41.71M
Категория: ХимияХимия

Липидлар алмашинуви биокимёси

1.

Тиббий ва биологик кимё кафедраси
Липидлар алмашинуви биокимёси
1.Одам тўқимаси асосий липидларининг тузилиши
ва вазифаси.
2.Ёғларнинг ҳазмланиши.
3.Одам организми учун ёғлар ресинтезининг
аҳамияти.
4.Хиломикронларнинг ҳосил бўлиши ва липидлар
транспорти.
5.Ёғ
тўқимасида
ёғларнинг
тўпланиши,
сарфланиши ва унинг бошқарилиши.
6. Холестерин биосинтези, метаболизми ва уни
бошқарилиши.
7.Фосфолипидлар синтези ва парчаланиши.
8.Гликолипидлар синтези ва парчаланиши.
9.Липидлар
алмашинуви
бузилишларининг
биокимёвий асослари: семириш, метаболик
синдром, атеросклероз, ўт тош касаллиги,
сфинголипидозлар.

2.

3.

4.

Ёғларнинг парчаланиши

5.

6.

Ўт кислоталари

7.

• Ўт кислоталарининг 2 тури тафовут этилади:
• -тоқ ўт кислоталари
• -жуфт ўт кислоталари

8.

• С23Н36(ОН)3-С-NН-СН2-СООН гликохолат
‫װ‬
О
• С23Н36(ОН)3-С-NH-CH2-CH2-SO3H
‫װ‬
О
• таурохолат

9.

Ўт кислоталарининг аҳамияти:
• - ёғларни эмульсиялайди
• -липазани фаоллайди
• -ёғ кислоталарнинг сўрилишида иштирок
этади

10.

11.

Ичак деворида ёғларнинг ресинтези
• R-COOH + АТФ +HS-КоА →R-COS-KoA + АМФ
+Н4Р2О7
• Глицерин + АТФ → глицерол-3-фосфат +АДФ
• глицерол-3-фосфат +2 R-COS-KoA →
фосфатид кислота + 2HS-КоА
• фосфатид кислота → диглицерид +Фн
• Диглицерид + R-COS-KoA → триглицерид +
HS-КоА

12.

13.

14.

15.

16.

17.

Липопротеидлар таркиби
Кўрсаткичлар
Зичлиги (г/л)
Мол,мас.
(млн.далтон)
Диаметри (нм)
Оқсил %
Фосфолипидлар%
Эркин холестерин %
Холестерин
эфирлари%
Триглицеридлар %
Хиломик ЗЖПЛ ЗПЛ
-ронлар
0.93
0.97 1.035
500
20
2.5
120
2
3
2
3
90
30-100 21-25
10
22
18
21
7
7
15
40
55
7
ЗЮЛ
1.13
0.25
7915
50
27
5
20
3

18.

19.

20.

21.

Ёғ заҳиралари сақланади:
Тери ости ёғ қабати, чарви, буйрак атрофи ва
бошқаларда.
Вазифалари: энергия манбаи, аъзоларни ташқи
таъсирлардан ҳимоя қилади, тана ҳароратини бир
меёрда ушлаб туришда, сув алмашинувида қатнашади.
100 гр ёғ оксидланганда 107,1 мл сув ҳосил бўлади
Ёғ тўқимаси липазалари:
-триглицеридлипаза
-диглицеридлипаза
-моноглицеридлипаза

22.

• Северин, стр.394, рис.8-22

23.

24.


Гормон
Бирламчи акцептор
Ноактив
аденилатциклаза
Модификацияланган бирламчи акцептор
Актив аденилатциклаза
АТФ
ЦАМФ
Ноактив
протеинкиназа
Ноактив липаза
Актив протеинкиназа
Актив липаза
ТГ
ДГ + ЁК
МГ + ЁК
ГЛ + ЁК
. «Липолитик каскад» (Стайнберг буйича).

25.

• Ёғ тўқималарида липолиздан ташқари
қуйидаги жараёнлар кечади: гликолиз,
глюкозанинг пентозфосфат йўли билан
оксидланиши, Кребс цикли, ёғ кислоталар
β-оксидланиши, ёғ кислоталар синтези,
триглицеридлар ҳосил бўлиши ва
мобилизацияси.

26.

• Адипоцитлар мембранасида 2 турдаги
рецепторлар мавжуд: катехоламинлар ва
инсулин.
Қуйидаги омиллар таъсирида липолиз
кучаяди:
• Глюкагон, тироксин, глюкокортикоидлар,
СТГ, АКТГ, стресс, физик иш, очлик, совуқ
қотиш.
Липолизни пасайтирувчи омиллар:
• Простагландинлар, никотин кислота

27.

• Северин стр.401, рис.8-26

28.

• Ёғ кислоталарини β-оксидланиши

29.

АТФ миқдорини ҳисоблаш
• (n/2-1) · 5 +
n/2 · 12
• Пальмитин
кислотасининг тўлиқ
оксидланишида АТФ
синтези
Β-оксидланиш
АТ
Ф
7 НАД.Н – ЦПЭ (3
молекула АТФ)
21
7 ФАД.Н2 – ЦПЭ
(2 молекула АТФ) 14
8 ацетил-КоА –
УКЦ (12 молекул
96
АТФ)
131
Йиғиндиси

30.

• а) тоқ углерод атомига эга бўлган ёғ кислоталаридан
ПРОПИОНИЛ-КоА ҳосил бўлади, у кейин сукцинил-КоАга
айланади:

31.

• б) Тўйинмаган ёғ кислоталарининг
оксидланиши – енолаза таъсир этадиган
босқичда қўшбоғ ўз жойида турса,
оксидланиш тўйинган ёғ кислоталарининг
оксидланиши билан бир хил боради.
Агарда қўшбоғ транс ҳолатда ва D2,3 жойда
жойлашган бўлса, D 3,4-цис-D 2,3-трансеноил-КоА-изомераза ферменти таъсир
этади, у қўш боғнинг жойини ва унинг
конфигурациясини ўзгартиради.

32.

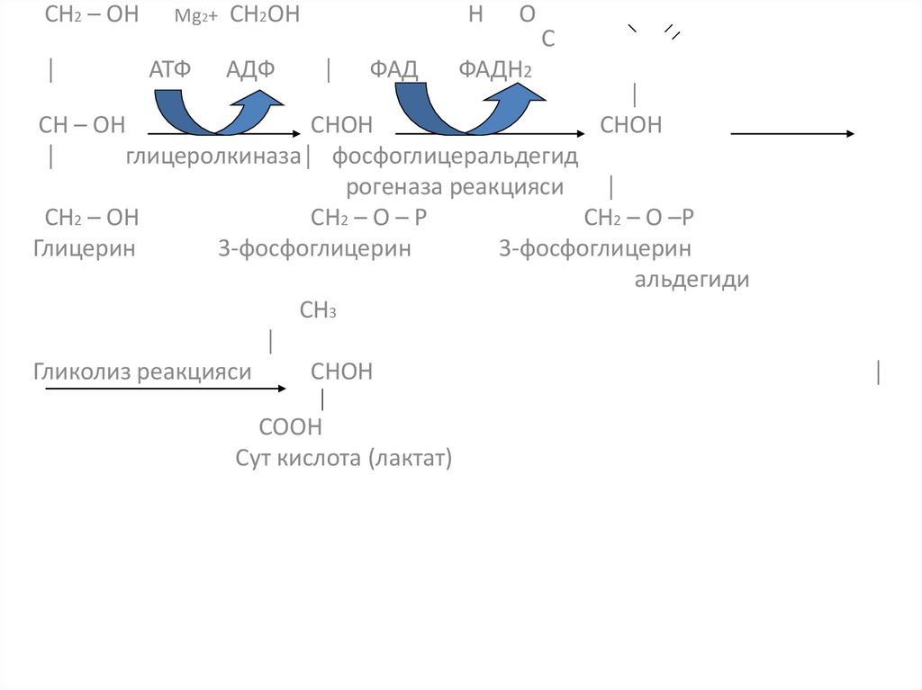
СН2 – ОН

Mg2+ СН2ОН
АТФ
АДФ
Н

ФАД
О
ФАДН2
С

СНОН
CH – OH
СНОН

глицеролкиназа│ фосфоглицеральдегид
рогеназа реакцияси

СН2 – ОН
СН2 – О – Р
СН2 – О –Р
Глицерин
3-фосфоглицерин
3-фосфоглицерин
альдегиди
СН3

Гликолиз реакцияси
СНОН
СООН
Сут кислота (лактат)

33.

Ёғ кислоталари биосинтези
• Асосан ёғ тўқималари, сут безлари ва
жигарда содир бўлади.

34.

Оксидланишдан фарқли ёғ
кислоталар синтези:
• Эндоплазматик тўрда кечади
• Синтез манбаи бўлиб малонил-КоА
ҳисобланади
• Оралиқ махсулотларни қайтарилиши учун
НАДФН2 зарур
• Ацетил-КоА томизғи сифатида ишлатилади
• Ёғ кислоталар синтезининг барча босқичлари
циклик кечиб, пальмитатсинтетаза юзасида
боради

35.

АТО-ацил ташувчи оқсил
Пальмитатсинтетаза марказида жойлашган
бўлиб, иккита SН-гуруҳини тутади:
1. Марказий - 4-фосфопантотенатдан ҳосил
бўлган ва малонил-КоАни бириктириш
хусусиятига эга
2. Периферик – цистеиннинг қолдиғидан
ҳосил бўлган ва ацетил-КоАни
бириктириш хусусиятига эга

36.

• Пальмитатсинтетаза фермент
комплексига АТО ва 6 фермент киради.
• 1. ацетилтрансацилаза
• 2. малонилтрансацилаза
• 3. бета-кетоацилсинтетаза
• 4. бета-кетоацилредуктаза
• 5. гидроксиацилгидратаза
• 6. еноилредуктаза

37.

Ёғ кислоталар биосинтези 3
босқичда содир бўлади:
• 1.Митохондриядан цитозолга ацетилКоАнинг ўтказилиши.
• 2.Ацетил-КоАнинг карбоксилланиб
малонил-КоАга айланиши
• 3.Ацетил-АТО ва малонил-АТОнинг ҳосил
бўлиши, конденсацияланиши, қайтарилиши
ҳамда пальмитин кислотанинг ҳосил
бўлиши.

38.

Ацетил-КоАнинг митохондриядан
цитозолга ўтказилиши

39.

Малонил-КоАнинг ҳосил бўлиши
• Ацетил-КоА карбоксилазанинг коферменти
– биотин.
• Биотин-фермент + СО2 + АТФ →
карбоксибиотинфермент + АДФ + Фн
• Карбоксибиотинфермент + ацетил-КоА →
малонил-КоА + биотинфермент

40.

Ацетил-АТО ва малонил-АТО ҳосил
бўлиши
• Ацетил-КоА + АТО →ацетил-АТО + КоАSH
• ацетилтрансацилаза
• Малонил-КоА + АТО → малонил-АТО +
КоАSH
• малонилтрансацилаза

41.

42.

Ёғ кислоталар биосинтези
НООС-СН2-CО-S-АТО + СН3-CО-S-АТО →
СН3-CО-СН2-CО-S-АПБ + СO2
(ацетоацетил-S-АПБ)
• Фермент: бета-кетоацилсинтетаза

43.

• ↓ + NADPH, - NADP
СН3-CH(ОH)-СН2-CО-S-АТО
• (3-гидроксибутирил-АТО)
↓ -Н2О
СН3-CH=СН-CО-S-АПБ (кротонил-АТО)
¯ ↓ + NADPH, - NADP
• СН3-CH2-СН2-CО-S-АПБ (бутирил-АТО)

44.

45.

Ёғ кислоталар синтезининг
бошқарилиши
• Ацетил-КоА-карбоксилаза ферменти
бошқарилувчи ферментдир.
• АТФнинг юқори концентрацияси ИЦДГни
ингибирлайди, бу эса цитратни тўпланишига
олиб келади. Цитрат ёғ кислоталар
синтезининг активатори, пальмитин-КоА –
ингибитори ҳисобланади.
• НАДФН2нинг юқори концентрацияси ёғ
кислоталар синтезини фаоллаштиради,
глюкозани ПФЦда оксидланишини
ингибирлайди.

46.

47.

• Ёғ кислоталаридаги углерод атомлари
сонининг узайиши митохондрия (ацетилКоА ҳисобига) ва микросомаларда
(малонил-КоА ҳисобига) боради.

48.

49.

50.

Холестериннинг организмдаги
аҳамияти
-холестерин биомембраналар таркибига
киради;
-ундан ўт кислоталари синтезланади;
- ундан стероид гормонлар синтезланади;
-ундан витамин D синтезланади.

51.

• Северин стр.441 рис.8-65

52.

Холестерин синтезининг асосий
босқичлари
• 1.Ацетил-КоА → мевалон кислота
• 2.Мевалон кислота → сквален
• 3.Сквален → ланостерин
• 4.Ланостерин → холестерин

53.

• Табл.72, раздаточный материал

54.

Холестерин синтезининг
бошқарилиши
• ГМГ-КоА редуктаза ферменти орқали
бошқарилади. Унинг синтезида суткалик
ўзгаришлар кузатилган:
• Ярим кечаси эрталабки соатларга нисбатан кўпроқ
синтезланади.
• Инсулин ва тиреоид гормонлар таъсирида ГМГКоА редуктаза фаоллиги ортади.
• Очликда, тиреоидэктомияда, глюкагон ва
глюкокортикоидлар киритилганда ГМГ-КоА
редуктаза фаоллиги пасаяди.

55.

56.

57.

Тўқималарда холестерин баланси
Ортади:
1. Холестерол тутувчи ЛП специфик
рецепторлар билан ютилиши
2. Холестерол тутувчи ЛП рецепторларсиз
ютилиши
3. Эркин холестеринни хужайра
мембраналари томонидан ютилиши
4. Холестерин синтези
5. Холестерин гидролизи

58.

• Камайиши:
1. Холестеринни мембраналардан ЗЮЛП га
ўтиши
2. Холестерин этерификация
3. Холестеринни гормонлар, ўт кислоталар
ва витамин Д синтезида ишлатилиши.

59.

• Северин стр.447, рис.8-70

60.

Гиперхолестеринемия турлари:
1.Бирламчи – идиопатик ёки оилавий
2.Иккиламчи – орттирилган ёки экзоген

61.

Атеросклероз
Назариялар:
1.А.А.Аничковнинг инфильтрацион назарияси.
2.А.А.Мясниковнинг нерв-метаболик назарияси
3.И.В.Давыдовскийнинг геронтологик назарияси.
4.Климов, Блюменталь аутоиммун назарияси
5.A.Szceklik липидлар пероксидланиш жараёнининг
ортиши билан боғлик бўлган гипотезаси
6.French инкрустицион назарияси
7.Микроэлементларнинг роли
8.Азот оксидининг роли
9.Инфекциялар роли ва бошқалар

62.

• Северин стр. 455, рис.8-76

63.

ЛП алмашинуви бузилишини бартараф
этувчи асосий қоидалар:
• 1.10%га қабул қилинаётган ёғларни камайтириш
• 2.тўйинган ёғ кислоталар истеъмолини камайтириш
• 3.тўйинмаган ёғ кислоталарга бой овқатларни истеъмол
қилиш
• 4.клетчаткани кўпрок истеъмол қилиш
• 5.маргарин, қўй ва мол ёғларни ўсимлик мойларига
алмаштириш
• 6.холестерин кўп сақлайдиган маҳсулотларни камроқ
истеъмол қилиш
• 7.овқат таркибидаги туз миқдорини камайтириш

64.

65.

Атеросклероз ривожланишига олиб
келадиган омиллар:
• 1.Аниқ омиллар
• -дислипопротеинемия, гиперхолестеринемия,
гипертриглицеридемия, гипо-альфалипопротеинемия, артериал гипертония, чекиш
• 2.Эҳтимолли омиллар
• -қандли диабет, эмоционал стресс, ирсий
омиллар
• 3.Мумкин бўлган омиллар
• -семизлик, гиподинамия

66.

Организмдан холестеролнинг чиқарилиши
• Холестеролнинг
структур
асоси

циклопентанпергидрофенантрен ҳалқаси — овқат
таркибида қабул қилинган ёки организмда синтезланган
бошқа органик моддалар каби С02ва сувгача
парчаланмайди. Шунинг учун холестеролнинг асосий
миқдори ўт кислоталари шаклида чиқарилади.
• Ўт кислоталарининг бир қисми ўзгармаган ҳолатда
чиқарилади, маълум қисми эса ичакда бактериялар
ферментларининг
таъсирига
учрайди.
Уларнинг
парчаланиш маҳсулотлари (асосан иккиламчи ўт
кислоталар) организмдан чиқарилади.

67.

ФОСФОЛИПИДЛАР СИНТЕЗИ ВА
ПАРЧАЛАНИШИ
• Фосфолипидлар энергетик аҳамиятга эга эмас.
• Ҳужайра мембраналарининг қурилиши ва
функциясини бажаришда, мембрана ва
лизосомал ферментлар фаоллигида, нерв
импульсларини ўтказишда, қон ивишида,
иммунологик реакцияларда, хужайра
пролиферацияси ва тўқима регенерацияси, нафас
занжирида электронларни ташишда рол ўйнайди.
Липопротеид комплексларнинг шаклланишида
алоҳида ўрин тутади.

68.

69.

• Фосфолипидлар синтези жигар, ичак
девори, жинсий безлар, сут бези ва бошқа
тўқималарда содир бўлади.
• Улар биосинтезида марказий ўринни
эгаллайдилар:
• 1,2-диглицерид, фосфатид кислота ва
сфингозин.

70.

Фосфолипидлар биосинтези

71.

72.

• ФЛ липид ташувчи цитоплазматик оқсиллар
иштирокида мембраналарга ташилади ва
киритилади
• Липотроп омиллар:
холин, ЦТФ, серин, инозит,
пиридоксальфосфат, фолат кислота,
метионин

73.

• Глицерофосфолипидлар катаболизми
• Хужайра мембранасида ёки лизосомаларда жойлашган
турли
фосфолипазалар
глицерофосфолипидлар
гидролизини катализлайди. Фофолипзалар таъсирида
баъзи глицерофосфолипидлар гидролизи на фақат
катаболизм йўли учун аҳамиятга эга, у биологик фаол
моддалар – эйказаноидлар синтезида оралиқ моддалар
ёки ўтмишдошларнинг ҳосил бўлиш йўлидир. Бундан
ташқари фосфолипаза А1 ва А2 глицерофосфолипидларда
ёғ кислоталар таркибини ўзгартиришда қатнашадилар,
мисол учун эмбрионал ривожланиш даврида сурфактант
таркибий
қисми
дипальмитоилфосфатидилхолин
синтезида.

74.

75.

76.

Сфингомиелин катаболизми

77.

СЕМИЗЛИК
Оргaнизмдa ёғлaрнинг мeъёридaн кўп тўплaниши кузaтилсa, сeмизлик дeб
номлaнaди вa бу қуйидaги ҳолaтлaрдa кузaтилaди:
-aлимeнтaр фaктор: истeъмол қилингaн овқaтнинг кaлориясигa нисбaтaн
сaрфлaнaётгaн энeргия тeнглиги бузилгaн ҳолдa. Нaтижaдa ёғлaр тўплaниб,
сeмизлик вужудгa кeлaди;
-гипотaлaмус шикaстлaнгaндa: мaълумки ёғлaр aлмaшинуви гормонaл
бошқaрувгa эгa вa гипотaлaмус шикaстлaнгaндa иштaҳa мaркaзи бошқaриши
бузилиб очофaтлик ҳолaтлaри кузaтилaди, кўп овқaт истeъмол қилиш
сeмиришгa сaбaб бўлaди;
- ирсий сeмизлик; мaълумки отa-онa сeмизликкa мойил бўлсa, гeнeтик
axборотгa кўрa фaрзaндлaри ҳaм мойил бўлaди. Бу ирсий axборот доминaнт
xусусиятигa эгa;
- мeъёридaн кўп углeводлaр истeъмол қилиш энeргия мaнбaи сифaтидa aсосaн
углeводлaр сaрфлaниб, ёғлaр зaҳирaси ортaди. Шу билaн биргa углeводлaр
истeъмол қилиш доимо инсулин ишлaб чиқaришгa мaжбур қилaди вa бу
гормон ёғлaрнинг зaҳирaдa тўплaнишигa сaбaбчи бўлaди.

78.

• Ўт тош касаллиги — патологик жараён,
бунда ўт пуфагида тошлар ҳосил бўлади,
уларнинг асосини холестерол ташкил этади.
• Холестеролнинг
ўтга
чиқарилиши
холестерол гидрофоб молекуласини ўтда
мицелла ҳолатида сақлаб турувчи ўт
кислоталари
ва
фосфолипидлар
чиқарилиши билан пропорционал бўлиши
керак

79.

Ўт таркиби
Ўт таркиби
Миқдори, ммоль/л
Ўт кислоталари
310
Фосфатидилхолин
8
Холестерол
25
Ўт пигментлари
3,2

80.

Сфинголипидозлар
• Гликосфинголипид, сульфатид ва
сфингомиелинлар специфик гидролазаларидан
бирининг фаоллиги пасайган ёки бўлмаган
ҳолларда уларнинг нерв тўқималарида тўпланиши
кузатилади. Бу эса нерв системаси функциясининг
бузилишига олиб келади. Ҳаётининг биринчи
ойларида гўдакларнинг ўлимига сабаб бўлади.
• Катталарда Ниман-Пик касаллигида
сфингомиелин асосан жигар ва талоқда
тўпланади.

81.

Метаболик синдром
• Метаболик синдром ҳаёт тарзи ва генетик омиллар
натижасида ривожланади. Бугунги кунда эпидемия
сифатида
эътироф
этиладиган
МСни
келтириб
чиқарадиган асосий сабаблардан бири - жисмоний
фаолликнинг
пасайиши
ва
юқори
углеводли
овқатланишдир.
• Ҳозирда, метаболик бузилишнинг дастлабки сабаби
ҳақида
ягона
тўхтамга
келинмаган.
Наслий
инсулинрезистентлик ва ёғ босишига мойиллик жисмоний
фаолликнинг пастлиги ва меъёридан кўп овқатланиш
билан бирга метаболик синдром ривожланиш хавфини
белгилайди.
English     Русский Правила