302.47K
Категория:
Математика
Похожие презентации:
Синус, косинус и тангенс угла
Синус, косинус и тангенс угла
Синус, косинус, тангенс угла
Синус, косинус, тангенс угла
Синус, косинус и тангенс для угла от 0° до 180°
Синус, косинус и тангенс угла
Синус, косинус и тангенс угла
Синус, косинус и тангенс
Зависимость между синусом, косинусом и тангенсом одного и того же угла
Синус, косинус и тангенс угла
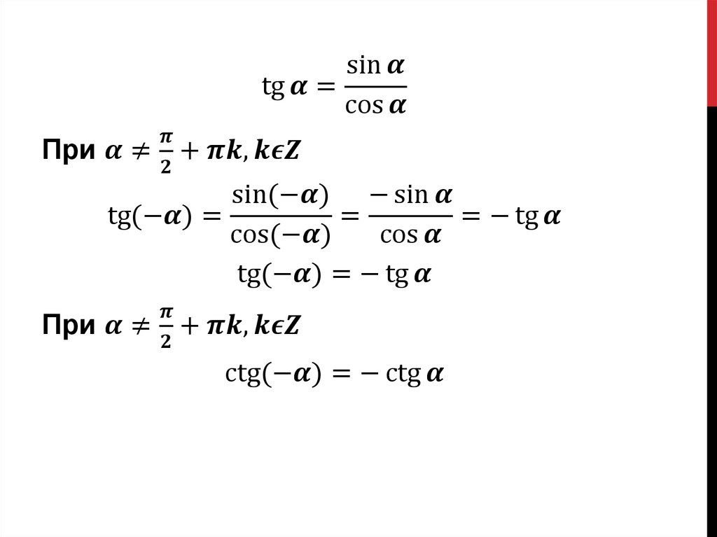
Синус, косинус и тангенс углов α и -α (Тема 20)
1.
Синус, косинус и тангенс углов α и -α
СИНУС,
КОСИНУС И
ТАНГЕНС
УГЛОВ α И -α
2.
Точки М
English
Русский
Правила