Образование каустобиолитов в осадочном чехле земной коры в процессе катагенеза РОВ,
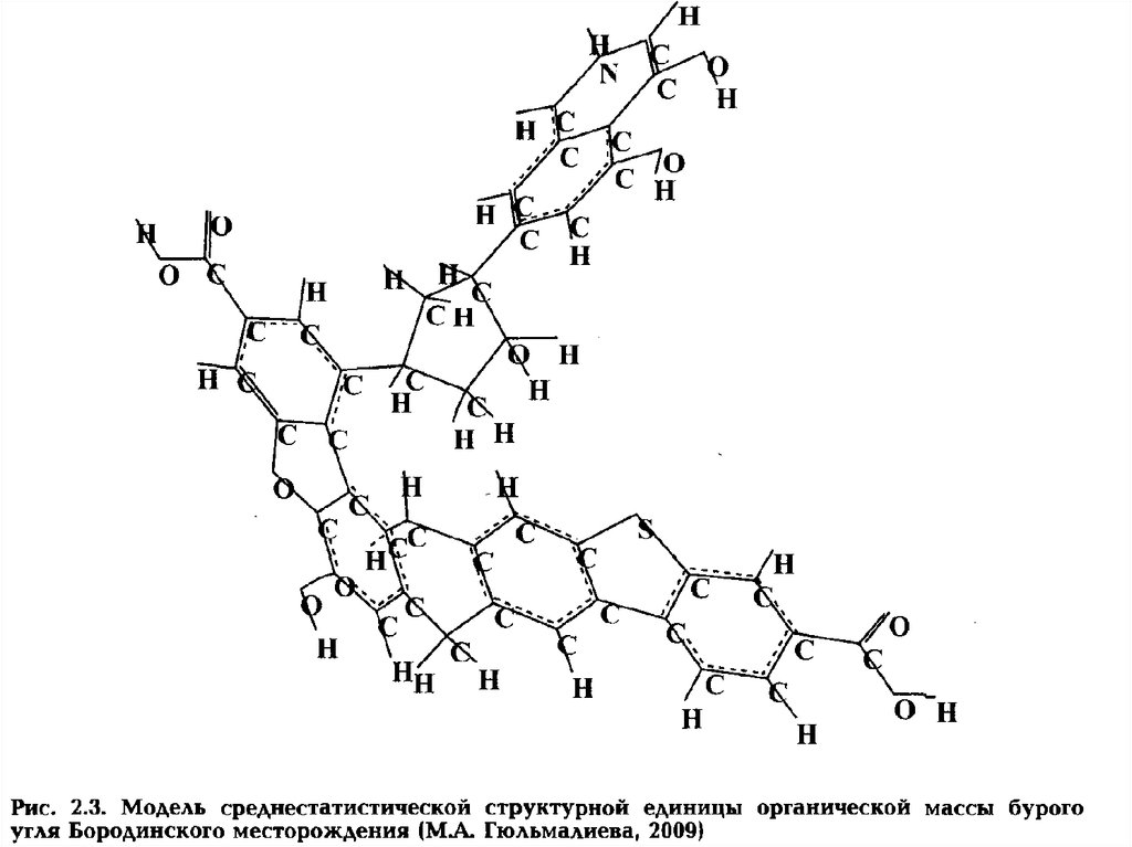
Общий характер химической структуры углей (Б. Тиссо и Д. Вельте
Молекулярная структура керогена
Диаграмма Ван Д. Кревелена
Структура разных типов керогена
Общая схема образования УВ на различных стадиях погружения осадков (А.А. Петров, 1984)
Стадии катагенеза РОВ относительно глубины залегания (по Н.Б. Вассоевичу)
4.99M
Категория: ГеографияГеография

Образование каустобиолитов в осадочном чехле земной коры в процессе катагенеза РОВ

1. Образование каустобиолитов в осадочном чехле земной коры в процессе катагенеза РОВ,

2.

3.

4.

5.

Закономерности
изменения содержания
нормальных алканов в
торфе и углях на разных
стадиях углефикации

6.

7. Общий характер химической структуры углей (Б. Тиссо и Д. Вельте

8. Молекулярная структура керогена

9.

10. Диаграмма Ван Д. Кревелена

11.

12.

13. Структура разных типов керогена

14.

15.

16. Общая схема образования УВ на различных стадиях погружения осадков (А.А. Петров, 1984)

17.

18. Стадии катагенеза РОВ относительно глубины залегания (по Н.Б. Вассоевичу)

English     Русский Правила