Для розрахунку фізичних величин використовують наступні формули.
3.51M
Категория: ФизикаФизика

Період піврозпаду радіонукліда. Розв'язування задач (9 клас)

1.

2. Для розрахунку фізичних величин використовують наступні формули.

N початкова кількість атомів, N- кількість атомів
0–
через час t

3.

4.

5.

6.

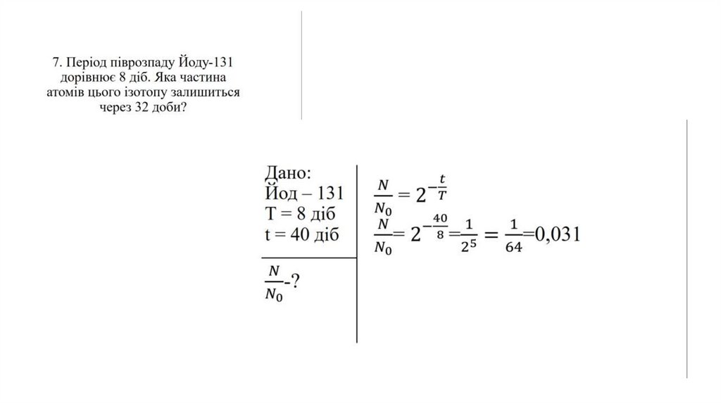
7.

8.

Домашнє завдання:
1. Дві різні речовини містять однакове число N радіоактивних атомів.
Період напіврозпаду першої з них 1 рік, другої — 4 роки. Яка з речовин
більш активна?
2. Існує певна кількість радіоактивного ізотопу срібла. Маса радіоактивного
срібла зменшилася у 8 разів за 810 діб. Визначте період напіврозпаду
радіоактивного срібла
English     Русский Правила