141.75K
Категория:
Математика
Похожие презентации:
Системы массового обслуживания
Системы массового обслуживания
Системы массового обслуживания
Системы массового обслуживания
Система массового обслуживания
Системы массового обслуживания
Система массового обслуживания (СМО)
Системы массового обслуживания (СМО)
Системы и модели массового обслуживания
Марковские системы массового обслуживания
Системы массового обслуживания
1.
СИСТЕМЫ
МАССОВОГО ОБСЛУЖИВАНИЯ
2.
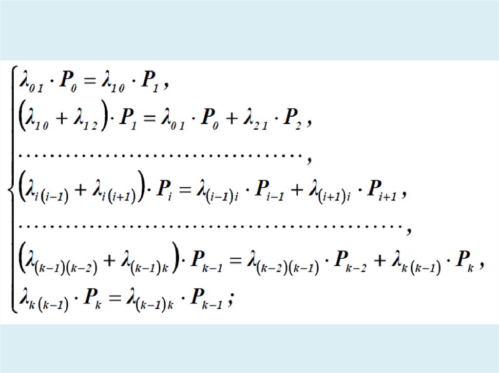
Граф состояний СМО со схемой "гибели и
рождения"
English
Русский
Правила