4.07M
Категория: МатематикаМатематика

Тригонометрические уравнения. Методы решения тригонометрических уравнений

1.

18.01.21.
Тема:
Тригонометрические уравнения. Методы
решения тригонометрических уравнений.
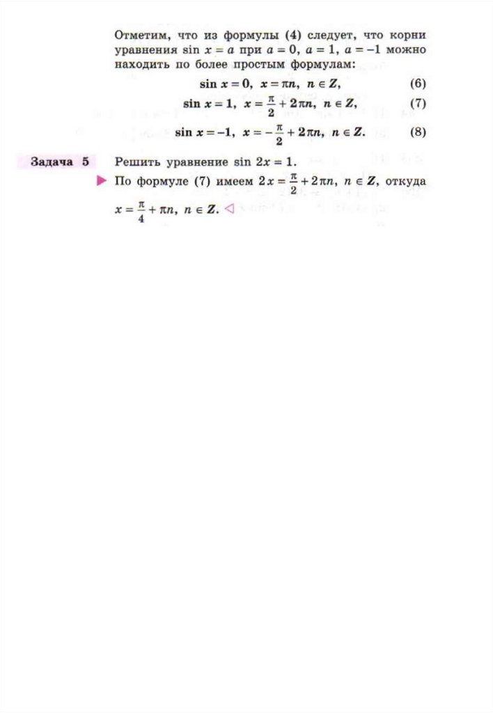
Учащиеся должны освоить теоретическую часть,
прислать ответы на вопросы и решение задач,
содержащиеся в практической части.
Видео для усвоения материала:
https://infourok.ru/videouroki/1191
https://infourok.ru/videouroki/1192
https://infourok.ru/videouroki/1193

2.

Теоретическая часть:
Прочитать и понять.
Выделенное жирным шрифтом – выучить.

3.

4.

5.

6.

7.

8.

9.

Практическая часть.
English     Русский Правила