Сульфаниламидные препараты. Хинолоны
ХИНОЛОНЫ
Налидиксовая кислота
оксолиновая кислота
ЦИНОКСАЦИН
НОРФЛОКСАЦИН
ОФЛОКСАЦИН
ЦИПРОФЛОКСАЦИН
265.08K
Категория: ХимияХимия

Сульфаниламидные препараты. Хинолоны

1. Сульфаниламидные препараты. Хинолоны

2.

3.

4.

СУЛЬФАЦЕТИН

5.

СУЛЬФАДИАЗИН
NaOH

6.

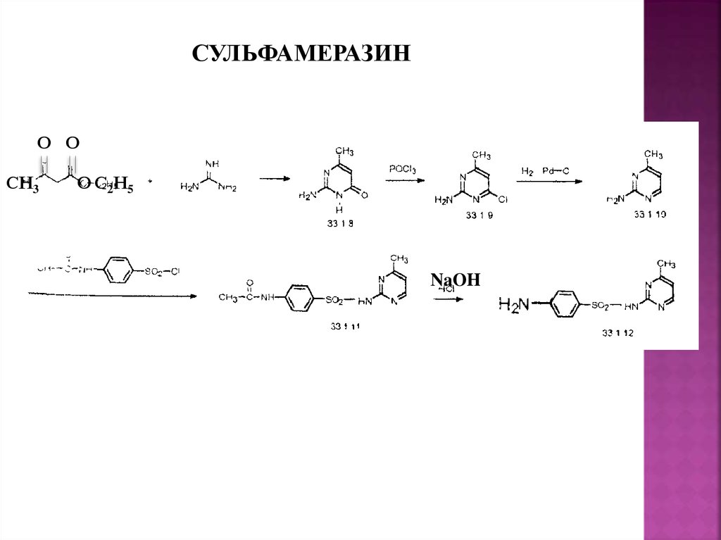
СУЛЬФАМЕРАЗИН
О О
СН3
О С2Н5
NaOH

7.

СУЛЬФАДИМЕЗИН

8.

СУЛЬФАМЕТИЗОЛ

9.

СУЛЬФИЗОКСАЗОЛ

10.

СУЛЬФАМЕТОКСАЗОЛ
СУЛЬФАПИРИДИН

11.

СУЛЬФАСАЛАЗИН

12.

ФТАЛИЛСУЛЬФАТИАЗОЛ

13.

СУЛЬФАДОКСИН
СН3О
О
СН3О

14.

СУЛЬФАЛЕН
Cl

15.

СУЛЬФАМЕТОКСИПИРИДАЗИН+++
NН2
ОСН3
СУЛЬФАЦЕТАМИД (стрептоцид)

16.

ТРИМЕТОПРИМ

17.

ТРИМЕТОПРИМ

18.

ТРИМЕТОПРИМ
English     Русский Правила