Лекція 17 Основи аналітичної механіки
448.75K

ДРФ л17

1. Лекція 17 Основи аналітичної механіки

1

2.

Joseph Louis Lagrange,
1736-1813
Giuseppe Lodovico Lagrangia
2

3.

В'язі в аналітичній механікі
3

4.

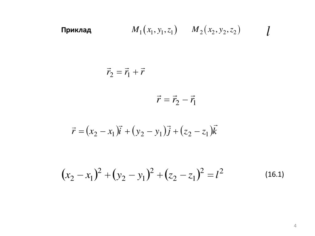
Приклад
M1 x1, y1, z1
M 2 x2 , y2 , z2
l
r2 r1 r
r r2 r1
r x2 x1 i y2 y1 j z 2 z1 k
x2 x1 2 y2 y1 2 z2 z1 2 l 2
(16.1)
4

5.

Рівняння Лагранжа першого роду
mw F R
m x Fx Rx
m y Fy R y
(16.2)
m z Fz Rz
f ( x, y, z ) 0
(16.3)
(16.4)
x, y, z, Rx , R y , Rz
R Rx i R y j Rz k
f f f
grad f i
j k
x
y
z
5

6.

Умова колінеарності
R grad f
f
Rx
x
Ry
(16.5)
f
y
Rz
f
z
(16.6)
Рівняння Лагранжа першого роду
m x Fx
f
x
R grad f
R
m y Fy
f
y
m z Fz
f
f
f
i
j k
y
z
x
Rx2 R y2 Rz2
2
f
z
(16.7)
(16.8)
2
f f f
x y z
2
(16.9)
6

7.

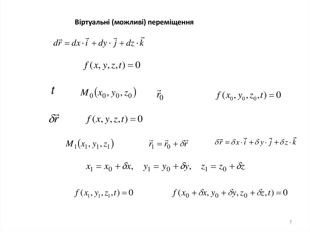
Віртуальні (можливі) переміщення
dr dx i dy j dz k
f ( x, y, z, t ) 0
t
M 0 x0 , y 0 , z 0
r
f ( x, y, z, t ) 0
M 1 x1 , y1 , z1
x1 x0 x,
f ( x1 , y1 , z1 , t ) 0
r0
f ( x0 , y0 , z0 , t ) 0
r1 r0 r
y1 y0 y,
r x i y j z k
z1 z0 z
f ( x0 x, y0 y, z0 z, t ) 0
7

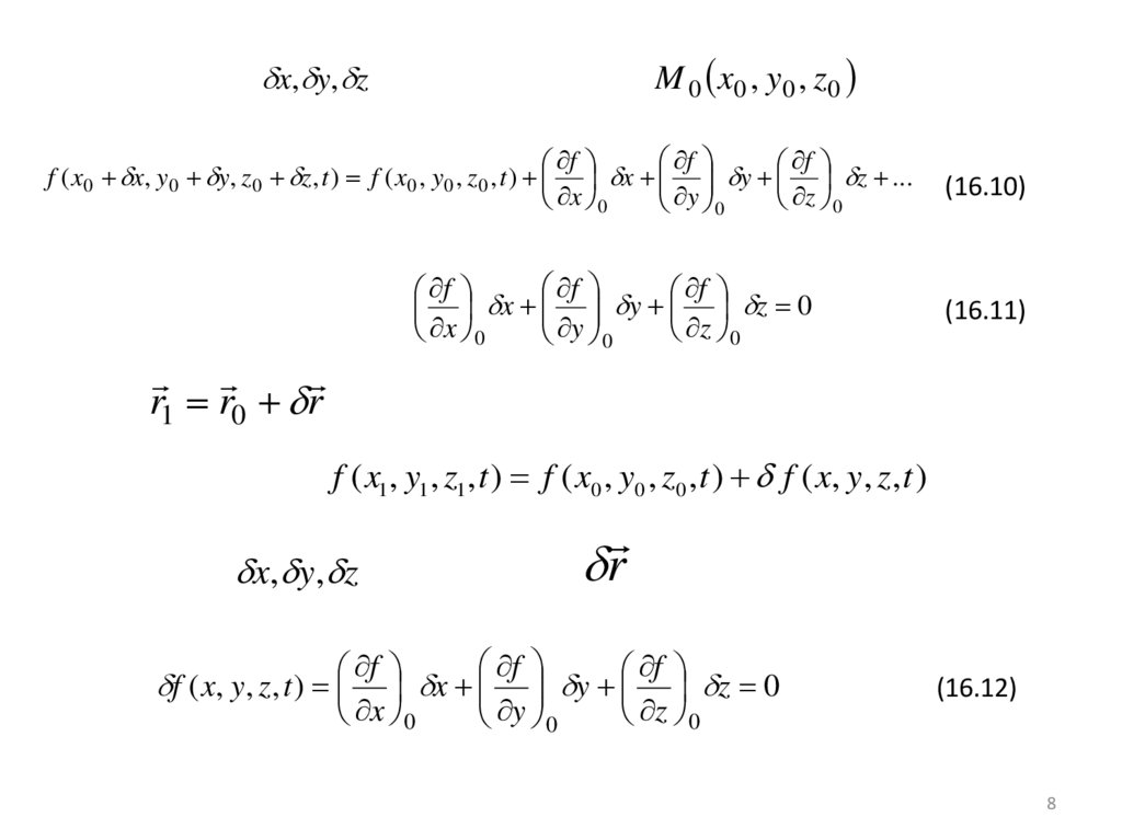
8.

M 0 x0 , y 0 , z 0
x, y, z
f
f
f
f ( x0 x, y0 y, z0 z , t ) f ( x0 , y0 , z0 , t ) x y z ...
x 0
z 0
y 0
f
f
f
x
y
z 0
x 0
z 0
y 0
(16.10)
(16.11)
r1 r0 r
f ( x1 , y1 , z1 , t ) f ( x0 , y0 , z0 , t ) f ( x, y, z , t )
x, y, z
r
f
f
f
x
y
z 0
x 0
z 0
y 0
f ( x, y, z , t )
(16.12)
8

9.

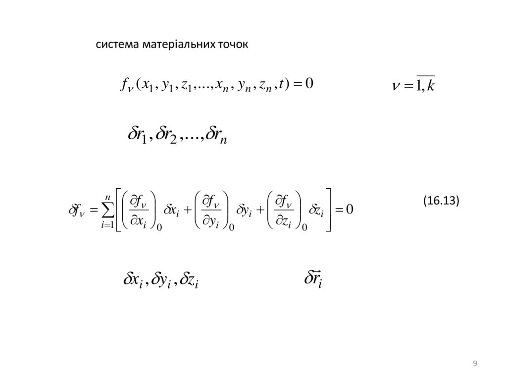
система матеріальних точок
f ( x1 , y1 , z1 ,..., xn , yn , z n , t ) 0
1, k
r1 , r2 ,..., rn
n f
f
f
yi
zi 0
f
xi
i 1
yi 0
zi 0
xi 0
xi , yi , zi
(16.13)
ri
9

10.

Віртуальна робота
d ' A Fi dri
n
i 1
r1 , r2 ,..., rn
(16.14)
F1 , F2 ,..., Fn
A Fi ri
n
i 1
(16.15)
10

11.

Ідеальні в'язі
A Ri ri 0
n
(16.16)
i 1
МТ:
R r 0
f ( x, y, z ) 0
Приклад: жорсткий стрижень AB
RB R A
r A r B 2 AB 2
(16.17)
AB const
2
2
f x, y, z rA rB AB 0
11

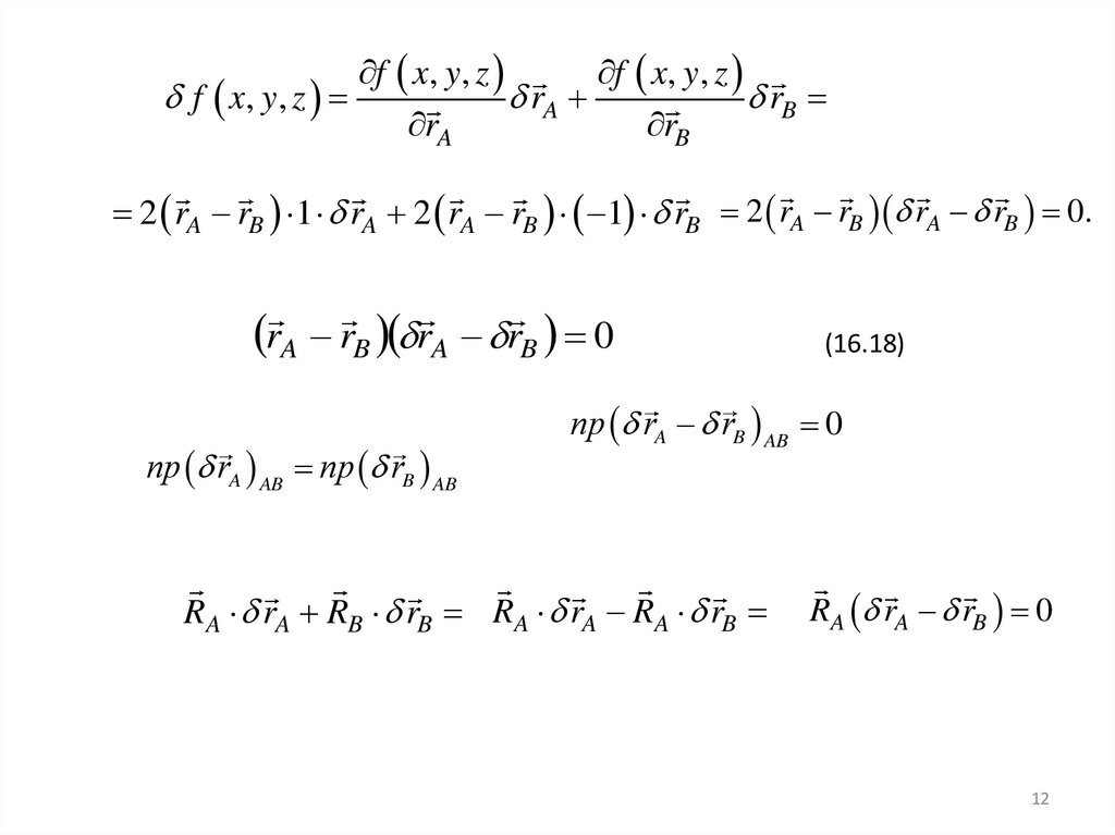
12.

f x, y, z
f x, y, z
f x, y , z
rA
rB
rA
rB
2 rA rB 1 rA 2 rA rB 1 rB 2 rA rB rA rB 0.
rA rB rA rB 0
пр rA AB пр rB AB
(16.18)
пр rA rB AB 0
RA rA RB rB RA rA RA rB
RA rA rB 0
12

13.

Принцип віртуальних переміщень
Fi Ri 0
vi (0) 0
ri
r1 , r2 ,..., rn
(i 1, n)
F
R
r
i i i 0
n
i 1
n
Fi ri Ri ri 0
n
i 1
i 1
n
Ri ri 0
i 1
Fi ri 0
n
i 1
(16.19)
13

14.

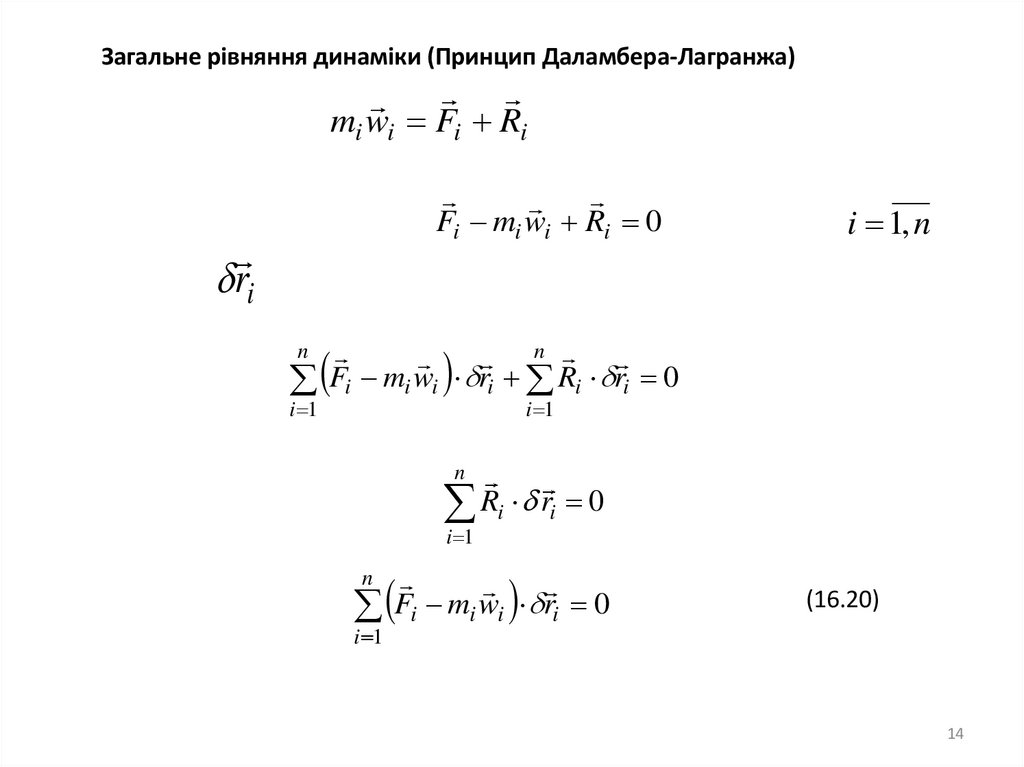
Загальне рівняння динаміки (Принцип Даламбера-Лагранжа)
mi wi Fi Ri
Fi mi wi Ri 0
ri
i 1, n
n
Fi mi wi ri Ri ri 0
n
i 1
i 1
n
Ri ri 0
i 1
F
m
w
r
i i i i 0
n
i 1
(16.20)
14
English     Русский Правила