Определение потенциально опасных каналов проникновения помех
Каналы проникновения помех в приёмник супергетеродинного типа
План распределения частот эфирного ТВ вещания (МВ)
Спектр радиосигнала аналогового ТВ вещания
План распределения частот эфирного ТВ вещания (ДМВ)
План распределения частот эфирного ТВ вещания (ДМВ)
Спектр сигнала OFDM цифрового эфирного ТВ сигнала
Параметры приёмников эфирного ТВ сигнала ГОСТ Р 51318.13 и ГОСТ Р 51318.20.
Побочные каналы
Курсовой проект
866.50K
Категория: ИнформатикаИнформатика

Определение потенциально опасных каналов проникновения помех

1. Определение потенциально опасных каналов проникновения помех

2. Каналы проникновения помех в приёмник супергетеродинного типа

• Основной канал проникновения помех
(ОКП)
• Зеркальный канал проникновения
помех (ЗКП)
• Соседний канал проникновения помех
(СКП)

3. План распределения частот эфирного ТВ вещания (МВ)

4. Спектр радиосигнала аналогового ТВ вещания

5. План распределения частот эфирного ТВ вещания (ДМВ)

6. План распределения частот эфирного ТВ вещания (ДМВ)

7.

8. Спектр сигнала OFDM цифрового эфирного ТВ сигнала

9. Параметры приёмников эфирного ТВ сигнала ГОСТ Р 51318.13 и ГОСТ Р 51318.20.

• Аналогового
• Цифрового
Полоса пропускания 8 МГц
Промежуточная частота 38
МГц
Частота гетеродина выше
частоты приёма
Полоса пропускания 6, 7, 8
МГц
Промежуточная частота
36,15
Частота гетеродина выше
частоты приёма

10. Побочные каналы

• ОКП – полоса частот, совпадающая с
полезным сигналом
• СКП – полосы частот, расположенные
выше и ниже ОКП и непосредственно к
ней примыкающие
• ЗКП – полоса частот отстоящая на 2
промежуточные частоты от основного
канала приёма относительно частоты
гетеродина

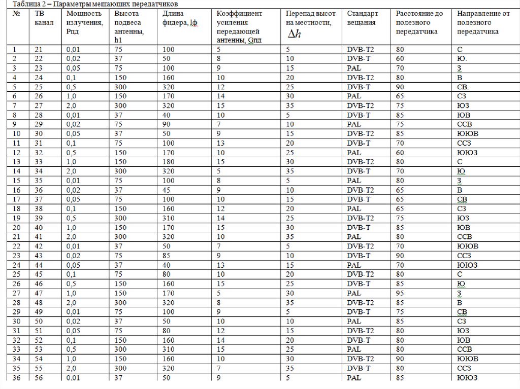
11. Курсовой проект

• Для заданной ЭМО определить
потенциально опасные
радиопередатчики, способные создать
помехи по прямому влиянию
радиоприёмнику, настроенному на N
ТВК
• Также оценить ЭМО по обратному
влиянию
English     Русский Правила