596.50K
Категории: МатематикаМатематика ФизикаФизика

Система кровообращения человека

1.

Система кровообращения человека обладает
минимальным сечением
в области аорты, равным примерно 8 см2 ,
и максимальным сечением в области капилляров.
Оцените примерную суммарную
площадь сечения капилляров в теле человека
и общее их количество, если скорость
течения крови уменьшается от 0,4 м/с
в аорте до 0,005 м/с в капиллярах.
Диаметр капилляра считать равным 10-5 м.
Эластичностью сосудов пренебречь.

2.

Все данные переводятся в СИ:
S 8 10 4 м 2
Уравнение неразрывности:
v S v S
S
v S
v
S 4 S
N
2
πd
πd 2
4

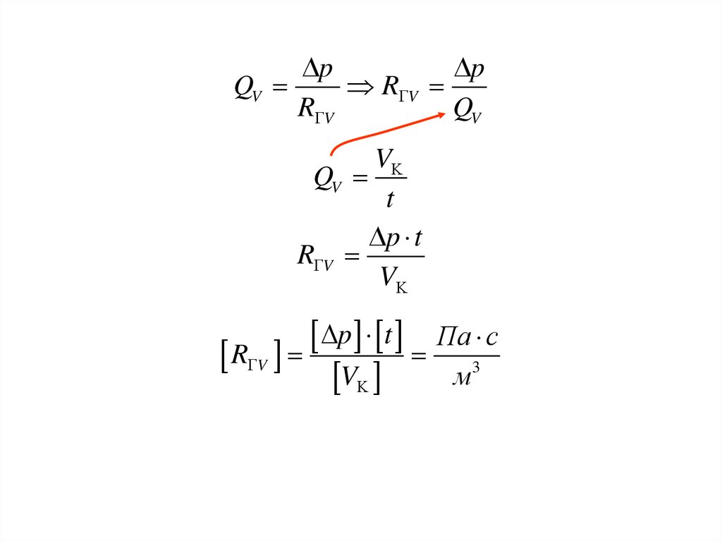
3.

При нормальной частоте сокращений сердца полный
кругооборот крови происходит за 60 с.
Считая объём крови равным 5 л, определите
общее сопротивление кровотоку.
Перепад давления в сердце принять равным 13,3 кПа.
V 5 10 3 м3
p 13,3 103 a

4.

p
p
QV
R V
R V
QV
V
QV
t
p t
R V
V
p t Па с
R V
3
V
м

5.

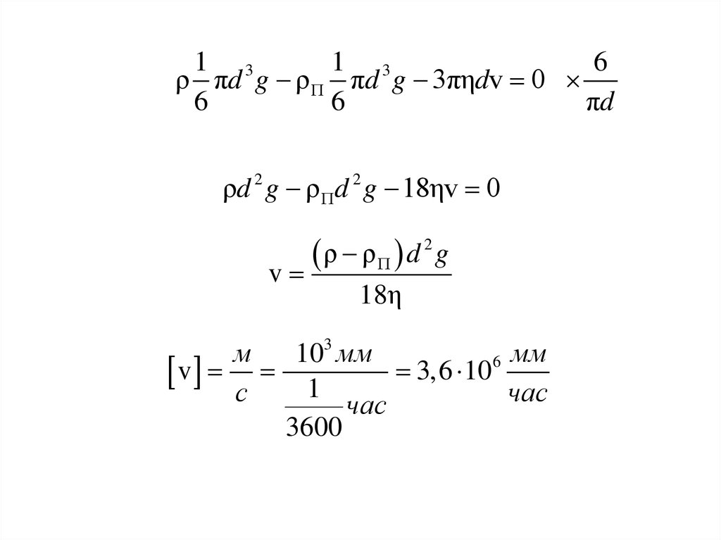
Определите скорость оседания эритроцитов в плазме
крови (в мм/ч)
исходя из предположения, что они имеют
форму шариков диаметром 7 мкм и не склеиваются
между собой. Вязкость крови 5 мПа·с,
плотность крови 1050 кг/м3,
плотность плазмы крови 1030 кг/м3.
d 7 10 6 м
η 5 10 3 Па с

6.

F
FC
ρ = 1050 кг/м3
mg
Х
Плазма ρП = 1030 кг/м3
v const
F mg F
i
FC 0

7.

mg F FC 0
1 3
mg ρVg ρ πd g
6
FC 6πηrv 3πηdv
1 3
F ρ Vg ρ πd g
6

8.

1 3
1 3
6
ρ πd g ρ πd g 3πηdv 0
6
6
πd
ρd 2 g ρ d 2 g 18ηv 0
ρ ρ d 2 g
v
18η
м
103 мм
6 мм
3,6 10
v 1
с
час
час
3600

9.

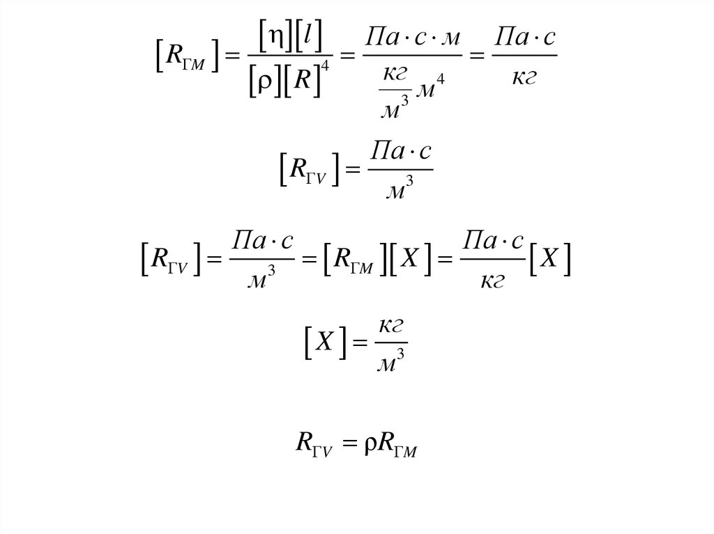
Оцените сопротивление кровотоку
в капилляре длиной 0,7 мм и диаметром 8 мкм.
l 0,7 10 3 м
R 4 10 6 м
R M
8 l
4
R
η 5 10 3 Па с
ρ = 1050 кг/м3

10.

l
Па с м Па с
R M
4
кг 4
кг
R
м
3
м
Па с
R V 3
м
Па с
Па с
X
R V 3 R M X
м
кг
кг
X 3
м
R V ρR M

11.

Оцените общее гемодинамическое
сопротивление системы сосудов.
X2
X3
X1
X6
X5
X7
X4
1
X (2 4)
1
1
1
X2 X3 X4
1
X (6 7)
X X 1 X (2 4) X 5 X (6 7)
1
1
X6 X7

12.

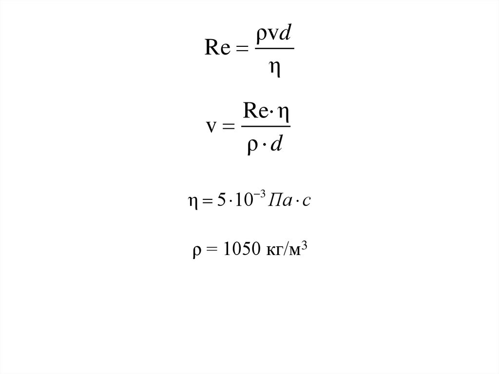
При атеросклерозе критическое число Рейнольдса в
некоторых сосудах становится равным 1060.
Оцените скорость, при которой возможен
переход ламинарного течения крови в турбулентное
в сосуде диаметром 15 мм.
d 15 10 3 м

13.

ρvd
Re
η
Re η
v
ρ d
η 5 10 3 Па с
ρ = 1050 кг/м3

14.

Доплеровский сдвиг частоты при отражении
механической волны от движущихся эритроцитов
равен 50 Гц, частота генератора равна 100 кГц.
Определите скорость движения крови в
кровеносном сосуде. Скорость механической
волны 1540 м/с.
ν 100 103 Гц
ν 50Гц
м
V 1540
с

15.

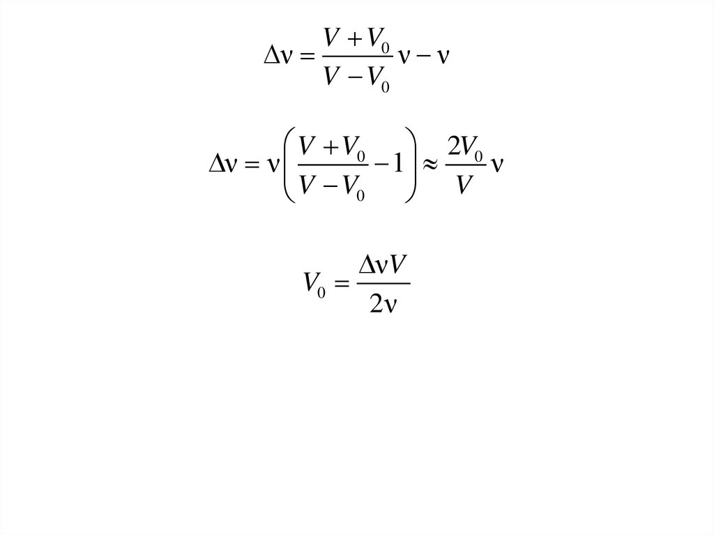
Эффект Доплера – изменение частоты волн,
регистрируемых приемником, вследствие
относительного движения источника и приемника
V V
ν
ν
V VS

16.

V0
УЗ, V, ν
И+П

17.

ИУЗ
Э
УЗГ,
ν
V0
V V0
ν
ν
V VS
Для ИУЗ: Э – приемник УЗ, движущийся навстречу
с относительной скоростью VП = V0

18.

ИУЗ
Э
УЗГ,
ν
V0
Пр,
νР
V V0
ν
ν
V V0
Для приемника: Э – источник УЗ (отраженного),
движущийся навстречу с относительной скоростью
VS = V0

19.

ИУЗ
Э
УЗГ,
ν
ν ν ν
V0
Пр,
νР
V V0
ν
ν
V V0
ИзЧ,
νР

20.

V V0
ν
ν ν
V V0
V V0 2V0
ν ν
1
ν
V V0 V
νV
V0

21.

Проанализировать:
ρVy ap v 2
A1С A A 1,2 A 1,2 pCTVy ap
2
A N
5
A P
A A Av
A pCTVy ap
Av
ρVy ap v 2
2

22.

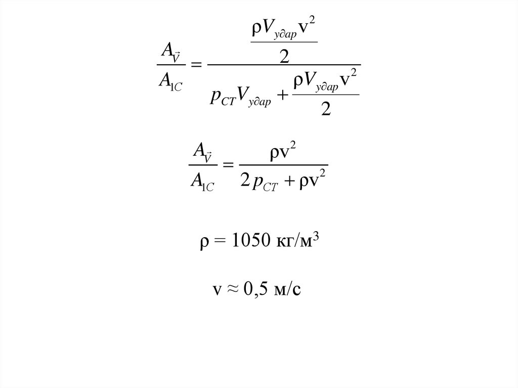
ρVy ap v 2
AV
2
ρVy ap v 2
A1С
pCTVy ap
2
AV
ρv 2
A1С 2 pCT ρv 2
ρ = 1050 кг/м3
v ≈ 0,5 м/с

23.

pc p 120 80
pCT
100 мм рт.ст.
2
2
1000
250
4
2
2
AV
ρv
1050 0,5
2
2
A1С 2 pCT ρv
2 100 133 1050 0,5
250
250
0,01 (1%)
250 100

24.

На зачетное занятие по «Гемодинамике» иметь:
1. Чистая бумага;
2. Авторучки;
3. Калькулятор
Не иметь (даже в мыслях):
1. Полиграфия;
2. Гаджеты
English     Русский Правила