7.18M
Категория:
Математика
Похожие презентации:
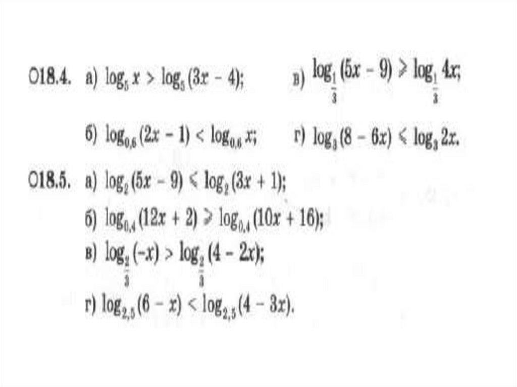
Логарифмические неравенства
Неравенства. Логарифмические неравенства
Логарифмические неравенства. Решение логарифмических неравенств
Логарифмические неравенства
Логарифмические неравенства
Логарифмические неравенства
Логарифмические неравенства
Логарифмические неравенства
Логарифмические неравенства
Логарифмические неравенства
Логарифмические неравенства
1.
Логарифмические
неравенства
2.
3.
4.
5.
6.
7.
8.
9.
10.
11.
12.
13.
14.
15.
Практическая работа
English
Русский
Правила