625.50K
Категория: МеханикаМеханика
Похожие презентации:

Аппараты сухой пылеочистки

1.

2.

Vапп L B H


d
6
3
r
ч g 3 г dчVср
h Vср
d ч g
Vср
18
2
ч
L B H L B Vср L B dч2 г g


Vг 18
dч min
18Vг
ч gL B

3.

4.

5.

6.

7.

8.

9.

10.

11.

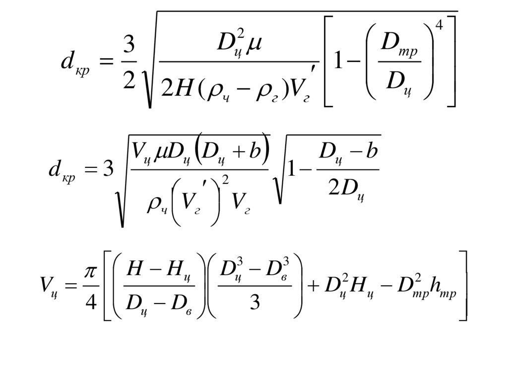
Dтр
3
1
d кр
2 2 H ( )V Dц
ч
г
г
D
2
ц
d кр 3
Vц Dц Dц b
ч Vг V г
2
1
4
Dц b
2 Dц
3
3
H H ц Dц Dв
2
2

D
H
D
h
ц
ц
тр
тр
4 Dц Dв
3
English     Русский Правила