189.58K
Категория: МатематикаМатематика

Действия с рациональными числами. Индийские математики в древности

1.

21.05
«Действия с рациональными
числами».

2.

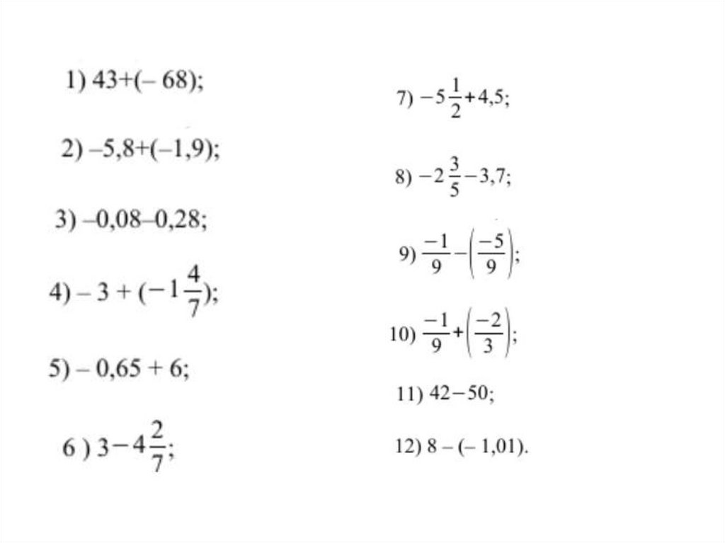
На слайде выписаны несколько выражений.
Разделить данные выражения на две группы так, чтобы в первой
группе оказались выражения, читающиеся как сумма, а во второй
– как разность (в тетрадь записать номера примеров в два
столбика).

3.

Индийские математики в древности
трактовали положительные числа как
«имущество», а отрицательные числа – как
«долги». Вот как в рукописях
излагались знакомые нам правила сложения и
вычитания: «Сумма двух имуществ есть
имущество», «Сумма двух долгов есть долг»,
«Сумма имущества и долга равна их
разности».
English     Русский Правила