7.08M

INH-027-WO-PCT 2024-08-21 Replacement Drawings5705199.1

1.

1/32
PATENT
FIG. 1A
INH-027WO

2.

2/32
PATENT
FIG. 1B
INH-027WO

3.

INH-027WO
3/32
FIG. 2A
PATENT

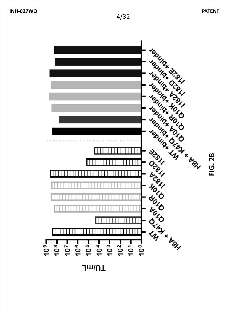
4.

4/32
PATENT
FIG. 2B
INH-027WO

5.

PATENT
5/32
FIG. 3
INH-027WO

6.

PATENT
6/32
FIG. 3 (Continued)
INH-027WO

7.

PATENT
7/32
FIG. 3 (Continued)
INH-027WO

8.

8/32
PATENT
FIG. 3 (Continued)
INH-027WO

9.

9/32
PATENT
FIG. 4
INH-027WO

10.

10/32
PATENT
FIG. 5
INH-027WO

11.

FIG. 6A
FIG. 6B
FIG. 6C
FIG. 6D
INH-027WO
11/32
PATENT

12.

FIG. 6E
FIG. 6F
FIG. 6G
FIG. 6H
INH-027WO
12/32
PATENT

13.

FIG. 6I
FIG. 6J
FIG. 6K
FIG. 6L
INH-027WO
13/32
PATENT

14.

14/32
PATENT
FIG. 6M
INH-027WO

15.

FIG. 7A
FIG. 7B
FIG. 7C
FIG. 7D
INH-027WO
15/32
PATENT

16.

FIG. 7E
FIG. 7F
FIG. 7G
FIG. 7H
INH-027WO
16/32
PATENT

17.

FIG. 7I
FIG. 7J
FIG. 7K
FIG. 7L
INH-027WO
17/32
PATENT

18.

18/32
PATENT
FIG. 7M
INH-027WO

19.

19/32
PATENT
FIG. 8A
INH-027WO

20.

20/32
PATENT
FIG. 8B
INH-027WO

21.

PATENT
21/32
FIG. 9A
INH-027WO

22.

PATENT
22/32
FIG. 9B
INH-027WO

23.

INH-027WO
PATENT
23/32
FIG. 10A
FIG. 10C
FIG. 10B

24.

INH-027WO
PATENT
24/32
VSVG Gen2.1 + CD7 scFVΔFc
100
SupT1
% GFP+
10
Daudi
DB
1
GA10
0.1
HT
Raji
0.01
Ramos
2
1
0
-1
-2
-3
-4
-5
10
10
10
10
10
10
10
10
0
MOI (of SupT1)
FIG. 11A
VSVG Gen2.1 + CD7 scFVΔFc
SupT1
10
Daudi
DB
1
GA10
0.1
HT
Raji
0.01
Ramos
2
1
0
-1
-2
-3
-4
-5
10
10
10
10
10
10
10
0
10
% CAR20-T2A-GFP+
100
MOI (of SupT1)
FIG. 11B

25.

INH-027WO
25/32
FIG. 12A
FIG. 12B
PATENT

26.

26/32
PATENT
FIG. 13A
INH-027WO

27.

27/32
PATENT
FIG. 13B
INH-027WO

28.

INH-027WO
28/32
FIG. 14A
PATENT

29.

INH-027WO
29/32
FIG. 14B
PATENT

30.

INH-027WO
30/32
FIG. 15A
PATENT

31.

31/32
PATENT
FIG. 15B
INH-027WO

32.

INH-027WO
PATENT
32/32
WT VSV-G
I182E
I182E & CD7 Binder
I182E I374G T352E
I182E I347G T352E & CD7 Binder
I182E T352Q
I182E T352Q & CD7 Binder
I182E T352E
I182E T352E & CD7 Binder
FIG. 16
English     Русский Правила