Лекція 18 Рівняння Лагранжа другого роду
541.96K

ДРФ л18

1. Лекція 18 Рівняння Лагранжа другого роду

1

2.

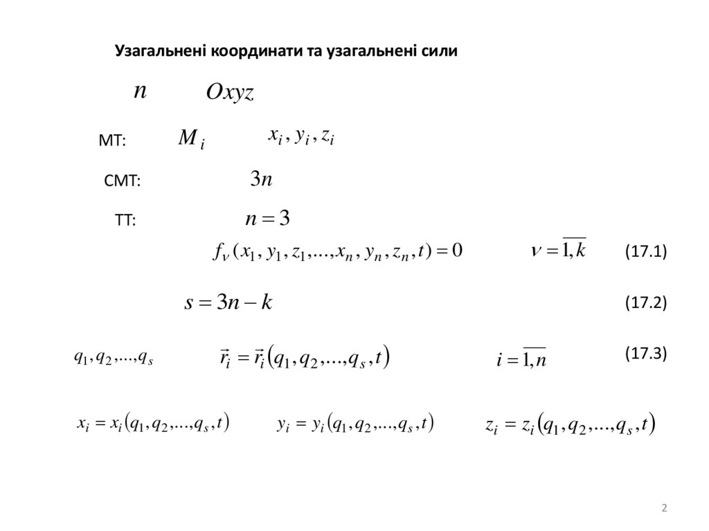
Узагальнені координати та узагальнені сили
n
МТ:
Oxyz
xi , y i , z i
Mi
СМТ:
3n
ТТ:
n 3
f ( x1 , y1 , z1 ,..., xn , yn , z n , t ) 0
1, k
s 3n k
q1 , q2 ,..., q s
(17.2)
ri ri q1 , q2 ,..., q s , t
xi xi q1 , q2 ,..., qs , t
(17.1)
yi yi q1 , q2 ,..., qs , t
i 1, n
(17.3)
zi zi q1 , q2 ,..., q s , t
2

3.

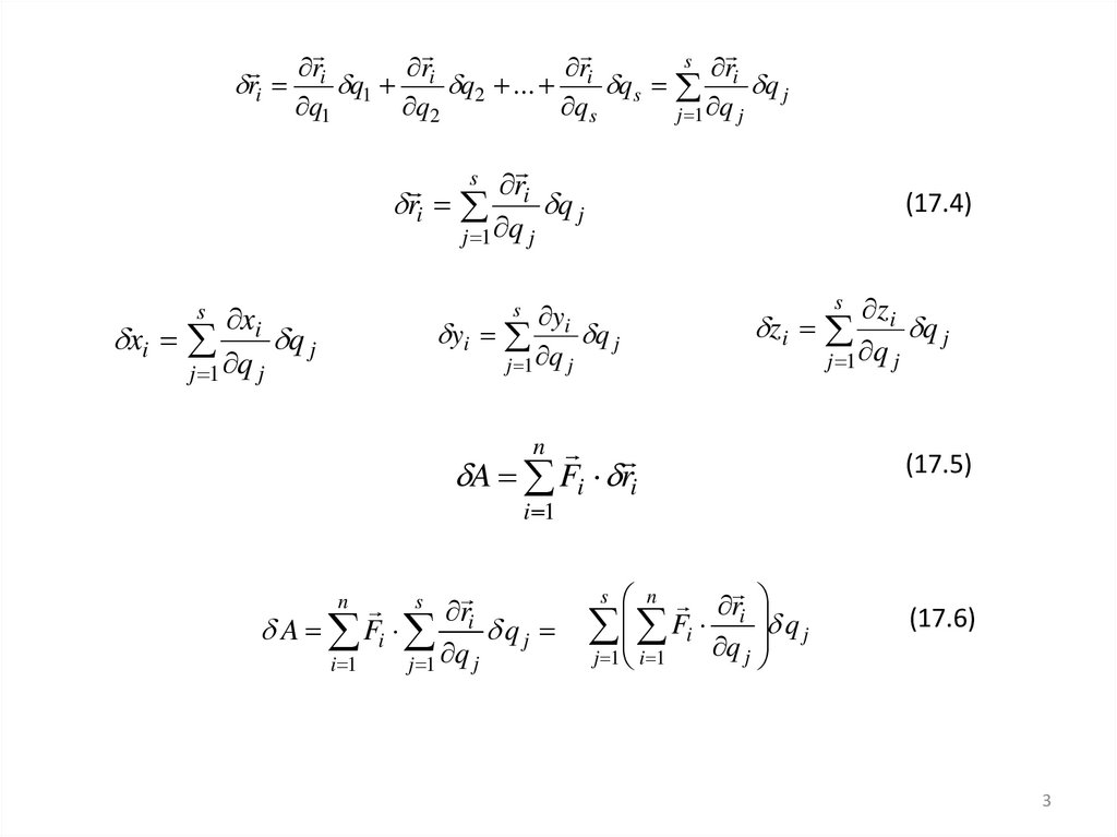
s r
ri
ri
ri
ri
q1
q2 ...
q s i q j
q1
q2
q s
j 1 q j
s r
ri i q j
j 1 q j
(17.4)
y
yi i q j
j 1 q j
x
xi i q j
j 1 q j
s
s
zi
q j
j 1 q j
s
zi
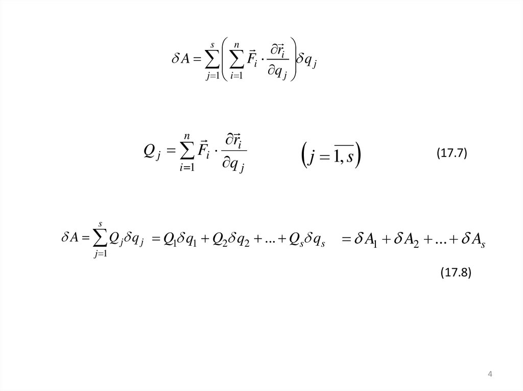
A Fi ri
n
(17.5)
i 1
r
A Fi i q j
i 1
j 1 q j
n
s
s n
ri
F
i q q j
j
j 1 i 1
(17.6)
3

4.

s n
ri
A Fi
q j
q j
j 1 i 1
r i
Q j Fi
q j
i 1
n
s
j 1, s
A Q j q j Q1 q1 Q2 q2 ... Qs qs
j 1
(17.7)
A1 A2 ... As
(17.8)
4

5.

Способи обчислення узагальнених сил
1)
xi
yi
zi
Q j Fix
Fiy
Fiz
q
q
q
i 1
j
j
j
2)
Q1
n
q2 q3 ... q s 0
q1 0,
A1 Q1 q1
3)
П
Fix
xi
(17.9)
Q1
Fi y
П
yi
A1
q1
Fiz
П
zi
n П
x
П yi П zi
Q j
i
x
q
y
q
z
i 1
i
j
i
j
i q j
Qj
П
q j
(17.10)
5

6.

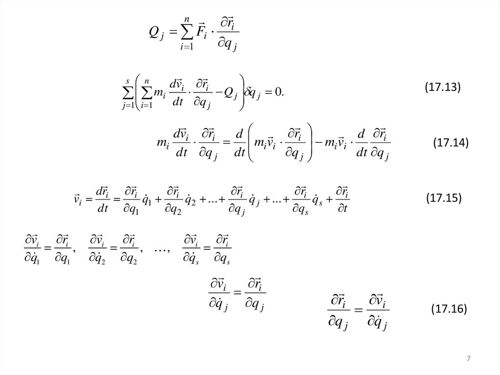
Рівняння Лагранжа другого роду
F
m
w
r
i i i i 0
i 1
s
r
ri i q j
j 1 q j
n
(17.11)
s r
Fi mi wi qi q j 0
i 1
j 1
j
n
(17.12)
dv
wi i
dt
ri
F
m
w
i i i q q j
j
i 1
j 1
n
s
dvi
s ri
mi dt Fi q q j
j
i 1
j 1
n
dvi
ri
m
F
i dt i q q j
j
j 1 i 1
s
n
s n
n
dvi ri
r
mi
Fi i q j 0.
dt q j i 1
q j
j 1 i 1
6

7.

r i
Q j Fi
q j
i 1
n
d
v
r
i
i
mi dt q Q j q j 0.
j 1 i 1
j
s n
(17.13)
dvi ri
d ri
d ri
mi
mi vi
mi vi
dt q j dt
q j
dt q j
ri
ri
ri
ri
dri ri
vi
q 1
q 2 ...
q j ...
q s
dt q1
q2
q j
qs
t
vi ri
,
q1 q1
vi ri
,
q2 q2
,
(17.14)
(17.15)
vi ri
qs qs
vi
ri
q j q j
ri
vi
q j q j
(17.16)
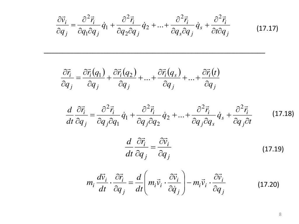
7

8.

vi
2 ri
2 ri
2 ri
2 ri
q 1
q 2 ...
q s
q j q1 q j
q2 q j
qs q j
t q j
(17.17)
___________________________________________________________
ri ri q1 ri q2
ri qs
ri t
...
...
q j
q j
q j
q j
q j
2 ri
2 ri
2 ri
2 ri
d ri
q 1
q 2 ...
q s
dt q j q j q1
q j q2
q j qs
q j t
vi
d ri
dt q j q j
dv r
v
v
d
mi i i mi vi i mi vi i
dt q j dt
q j
q j
(17.18)
(17.19)
(17.20)
8

9.

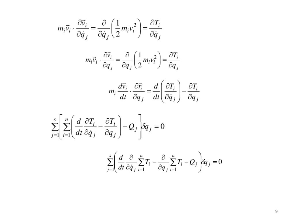
Ti
vi
1
2
mi vi
m
v
i i
q j q j 2
q j
T
vi
1
2
mi vi
mi vi i
q j q j 2
q j
dvi ri
d Ti Ti
mi
dt q j dt q j q j
s n d
Ti Ti
dt q q Q j q j 0
j 1
j
j
i 1
s d
n
n
T
T
Q
dt q i q i j q j 0
j 1
j i 1
j i 1
9

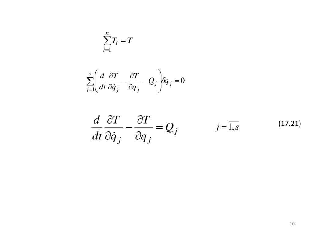
10.

n
Ti T
i 1
s d
T
T
dt q q Q j q j 0
j 1
j
j
d T
T
Qj
dt q j q j
j 1, s
(17.21)
10

11.

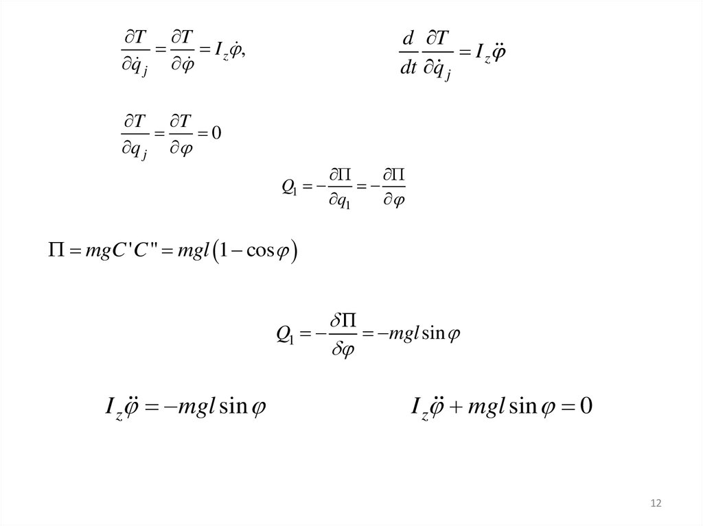
Фізичний маятник
1
T I z z2 .
2
z
1
T I z 2 .
2
d T
T
Qj
dt q j q j
q1
11

12.

d T
I z
dt q j
T T
I z ,
q j
T T
0
q j
Q1
П
П
q1
mgC ' C " mgl 1 cos
Q1
I z mgl sin
П
mgl sin
I z mgl sin 0
12

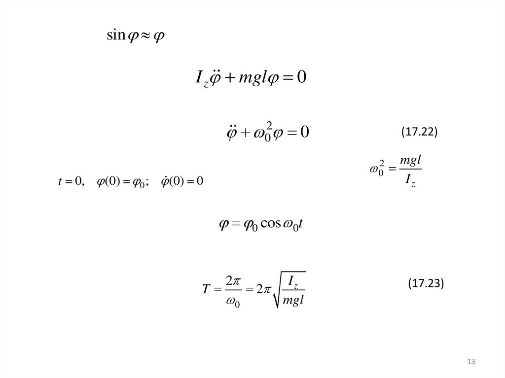
13.

sin
I z mgl 0
02 0
(17.22)
02
t 0, (0) 0 ; (0) 0
mgl
Iz
0 cos 0t
T
2
0
2
Iz
mgl
(17.23)
13
English     Русский Правила