87.57K
Категория: ОбразованиеОбразование

Нешколоцентрические системы

1.

Нешколоцентрические системы (учебно-научно-производственное
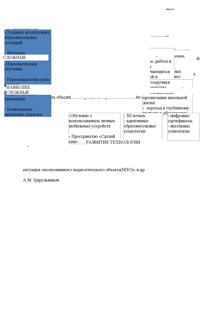
РАЗРЕШИМЫЕ
-Создание
аутентичных
углубленным
изучением отдельных предметов, средние школы с филиалами
образовательных
ситуаций
6-я модель. Социальный институт, включающий общеобразовательную
школу (модели
Среднесрочная
- Изучение
типа
завода-ВТУЗа,
базовые
школы
университетов,
производственных
объединений,
СЛОЖНЫЕ
●адекватность содержания, форм образовательной деятельности потребностям проживающей
сотрудничество, работа в
технологий в
-Персонализация
парах, группах
обучения
Сетевые формы самоорганизации образования (сети
образовательных
обучающихся
3-я модель. Сеть общеобразовательных школ (начальных, основных, средних), связанных
учреждений – сообщество «именных школ», «простое
изтоварищество»,
потребителей в траекторно- Переосмысление роли
сетевая организация образования в сельской местности, модульная
организация
Долгосрочная
учителя
НАИБОЛЕЕ
перспектива
СЛОЖНЫЕ
переосмысление
-Педагогические
сельская школа, организующая определенные виды деятельности
для городских школ и
образовательных
объединений
граждан;
«проектные
сети»
по
созданию
новых
сетей
организации
школьной
инновации
более 30 видов.
жизни
- переход к глубинному
- Комплексное
подходу в образовании
мышление педагога
-Обучение с
- 3D печать
- цифровые
использованием личных
- адаптивные
сертификаты
мобильных устройств
образовательные
- нательные
технологии
технологии
- Пространство «Сделай
сам»
РАЗВИТИЕ ТЕХНОЛОГИИ
образования
ситуация «неопознанного педагогического объекта(НПО)» и др.
А.М. Цирульников
English     Русский Правила