1.85M
Категория:
Математика
Похожие презентации:
ЕГЭ. 1000 задач с ответами и решениями
Пирамида. Задачи ЕГЭ
Задачи по планиметрии на ЕГЭ
ЕГЭ по математике. Задачи
Призма в задачах ЕГЭ
Задачи по планиметрии. ЕГЭ
Шар в задачах ЕГЭ
Пирамида в задачах ЕГЭ
Пирамида в задачах ЕГЭ
Стереометрия в задачах ЕГЭ
ЕГЭ. 1000 задач
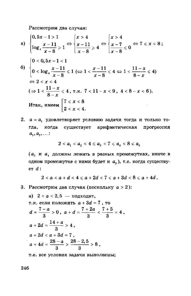
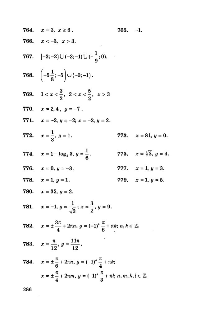
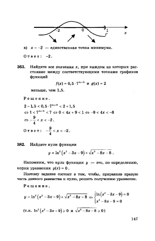
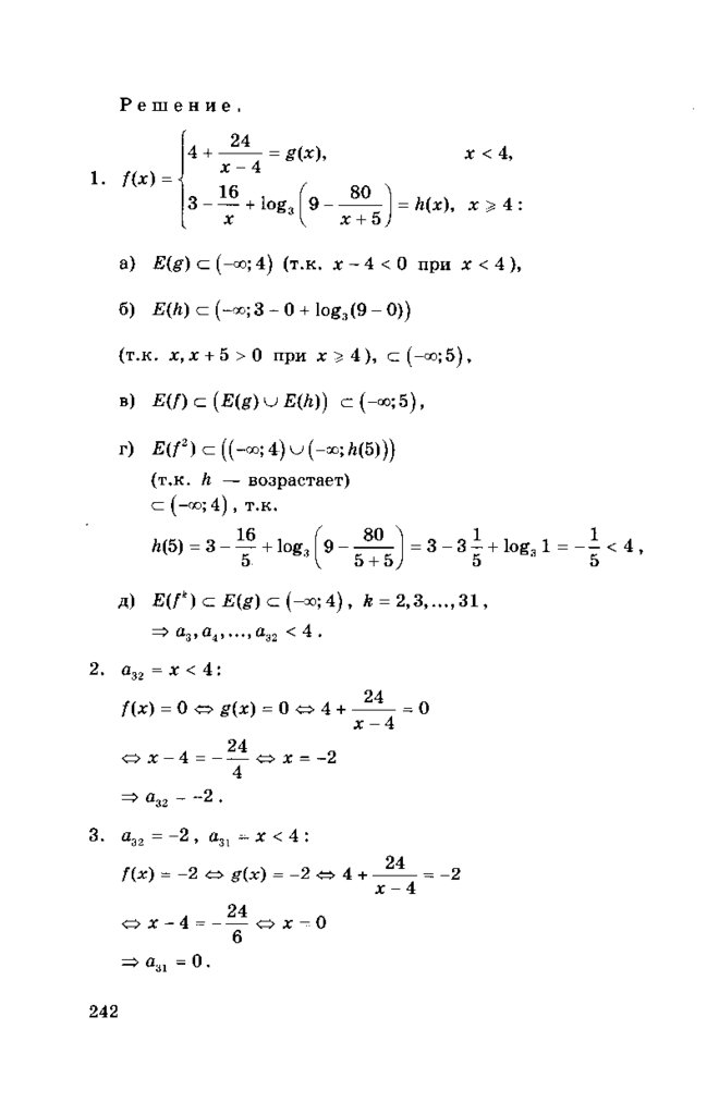
1.
English
Русский
Правила