Элементы физики атомов и молекул
АТОМ ВОДОРОДА В КВАНТОВОЙ МЕХАНИКЕ
1s состояние электрона в атоме водорода
СПИН ЭЛЕКТРОНА
ПРИНЦИП ПАУЛИ
1.42M
Категория: ФизикаФизика

Элементы физики атомов и молекул

1. Элементы физики атомов и молекул

2. АТОМ ВОДОРОДА В КВАНТОВОЙ МЕХАНИКЕ

Потенциальная
энергия
взаимодействия
электрона с ядром
Z- заряд ядра
r – расстояние между
электроном и
ядром
2
Ze
U
4 0 r

3.

Уравнение Шредингера для атома
водорода
2
E U 0
2m
2
2
Ze
0
E
2m
4 0 r
m – масса электрона
Е – полная энергия

4.

Диф. уравнение имеет решение
только при
2
4
1 Z me
En 2 2 2 ,
n 8h 0
n 1,2,3...
Дискретный набор отрицательных
энергий

5.

n=1 – основной
уровень
n 2
возбужденные уровни
При Е<0 электрон находится в связанном
состоянии внутри гиперболической
потенциальной ямы
При Е>0 электрон становится свободным
При увеличении n уровни располагаются
ближе друг к другу

6.

E,U
E>0 свободный электрон
r
U
E3
E2
Ei=-13,6 эВ
потенциал ионизации
E1

7.

Собственные
функции уравнения
Шредингера
содержат 3
целочисленных
параметра n,l,m
Момент импульса
электрона
квантуется
nlm (r , , )
L ( 1)
Проекция момента
импульса на направление
внешнего магнитного
поля квантуется
L Z m

8.

n – главное квантовое число,
определяет номер уровня энергии
– орбитальное квантовое число,
определяет момент импульса
электрона ( форму орбиты)
m – магнитное квантовое число ,
определяет проекцию момента
импульса на направление внешнего
магнитного поля

9.

n 1,2,3.....
0,1,2,3..., (n 1)
m 0, 1, 2, 3...,

10.

11.

Каждому значению n соответствует
несколько волновых функций, которые
отличаются значениями орбитального
и магнитного волновых чисел (l,m).
Состояния с одинаковым n называются
вырожденными
Их количество – кратностью
вырождения
Число различных состояний с
одинаковым n
N n
2

12.

0
S - состояние
1
p - состояние
2
d - состояние
3
f - состояние

13.

z
s
x
p
d
y

14.

Е1
Е2
100
200
210
211
21 1
n
m
1
0
0
2
0
0
2
1
0
2
1
1
2
1
-1

15.

ПРАВИЛА ОТБОРА
Ограничивают число возможных
переходов в атоме, связанных с
испусканием и поглощением света
1
m 0, 1

16.

Е, эВ
=0
s
=1
p
=2
=3
d
f
-0.85
-1.51
n =4
n =3
-3,38
-13,6
n =2
n =1

17.

При переходе электрона с более
высоких уровней на более низкие
излучается фотон
Для перехода электрона на более
высокий уровень он должен
поглотить фотон

18. 1s состояние электрона в атоме водорода

100 С e
r
a
С находится из условия нормировки
С
4 0
a
2
me
1
a
3
Первый боровский
радиус

19.

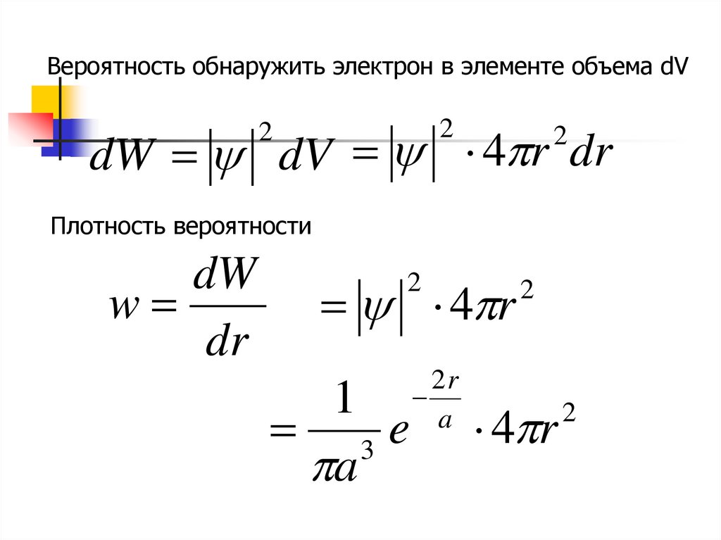
Вероятность обнаружить электрон в элементе объема dV
dW dV 4 r dr
2
2
2
Плотность вероятности
dW
w
dr
4 r
2
1
3e
a
2r
a
2
4 r
2

20.

w
В основном состоянии атома водорода наиболее
вероятное расстояние от электрона до ядра –
боровский радиус
r

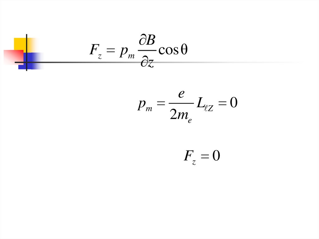
21. СПИН ЭЛЕКТРОНА

Рассмотрим атом
водорода в S состоянии
L ( 1) 0
0
L Z m 0
Магнитное поле не должно влиять
на движение электрона

22.

23.

Штерн и Герлах экспериментально
обнаружили, что пучок атомов
водорода в s состоянии расщепляется
в магнитном поле на 2 пучка

24.

B
Fz pm
cosθ
z
e
pm
LZ 0
2me
Fz 0

25.

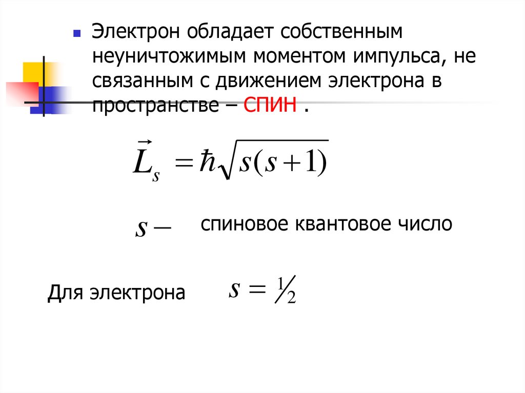
Электрон обладает собственным
неуничтожимым моментом импульса, не
связанным с движением электрона в
пространстве – СПИН .
Ls s(s 1)
s
Для электрона
спиновое квантовое число
s 12

26.

Проекция спина на направление
внешнего магнитного поля
LsZ ms
ms магнитное спиновое
квантовое число
Для электрона
ms 1 2

27.

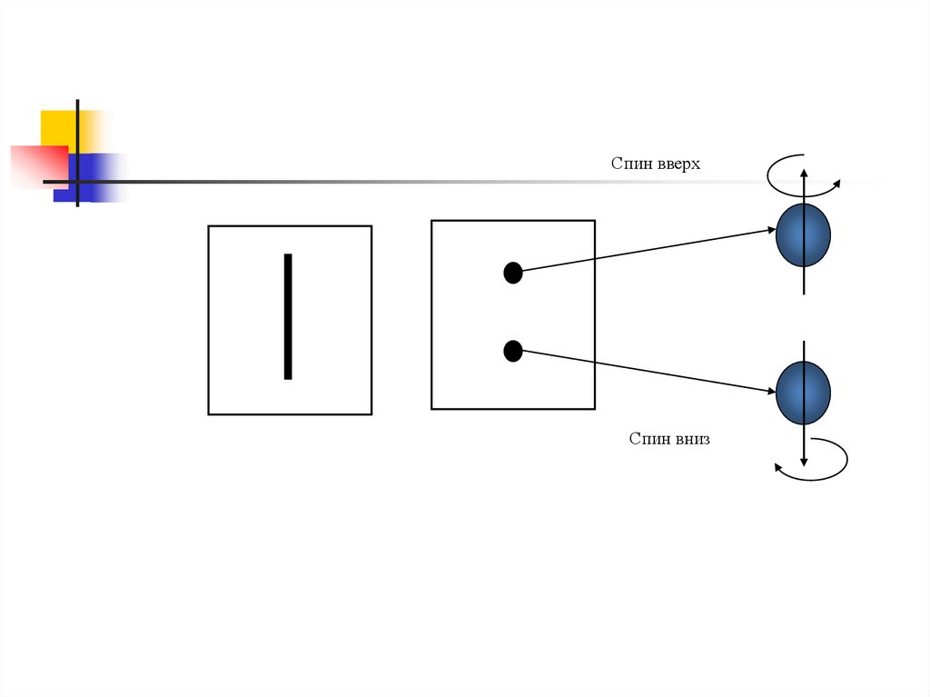
Спин вверх
Спин вниз

28. ПРИНЦИП ПАУЛИ

Состояние электрона в атоме задается
4 квантовыми числами
n 1,2,3,... - главное квантовое число
l 0,1,2,3,..., n 1
- орбитальное квантовое число
m 0, 1, 2,...,
ms 1 2, 1 2
- магнитное квантовое число
- магнитное спиновое квантовое число

29.

В одном и том же атоме не может быть
двух электронов с одинаковым набором
квантовых чисел
Хотя бы одно из чисел должно
отличаться
Максимальное количество электронов,
находящихся на уровне энергии с
номером n
N 2n
2

30.

Электроны в атоме, имеющие
одинаковое квантовое число n –
называют электронной оболочкой
В каждой оболочке электроны
распределяются по подоболочкам,
соответствующим l

31.

Главное кв.
число
n=1
n=2
n=3
n=4
Символ
оболочки
K
L
M
N
Мах. число
электронов
в оболочке
2
8
18
32
Орбитальное
кв. число
Символ
подоболочки
l=0
l=0
l=1 l=0
l=1
l=2 l=0
l=1 l=2 l=3
1s
2s
2p
3s
3p
3d 4s
4p
Мах. число
2
электронов
в подоболочке
2
6
2
6
10
2
6
4d
4f
10 14

32.

На основании принципа Паули можно
построить таблицу Менделеева
English     Русский Правила