1.96M
Категория: ФизикаФизика

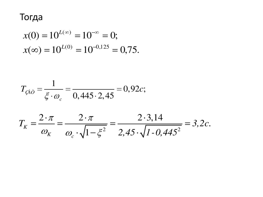
Параллельное соединение звеньев. Лабораторная работа №2

1.

Лабораторные
работы

2.

Лабораторная работа №2
Параллельное
соединение звеньев

3.

Цель работы
Выяснить причины возникновения перерегулирования
и колебаний в замкнутых системах автоматического
регулирования при ступенчатом входном воздействии.
Установить зависимости перерегулирования от
инерционности обратной связи.
English     Русский Правила