6.24M
Категория: ХимияХимия

Ароматические углеводороды

1.

2.

3.

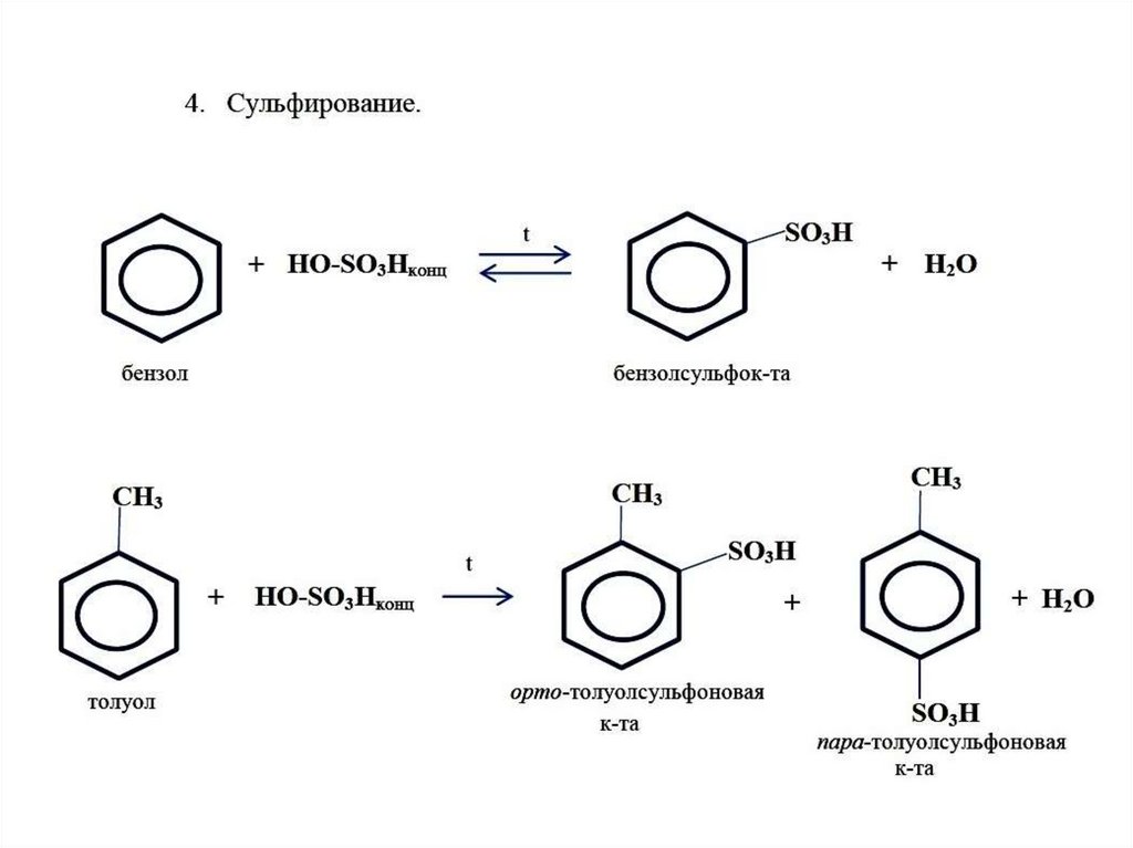
4.

5.

6.

7.

8.

9.

10.

11.

12.

13.

14.

15.

16.

17.

18.

19.

20.

21.

22.

23.

24.

25.

26.

27.

28.

29.

30.

31.

32.

33.

34.

35.

36.

37.

38.

39.

40.

41.

Вопросы для самоконтроля:
1.
2.
3.
4.
5.
6.
7.
8.
9.
10.
11.
12.
13.
Что такое ароматические углеводороды?
Общая формула аренов?
Строение молекулы бензола.
Формулы и названия основных ароматических соединений?
Примеры ароматических радикалов?
Изомерия и номенклатура гомологов бензола?
Физические свойства аренов?
Источники промышленного получения аренов? Что такое
каменноугольная смола? Что такое коксование? Что такое
кокс?
Что такое каталитический риформинг?
Что такое ориентанты I и II рода?
Качественные реакции на бензол?
Что такое ангидриды? Что такое галогенангидриды?
Что такое ацилирование?
English     Русский Правила