Нахождение неопределенного интеграла
1.21M

Нахождение неопределенного интеграла

1. Нахождение неопределенного интеграла

Тема урока
Нахождение неопределенного интеграла
Цель обучения
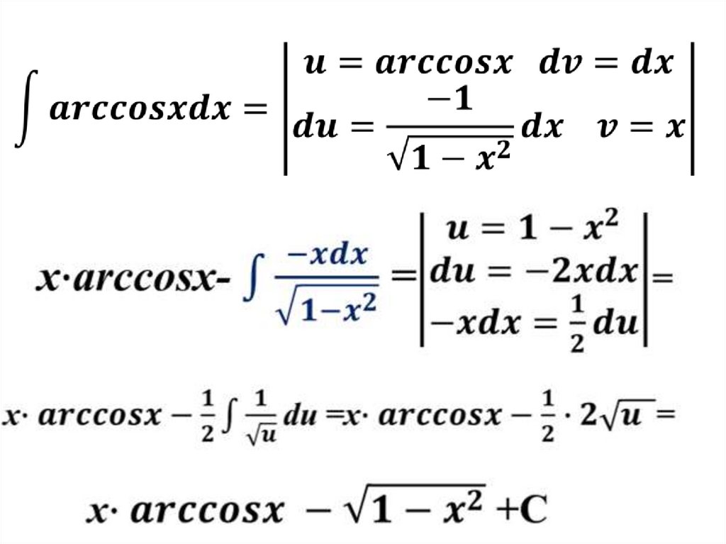
11.4.1.5 - находить интеграл,
используя метод интегрирования
по частям
Критерии оценивания
– определяет способ нахождения неопределенного
интеграла
– умеет находить неопределенный интеграл

2.

3.

4.

5.

6.

7.

Рефлексия
Было не понятно
Не
уверен в
себе
Все понятно
English     Русский Правила