T
K Oy
O
y
T
K Oz
O
z
13

14.

Обчислення кінетичної енергії в окремих випадках руху твердого тіла
1
T mvO2 mvO C TO
2
0
Поступальний рух твердого тіла
T
vO v
1 2
mv
2
Обертання твердого тіла навколо нерухомої точки
vO 0
1
T TO KO
2
K O K Ox i K Oy j K Oz k
1 1
TO KO KOx x KOy
y KOz
z
2
2
14

15.

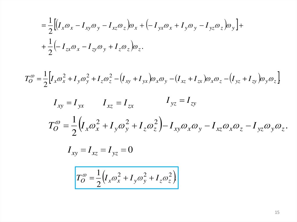
1
I x x I xy y I xz z x I yx x I y y I yz z y
2
1
I zx x I zy y I z z z .
2
TO
1
I x x2 I y y2 I z z2 I xy I yx x y I xz I zx x z I yz I zy y z .
2
I xy I yx
TO
I yz I zy
I xz I zx
1
I x x2 I y y2 I z z2 I xy x y I xz x z I yz y z .
2
I xy I xz I yz 0
TO
1
I x x2 I y y2 I z z2 .
2
15

16.

1
T mvO2 mvO C TO
2
Просторовий рух твердого тіла
vOx
1
2
2
2
T m vOx
vOy
vOz
m x
2
xC
vOy
vOz
y
z
yC
zC
1
I x x2 I y y2 I z z2
2
I xy x y I xz x z I yz y z .
vOz 0
Плоский рух твердого тіла
vOx
1
2
2
T m vOx
vOy
m 0
2
xC
C 0
vOy
0
yC
x y 0
z 0
0
1
z I z z2
2
zC
1
1
T mvC2 I Cz z2
2
2
16

17.

Обертання твердого тіла навколо нерухомої осі
vO 0
x y 0
1
TO I z z2 .
2
1 n
T I zi zi2 .
2 i 1
17

18.

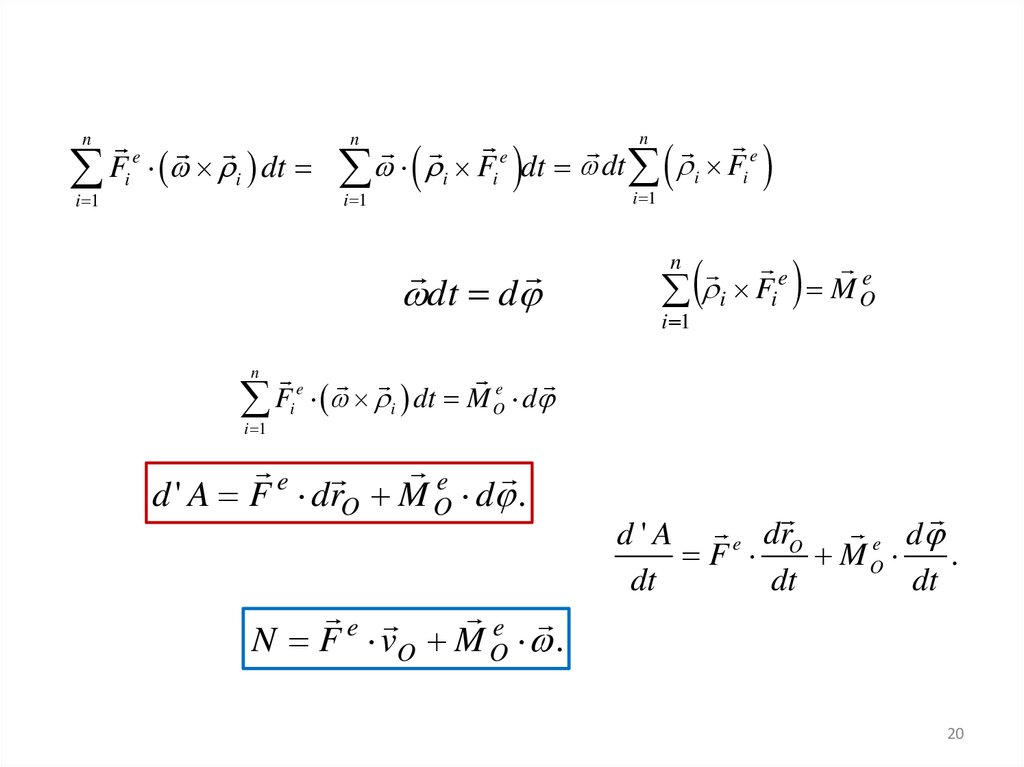
Робота зовнішніх сил, прикладених до твердого тіла
y
M
C
ri
A
'
rO
i
C
'
x
O ' ' '
'
Oxyz
O
z
A
ri rO i
18

19.

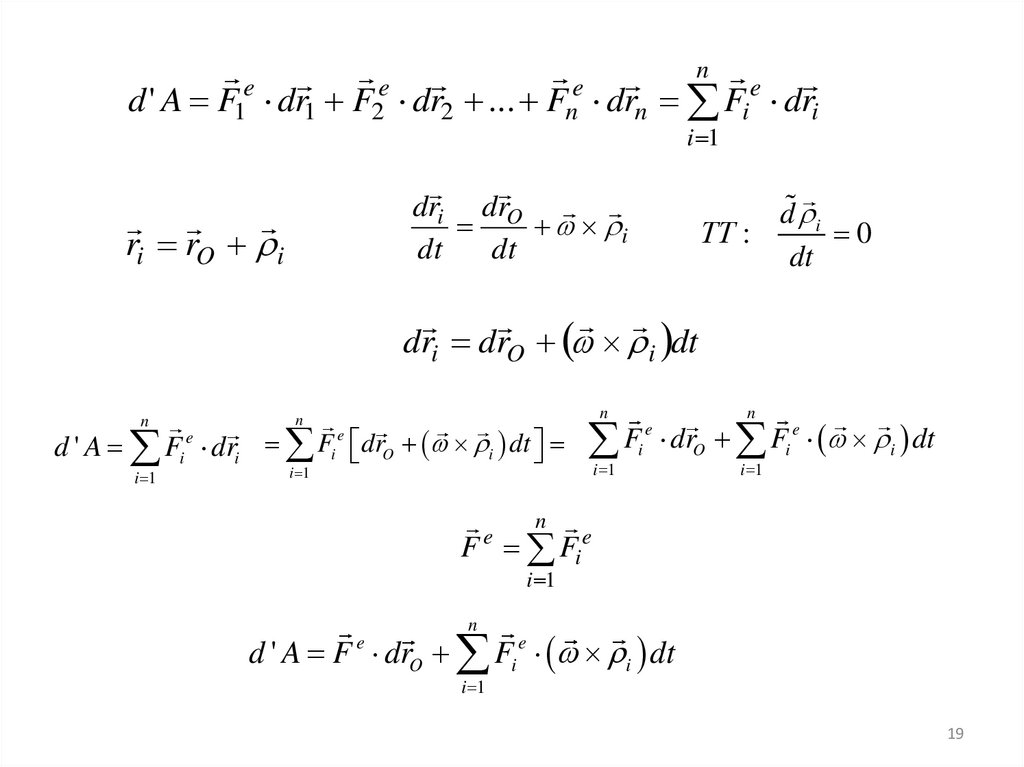
n
e e
e
d ' A F1 dr1 F2 dr2 ... Fn drn Fie dri
i 1
dri drO
i
dt
dt
ri rO i
ТТ :
d i
0
dt
dri drO i dt
n
d ' A Fi dri
e
i 1
n
Fi e drO i dt
i 1
n
n
F dr F dt
e
i 1
i
e
O
i 1
i
i
e n e
F Fi
i 1
n
d ' A F drO Fi e i dt
e
i 1
19

20.

n
Fi i dt
e
i 1
e
dt
F
F
dt
i i
i i
n
n
e
i 1
i 1
dt d
e
e
i Fi M O
n
i 1
n
F dt M d
e
i 1
i
i
e
O
e
e
d ' A F drO M O d .
e
e
N F vO M O .
d'A
e drO
e d
F
MO
.
dt
dt
dt
20
English     Русский Правила