ЛЕКЦИЯ
ПЛАН ЛЕКЦИИ
Нуклеиновые (азо́тистые) основания — гетероциклические азотсодержащие биоорганические соединения, производные пурина и
Нуклеозиды – N гликозиды, состоящие из азотистого основания и пентозы, связанных между собой ꞵ N гликозидной связью (гидролиз в
Номенклатура нуклеозидов
Нуклеотиды – фосфорные эфиры нуклеозидов фосфорная кислота + рибоза + нуклеиновое основание
В нуклеотидах может содержаться несколько остатков фосфорной кислоты связанных ангидридной связью (макроэргическая)
Фосфорная кислота в нуклеотиде может соединяться с пентозой двумя связями с образованием циклических нуклеотидов
Нуклеотиды способны соединяться через фосфорную кислоту и гидрооксильные группы пентозы в ди-, олиго- и полинуклеотиды (РНК,
У нуклеотидов существуют производные (содержат серную, глюкуроновую кислоту)
Полинуклеотиды в основном образуют сложные надмолекулярные структуры с белками:
Хроматин – надмолекулярный комплекс: ДНК (30-40%), гистоновые (30-50%), негистоновые (4-33%) белки, РНК
Номенклатура нуклеотидов
Пиримидины
Биологическое значение
1. Образование 5-фосфорибозил-1-дифосфата
2. Синтез инозин-5'-монофосфат (ИМФ)
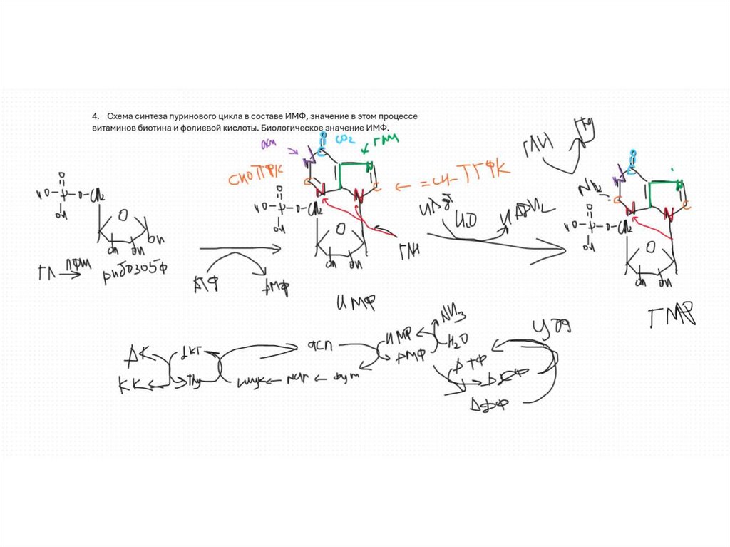
Синтез пуринового цикла
Регуляция синтеза пуриновых нуклеотидов
“ЗАПАСНЫЕ” ПУТИ СИНТЕЗА ПУРИНОВЫХ НУКЛЕОТИДОВ (РЕУТИЛИЗАЦИЯ АЗОТИСТЫХ ОСНОВАНИЙ И НУКЛЕОЗИДОВ)
Катаболизм пуриновых нуклеотидов
Мочевая кислота
Повышение мочевой кислоты в сыворотке крови - гиперурикемия
ПОДАГРА
Факторы риска
Антиподагрические средства
Гении-подагрики
БИОСИНТЕЗ ПИРИМИДИНОВЫХ НУКЛЕОТИДОВ
Катабализм пиримидиновых нуклеотидов
Спасибо за внимание!
2.79M
Категория: ХимияХимия

Обмен нуклеотидов. Лекция

1. ЛЕКЦИЯ

ФГБОУ ВО УГМУ Минздрава России
Кафедра биохимии
Дисциплина: Биохимия
ЛЕКЦИЯ
Обмен нуклеотидов
Лектор: Гаврилов И.В.
специальность 31.05.01 Лечебное дело,
Курс: 2
Екатеринбург, 2025г

2. ПЛАН ЛЕКЦИИ

• Понятие нуклеиновые основания,
нуклеозиды, нуклеотиды (классификация
и номенклатура НК).
• Свойства и биологическое значение НК.
• Обмен НК (переваривание, всасывание,
анаболизм катаболизм). Регуляция.
• Нарушение обмена НК.
• Диагностика нарушений обмена АК.

3. Нуклеиновые (азо́тистые) основания — гетероциклические азотсодержащие биоорганические соединения, производные пурина и

пиримидина.
NH2
Пурин - бесцветные
кристаллы, хорошо
растворимые в воде,
температура
плавления +214С.
O
N
N
N
ПУРИНЫ:
Аденин
Пиримидин бесцветные
кристаллы,
температура
плавления +21С
ПИРИМИДИНЫ:
H3N
N
H
N
N
H
Гуанин
O
O
N
HN
NH 2
H3C
NH
N
H
NH
O
N
H
Тимин
Урацил
Только в ДНК
Только в РНК
N
O
N
H
Цитозин
O

4. Нуклеозиды – N гликозиды, состоящие из азотистого основания и пентозы, связанных между собой ꞵ N гликозидной связью (гидролиз в

кислой среде)
NH 2
O
N
NH
CH 2OH
O
CH 2OH
1’ ꞵ
H
H
O
N
H
N
O
H
H
H
H
OH
N
N
1’ ꞵ
H
OH
OH
OH
Уридин
У производных пиримидина – идин
Аденозин
у пурина - озин

5.

O
O
H3C
N
CH 2OH
H
N
N
O
H
OH
NH 2
CH 2OH
1’ ꞵ
H
H
NH
NH
H
2’-Дезоксигуанозин
H
N
O
1’ ꞵ
H
H
H
OH
O
H
Тимидин

6. Номенклатура нуклеозидов

Азотистое
основание
Нуклеозид
рибозой
с Нуклеозид
с дезоксирибозой
урацил
уридин
дезоксиуридин
цитозин
цитозин
дезоксицитозин
тимин
Тимидин
аденин
Тимидин
рибозид
аденозин
гуанин
гуанозин
дезоксигуанозин
гипоксантин
инозин
дезоксиинозин
дезоксиаденозин

7. Нуклеотиды – фосфорные эфиры нуклеозидов фосфорная кислота + рибоза + нуклеиновое основание

Сложноэфирная связь
Гидролиз в кислой и щелочной среде
NH 2
NH 2
N
N
5’
5’
CH 2OPO3H2
CH 2OPO3H2
N
O
H
1’ ꞵ
H
H
H
OH
OH
ЦМФ
Цитидинмонофосфат
Цитидин-5’-ф
N
N
O
O
H
N
1’ ꞵ
H
H
H
OH
OH
АМФ
Аденозинмонофосфат
Аденозин-5’-ф
Адениловая кислота

8. В нуклеотидах может содержаться несколько остатков фосфорной кислоты связанных ангидридной связью (макроэргическая)

NH
2
O
HO
P
OH
O
O
O
P
O
OH
P
N
OH
N
O
CH 2
Сложноэфирная связь
Гидролиз в кислой и щелочной среде
N
O
H
H
H
H
OH
АТФ
Аденозинтрифосфат
OH
N

9. Фосфорная кислота в нуклеотиде может соединяться с пентозой двумя связями с образованием циклических нуклеотидов

NH 2
N
O
CH 2
H
N
O
H
H
O
P
OH
H
O
OH
ц-3’, 5’-АМФ
цАМФ
N
N

10. Нуклеотиды способны соединяться через фосфорную кислоту и гидрооксильные группы пентозы в ди-, олиго- и полинуклеотиды (РНК,

ДНК)
CONH 2
NH 2
O
O
HO
N
P
O
H
P
O
CH 2
CH 2
H
H
OH
N
OH
O
H
H
OH
O
N
O
H
H
H
OH
OH
НАД+
Никотинамидадениндинуклеотид
N
N

11. У нуклеотидов существуют производные (содержат серную, глюкуроновую кислоту)

O
O
O
COOH
O
H
OH
O
P
H
OH
OH
H
OH
O
P
OH
NH
O
CH 2
N
O
H
H
H
H
OH
УДФ-глюкуроновая кислота
OH
O

12.

O
OH
NH 2
HO
S
O
P
O
N
O
N
O
CH 2
N
O
H
N
H
H
H
OPO3H2
OH
ФАФС
3’-Фосфоаденозил-5’-фосфосульфат

13. Полинуклеотиды в основном образуют сложные надмолекулярные структуры с белками:

Рибосома
состоит из:
2 субъединиц,
4 молекул РНК
(18S, 5,8S, 28S, 5S)
РНК / белок = 1:1
http://moikompas.ru/img/compas/2008-03-03/life_of_a_cell/98878044_orig.jpg

14. Хроматин – надмолекулярный комплекс: ДНК (30-40%), гистоновые (30-50%), негистоновые (4-33%) белки, РНК

Структурная единица хроматина – нуклеосома:
1. "кор"-частица - образованна ДНК (146 нуклеотидных пар) и
октамером из 4 гистонов (Н2А, Н2В, НЗ и Н4 - по две молекулы
каждого)
2. линкерная ДНК переменной длины (0-80 нуклеотидных пар),
связанной с гистоном H1.
http://cmgm.stanford.edu/biochem/biochem201/Slides/Chromatin%20Structure/Nucleosome%20x-ray%20struct.JPG

15.

16. Номенклатура нуклеотидов

Пурины
Азот.
основа
ние
нуклео
зид
нуклеотид
обозначе
ние
код
Аденин
Аденозин
Аденозин
монофосфат
АМФ
A
Гуанин
Гуанозин
Гуанозин
монофосфат
ГМФ
G

17. Пиримидины

Азот.
основа
ние
нуклео
зид
Цитозин цитидин
нуклео
тид
обозначен
ие
код
цитидинмоно
фосфат
ЦМФ
C
Урацил
уридин
Уридинмо
нофосфат
УМФ
U
Тимин
тимидин
Тимидин
монофосфат
ТМФ
T

18. Биологическое значение

Нуклеиновые основания и нуклеозиды –
структурные компоненты нуклеотидов
Мононуклеотиды:
1. Структурные компоненты ди- (НАД, ФАД),
полинуклеотидов (ДНК, РНК)
2. Источник энергии (АТФ)
3. Источник фосфорной кислоты (АТФ)
4. Источник аденозина (АТФ)
5. Регуляторная функция: мессенджеры (цАМФ, цГМФ),
модуляторы (АМФ, АДФ, АТФ)
6. Источник серной кислоты (ФАФС)
7. Активные формы галактозы, глюкозы, глюкуроновой
кислоты (для синтеза ди, олиго, полисахаридов,
обезвреживания ксенобиотиков и токсичных
метаболитов)

19.

Динуклеотиды:
1. НАДН+ / НАДН2, ФАД / ФАДН2 окислительновосстановительные реакции, синтез АТФ,
биологически активных веществ.
2. НАДФ+ / НАДФН2 синтез липидов (жирных
кислот), монооксигеназные реакции
(обезвреживание ксенобиотиков, токсичных
метаболитов), антиокисидантная защита
3. Коэнзим А (активная форма карбоновых
кислот)
Н

20.

Полинуклеотиды:
1. ДНК хранение и передача наследственной
информации.
2. РНК (мРНК, рРНК, тРНК) участвует во всех
стадиях экспрессии генов и биосинтеза белков

21.

Распад нуклеопротеидов в ЖКТ
желудок
НП
Н+
денатурация
кишка
трипсин
пепсин
НК + белок
пептиды
АК
Н2О
ДНКазы, РНКазы поджелуд. сока
Олигонуклеотиды
Н2О
Фосфодиэстеразы кишечный сок
Мононуклеотиды
Нуклеотидазы кишечный сок
Нуклеозиды
Нуклеозидаза Н2О
(Фосфатаза) пиримидины
Пурины
окисление
Мочевая кислота
энтероцит
Мочевая
кислота
кровь
Н2О

22.

Практически все продукты переваривания и
всасывания нуклеотидов не используются
организмом, а подвергаются катаболизму и
выводятся.

23. 1. Образование 5-фосфорибозил-1-дифосфата

Синтез пуринов de novo
1. Образование 5-фосфорибозил-1-дифосфата
глюкоза Повышеная активность ФРДФПФШ
синтетазы приводит к ПОДАГРЕ
(рецессивный тип наследования,
сцепленный с Х-хромосомой)

24. 2. Синтез инозин-5'-монофосфат (ИМФ)

ФРПФ-глутамиламидо-трансфераза
Θ АМФ, ГМФ
Θ Диазонорлейцин
синтетаза
Θ Азасерин
с

25. Синтез пуринового цикла

26.

3. Биосинтез пуриновых нуклеотидов (АМФ и ГМФ)
Θ ГМФ
Θ АМФ
Θ Микофеноловая к-та
Θ 6-меркаптопурин

27.

28. Регуляция синтеза пуриновых нуклеотидов

1. ФРДФ-синтетаза
2. ФРПФ-глутамил-амидотрансфераза
3. ИМФ-дегидрогеназа
4. аденилосукцинатсинтетаза

29. “ЗАПАСНЫЕ” ПУТИ СИНТЕЗА ПУРИНОВЫХ НУКЛЕОТИДОВ (РЕУТИЛИЗАЦИЯ АЗОТИСТЫХ ОСНОВАНИЙ И НУКЛЕОЗИДОВ)

Потеря активности
приводит к почечнокаменной
болезни
Снижение активности
приводит к ПОДАГРЕ,
отсутствие активности:
Синдром Леша-Нихена

30. Катаболизм пуриновых нуклеотидов

Ксантиндегидрогеназа –
молибденсодержащая
гидролаза

31. Мочевая кислота

O
H
N
HN
O
N
H
N
H
Мочевая кислота - бесцветные кристаллы,
плохо растворимые в воде,
O
хорошо в растворах щелочей.
Образует соли ураты, со средней
растворимостью в воде
Мочевая кислота
(2,6,8-триоксопурин)
Норма в сыворотки крови:
♀ 0,2 - 0,42 ммоль/л;
♂ 0,15 – 0,36 ммоль/л
Выделяется в виде мочевой кислоты и уратов: 0,4 - 0,6 г/сут.

32. Повышение мочевой кислоты в сыворотке крови - гиперурикемия

дефект.
фермента
Характер
дефекта
клиника Заболевание
ФРДФсинтетаза
суперактив артрит
ация
подагра
Гипоксантин- потеря
Нефроз, Подагра,
гуанинактивности артрит
фосфорибоз
Синдром
илтрансфера Не активен
за
Леша-Нихена
Аденинфосф Полная
орибозилтра потеря
нсфераза
активности
Обр.
камней
Почечнокамен.болезнь

33. ПОДАГРА

1. Хроническое гетерогенное заболевание,
характеризуется отложением в различных
тканях организма кристаллов уратов или
мочевой кислоты.
2. В основе лежит накопление мочевой кислоты и
уменьшение ее выделения почками, что
приводит к повышению концентрации последней
в крови (гиперурикемия).
3. Клинически подагра проявляется
рецидивирующим острым артритом и
образованием подагрических узлов — тофусов.
4. Происходит также поражение внутренних
органов

34.

Тофусы

35.

Механизм развития подагры
Гиперурикемия – [мочевая кислота] > 0,6 – 0,76 ммоль/л
Кристаллы уратов откладываются в тканях
В суставах их фагоцитоз полиморфно-ядерными
лейкоцитами
медиаторы воспаления
Развивается ОСТРЫЙ ПОДАГРИЧЕСКИЙ АРТРИТ
Хронический подагрический артрит приводит
к деформации суставов
Подагра

36.

Стадии подагры
II
I
IV
III
III
Рост
тофусов
Концентрация
урата
Время (года)
I Стадия – бессимптомная гиперурикемия (моIII Стадия – «межприступная подагра».
жет протекать много лет, пока не будет спровоцирован острый приступ).
II Стадия – острый приступ (спровоцирован
травмой или отклонениями в диете).
IV Стадия – хроническая тофусная
подагра

37. Факторы риска


Мужской пол.
Пожилой возраст
Склонность к употреблению мяса,
алкоголя, особенно пива и вина.
Колебания уровня рН крови и
синовиальной жидкости.
Физические перегрузки, в том числе и
статические – в тесной обуви
особенно частое поражение
большого пальца стопы.
Переохлаждение.
Уменьшение выведения мочевой
кислоты почками.

38. Антиподагрические средства

• Урикозурические средства
• Купирование приступа подагры: КОЛХИЦИН
В основе действия колхицина лежит повреждение
микротрубочек, подавление митоза, а также способность
ингибировать активацию кристаллами моноурата натрия
NLRP3 инфламмасомы и блокировать тем самым
высвобождение интерлейкина (ИЛ)-1р, ключевого цитокина
в развитии подагрического воспаления. Тем не менее
механизм действия колхицина до сих пор не до конца
изучен.
Безвременник весенний
Урикодепрессивные средства (аллопуринол)
Аллопуринол является ингибитором
ксантиноксидазы, под действием которой
аллопуринол превращается в оксипуринол,
неокисляемый аналог ксантина.

39. Гении-подагрики

• У. Гарвей
• Ч. Дарвин
• Р. Бэкон
• Ф. Бэкон
• Галилей
• Ньютон
• Линней
• Лейбниц
• И. Кант
• Б. Франклин
• Р. Бойль
• Ахилл
• А. Македонский
• Иоанн Грозный
• Род Медичи
• Микельанджело
• Мартин Лютер
• Жан Кальвин
• Стендаль
• Мопассан
• Тургенев И.С.
• Гёте
• Бисмарк
• Суворов А.В.

40.

Синтез пиримидиновых нуклеотидов (схема).
Аспарагиновая
кислота
C
ГЛУ-NH2
4
N3
5
C
2
6
C
Карбоксибиотин
(витамин Н) «СО2»
C
1
N
ФРДВ–источник рибозо-5-фосфата на заключительном этапе синтеза

41. БИОСИНТЕЗ ПИРИМИДИНОВЫХ НУКЛЕОТИДОВ

42.

УМФ + АТФ
УДФ + АТФ
киназа
киназа
УДФ + АДФ
УТФ + АДФ
Синтез цитидиловых нуклеотидов.
2+
УТФ + Глн + АТФ
аминирование
Mg
ЦТФ-синтетаза
ЦТФ + Глу + АДФ + Фн

43.

Превращение дУМФ в дТМФ

44.

Превращение рибонуклеозидов в
дезоксирибонуклеозиды
АТФ
РибонуклеозидДифосфаты (НДФ)
АДФ+Фн
2+
Mg
НДФредуктаза
Восстановленный
тиоредоксин
(белковый
кофактор)
донор электронов
SH
SH
2`-дезоксирибо-НДФ
Окисленный
тиоредоксин
тиоредоксин
S
S
редуктаза
НАДФ
+
(кофактор)
(флавопротеин)
НАДФ-Н2
(пентозофосфатный путь)
Эта сложная ферментативная система функционирует в клетке только в период
активного синтеза ДНК и деления.

45.

Регуляция биосинтеза пиримидинов
АТФ + «СО2»
+ глутамин
Пуриновые
нуклеотиды
Карбамоилфосфат
+ аспартат
Аспартат-транскарбомоилаза
N-карбамоиласпартат
ФРПФ
АТФ +
рибозо-5-ф-т
ЦТФ
УТФ
УДФ
dУДФ
ТДФ
ТМФ

46. Катабализм пиримидиновых нуклеотидов

47. Спасибо за внимание!

English     Русский Правила