Функции вида , их свойства и графики
Графики функций
График функции
Графики функций
386.11K

9г 22.01

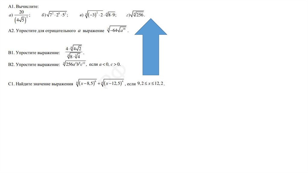
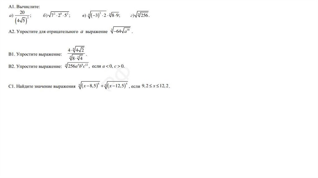
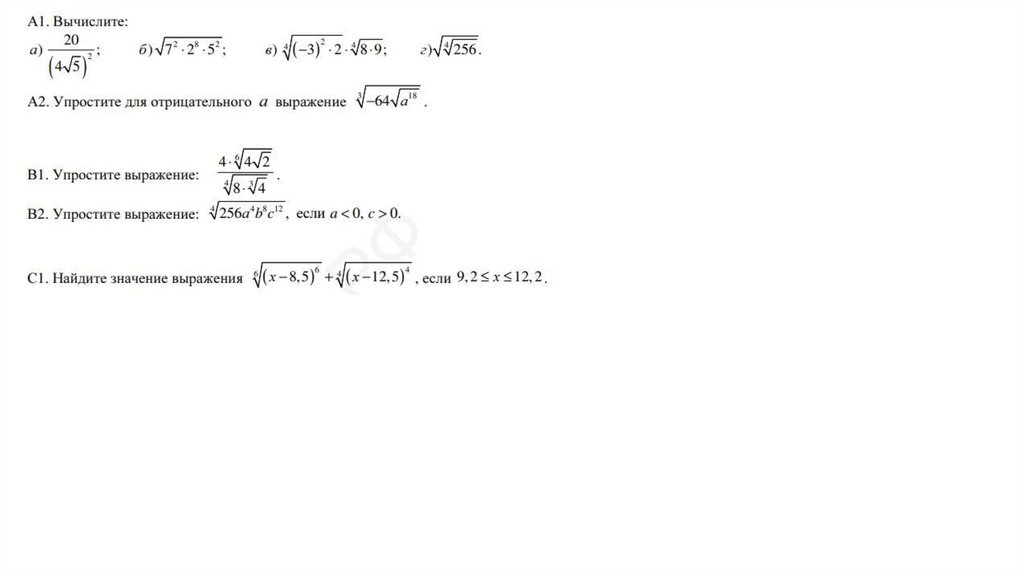
1.

2.

3.

4.

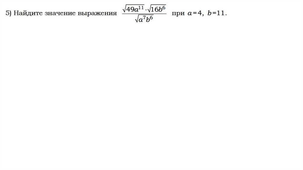
5.

6.

7.

8.

9.

10.

11.

12.

13.

14.

15.

16.

17.

18. Функции вида , их свойства и графики

с
с

19.

х
у

20. Графики функций

Свойства функции:
1)
2)
3) Функция не является
ни четной, ни нечетной
n=2
4) Возрастает на
n=4
n=8
5) Не ограничена сверху,
ограничена снизу.
6) Не имеет наибольшего
значения, унаим = 0
7) Функция непрерывна

21. График функции

х
у
График функции
09/27/2019
Свойства
функции

22. Графики функций

n=3
n=5
n=9
09/27/2019
Закрыть
English     Русский Правила