Законы умножения. Распределительный закон умножения.
Повторим правила умножения обыкновенных дробей:
Умножьте обыкновенные дроби:
Умножьте обыкновенные дроби:
Повторим правила умножения обыкновенных дробей:
Выполните умножение:
Переместительный закон умножения
Работаем устно
Сочетательный закон умножения
Работаем в тетрадях:
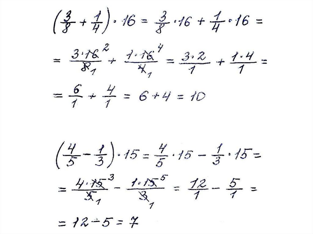
Распределительный закон умножения
Распределительный закон умножения
Работаем в тетрадях:
Работаем в тетрадях:
1.71M

Законы умножения. Распределительный закон умножения

1. Законы умножения. Распределительный закон умножения.

English     Русский Правила