930.05K
Категория:
Математика
Похожие презентации:
Вычисления и преобразования
Вычисления и преобразования
Тригонометрия. Вычисление и преобразование выражений. Занятие – консультация (11 класс)
Задание 9: вычисления и преобразования
Приёмы письменных вычислений (3 класс)
Приёмы письменных вычислений (3 класс)
Анализ параллельных вычислений. Лекция 3
3 Преобразование случайных величин
Вычисления и преобразования. Значение выражений
Приёмы устных вычислений в пределах 1000. 3 класс
Вычисления и преобразования (занятие 3)
1.
ЕГЭ профиль
Задания 4
- Вычисления и преобразования
18.02.
2.
Задание 4
Вычисления и преобразования
-
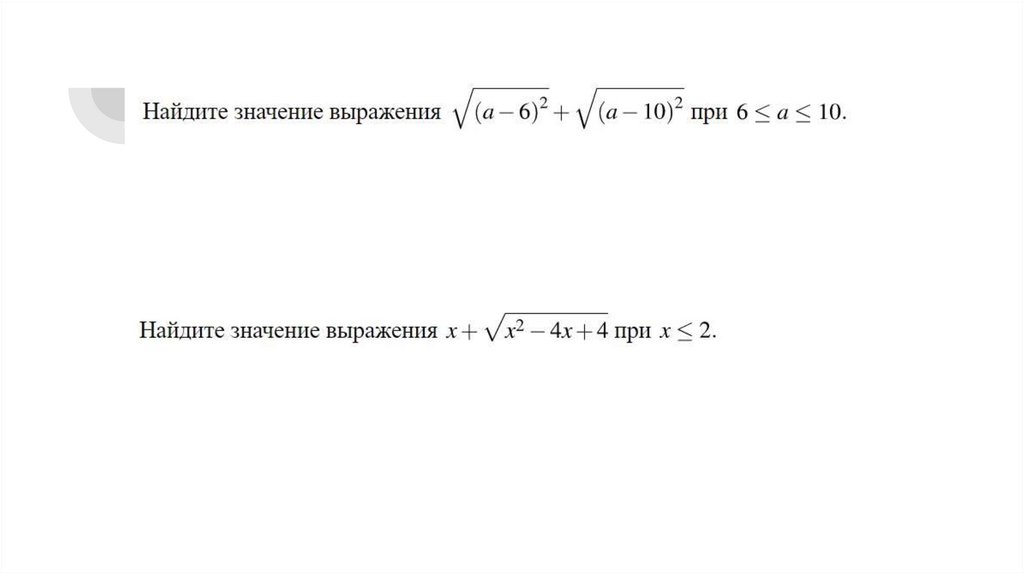
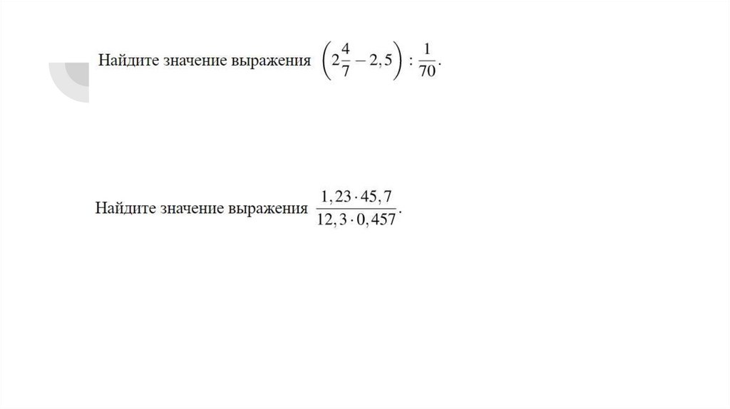
Обычные вычисления
Дроби
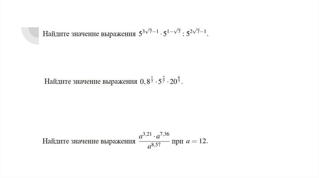
Степени и корни
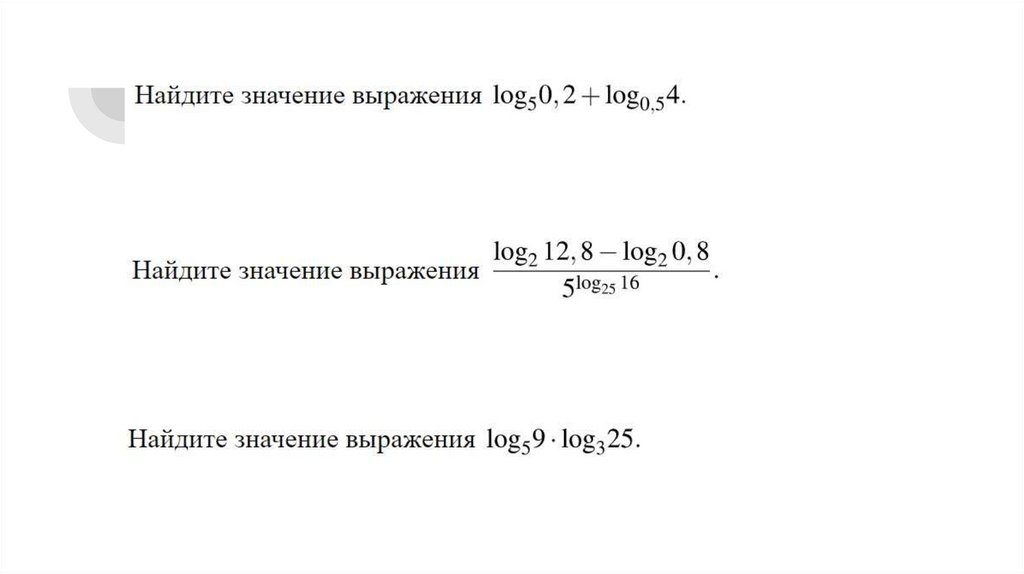
Логарифмы
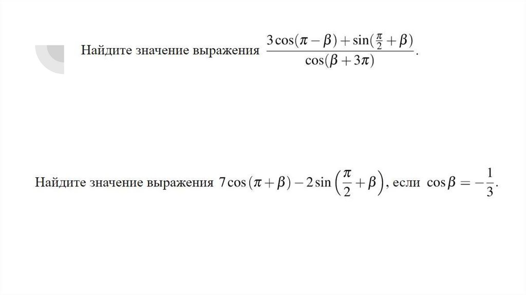
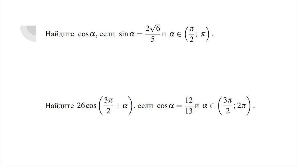
Тригонометрия
3.
4.
5.
6.
7.
8.
9.
Логарифмы
10.
11.
12.
13.
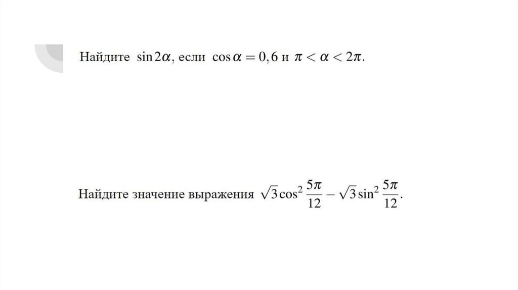
Тригонометрия
English
Русский
Правила