499.55K

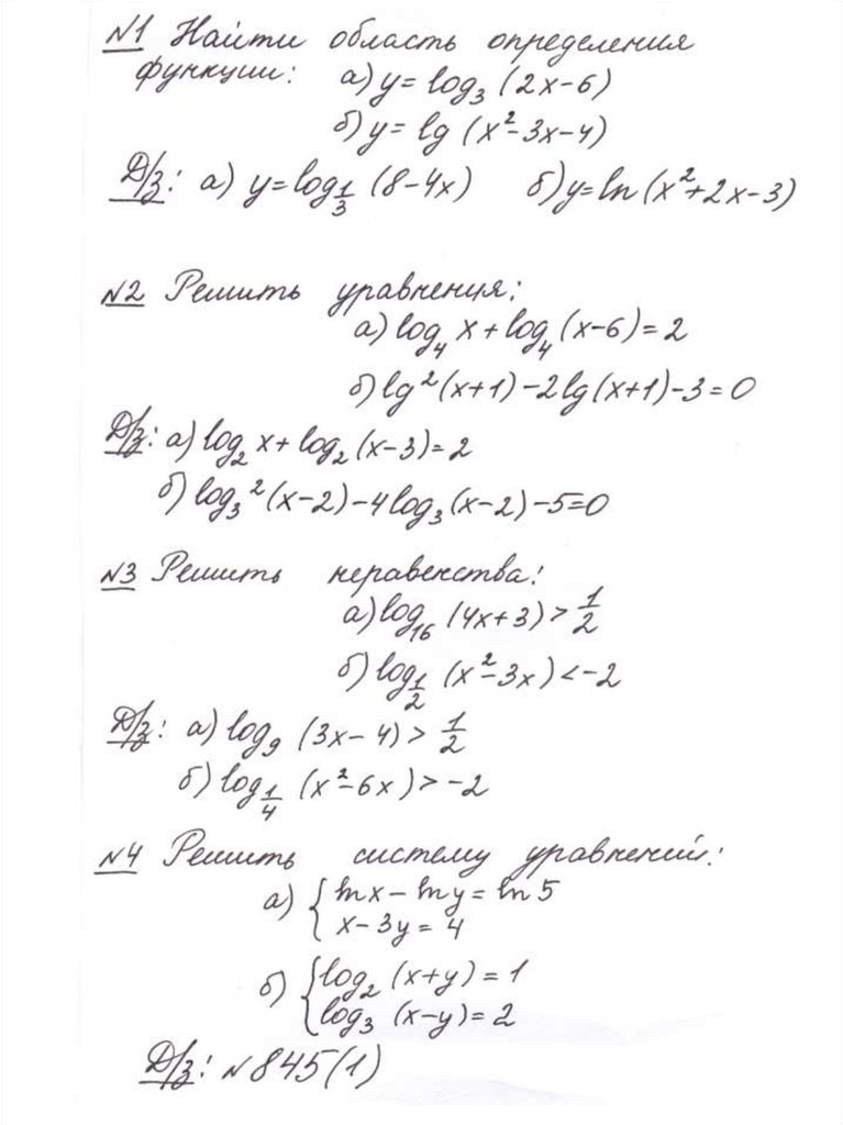
лог. уравнения (0)

1.

English     Русский Правила