Lecture overview
4.13M
Категория: МатематикаМатематика

Integrals. Lecture 6

1.

Calculus 1
Lecture 6
Integrals
Aigul Myrzagaliyeva
aigul.myrzagalieva@astanait.edu.kz
Astana IT University
Slide 5 - 1

2. Lecture overview

Antiderivatives
• Indefinite integrals
• Basic Integration Formulas
• Integration by part
Slide 5 - 2

3.

Slide 5 - 3

4.

Slide 5 - 4

5.

Slide 5 - 5

6.

Slide 5 - 6

7.

Slide 5 - 7

8.

Slide 5 - 8

9.

Slide 5 - 9

10.

Slide 5 - 10

11.

Slide 5 - 11

12.

Slide 5 - 12

13.

Slide 5 - 13

14.

Slide 5 - 14

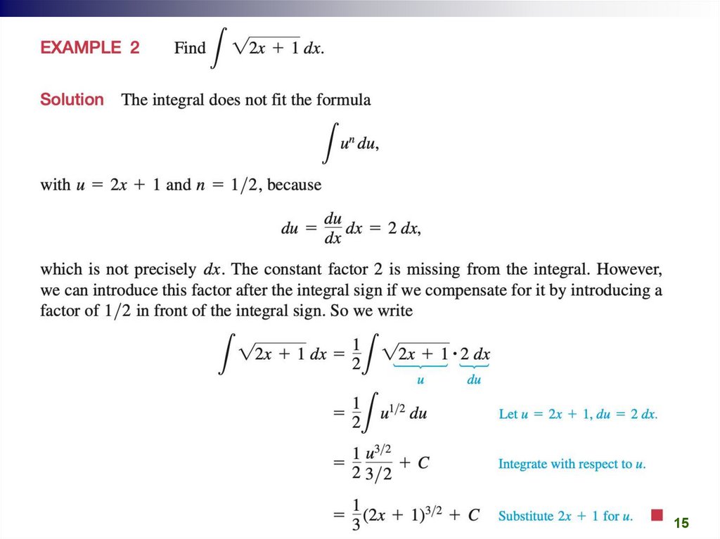
15.

Slide 5 - 15

16.

Slide 5 - 16

17.

Slide 5 - 17

18.

Slide 5 - 18

19.

Slide 5 - 19

20.

Slide 5 - 20

21.

Slide 5 - 21

22.

Slide 5 - 22

23.

Slide 5 - 23

24.

Slide 5 - 24

25.

Slide 5 - 25

26.

Slide 5 - 26

27.

Slide 5 - 27

28.

Slide 5 - 28

29.

Slide 5 - 29

30.

Slide 5 - 30
English     Русский Правила