3.45M
Категория: МатематикаМатематика

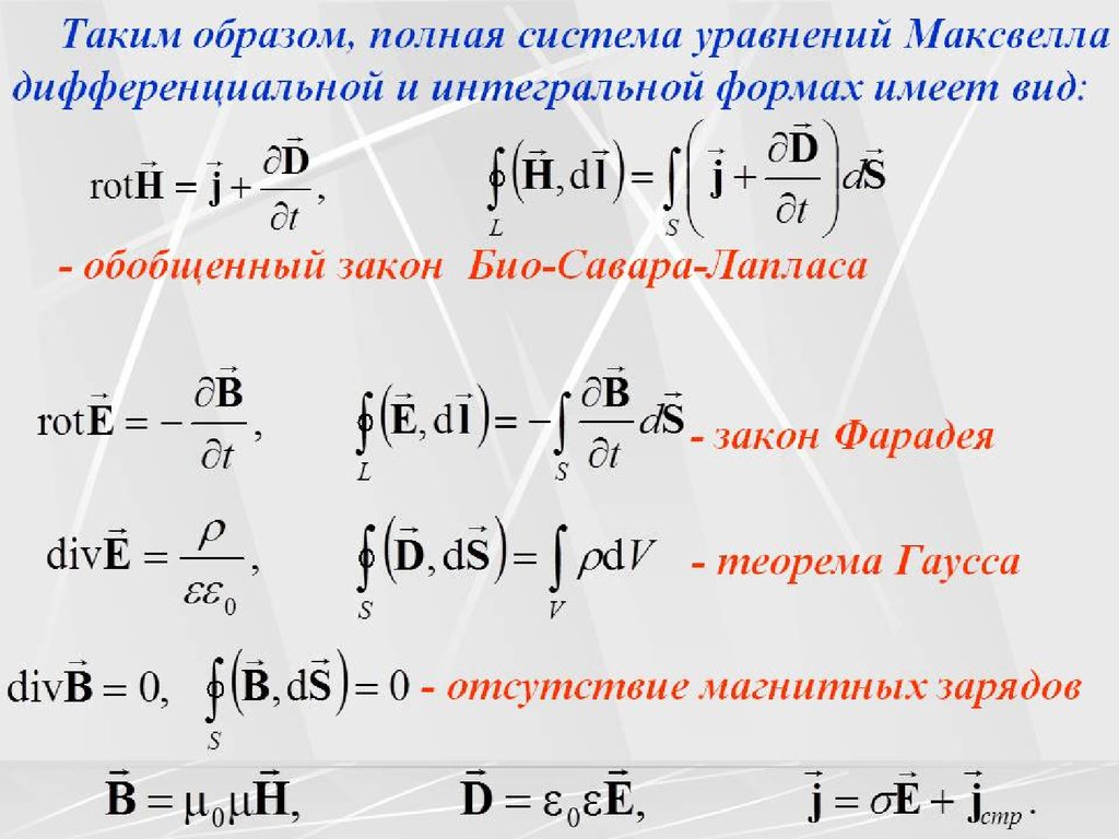
Система уравнений Максвелла дифференциальной и интегральной форм

1.

2.

3.

4.

5.

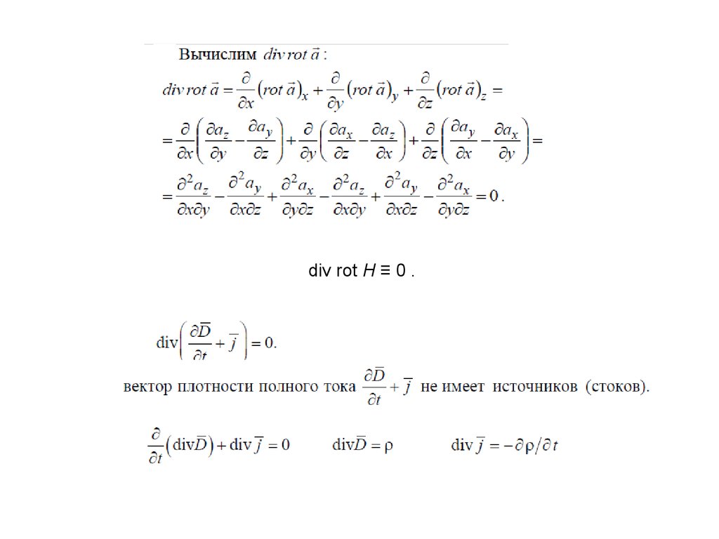
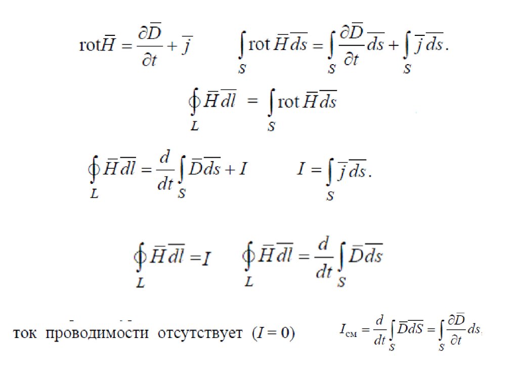
div rot H ≡ 0 .
English     Русский Правила