Урок физики. 10 класс
Термодинамика-
Внутренняя энергия.
Внутренняя энергия-
Внутренняя энергия тела зависит от
Внутренняя энергия идеального газа
Внутренняя энергия одноатомного идеального газа
Внутренняя энергия двухатомного идеального газа ( Н2, О2, N2…)
Изменить ВЭ можно за счет изменения температуры 
ВЭ реальных газов зависит от температуры и от объема
Изменение ВЭ газа при совершении работы А^' (Дж)- работа, совершаемая газом А (Дж)- работа, совершаемая над газом
Изменение ВЭ при совершении работы
Изменение ВЭ при совершении работы
А (Дж)- работа, совершаемая внешними силами над газом
Геометрический смысл работы Работа численно равна площади под графиком процесса на диаграмме (p, V).
Домашнее задание
3.75M
Категория: ФизикаФизика

Термодинамика

1. Урок физики. 10 класс

2. Термодинамика-

Термодинамикаэто раздел физики, изучающий тепловые свойства
макроскопических тел и систем тел, находящихся
в состоянии теплового равновесия, в которой не
учитывается молекулярное строение тел.
2

3. Внутренняя энергия.

4. Внутренняя энергия-

Внутренняя энергиясумма кинетической энергии теплового движения
всех молекул (атомов) и потенциальной энергии
их взаимодействия.
U
[ Дж]
4

5. Внутренняя энергия тела зависит от

• температуры
• агрегатного состояния вещества
• массы или объёма
5

6. Внутренняя энергия идеального газа

Внутренняя энергия идеального газа представляет собой только
кинетическую энергию теплового движения его частиц;
потенциальная энергия взаимодействия частиц равна нулю.
m
U N Eк
M
3
3m
3
N A 2 kT 2M RT 2 RT

7. Внутренняя энергия одноатомного идеального газа

3 m
U
RT (1)
2M
3
U RT
2
(2)
Внутренняя энергия идеального газа прямо пропорциональна его температуре,
и от объема не зависит.
7

8. Внутренняя энергия двухатомного идеального газа ( Н2, О2, N2…)

(3)
8

9. Изменить ВЭ можно за счет изменения температуры 

Изменить ВЭ можно за счет изменения
температуры
3 m
U
R T (4) - изменение ВЭ
2M
9

10. ВЭ реальных газов зависит от температуры и от объема

Согласно уравнению Менделеева-Клапейрона
m
pV
RT
M
3 m
U
RT
2M
3
U pV
2
(5)
3
U p V
2
(6)
10

11.

Работа в термодинамике.
11

12. Изменение ВЭ газа при совершении работы А^' (Дж)- работа, совершаемая газом А (Дж)- работа, совершаемая над газом

12

13. Изменение ВЭ при совершении работы

F
р
S
F= рS
13

14. Изменение ВЭ при совершении работы

A F h p s h p V
14

15.

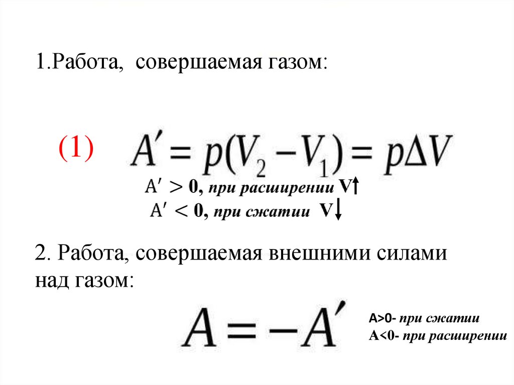
1.Работа, совершаемая газом:
(1)
2. Работа, совершаемая внешними силами
над газом:
А>0- при сжатии
А<0- при расширении
15

16. А (Дж)- работа, совершаемая внешними силами над газом

1
2
16

17.

17

18. Геометрический смысл работы Работа численно равна площади под графиком процесса на диаграмме (p, V).

(3)
18

19.

4
3
2
1
1
2
3
4
19

20.

4
3
2
1
1
2
3
4
20

21.

21

22.

22

23.

4
3
2
1
1
2
3
4
23

24. Домашнее задание

1) п.73,74 (учить формулы)
2) СР
по вариантам (как в КР)
1 вариант
2 вариант
3 вариант
4 вариант
стр.103-104
(п.8.10)
4
5
7
8
стр.104
(п.8.11)
4
3
2
1
стр.105
(п.8.11)
13
14
15
12
English     Русский Правила