507.28K
Категория:
Электроника
Похожие презентации:
Применение ОУ в линейных и нелинейных схемах. Лекция 7
Структурные схемы СЭЭС
Применение ОУ в линейных и нелинейных схемах. СА1 лекция 7
Структурная схема ЭТА1-02
Структурные схемы СЭЭС. Плакаты
Автомобильные генераторы. Принципиальная схема действия генераторов переменного тока
Схема замещения трансформатора
Схема компьютера
Схема компьютера
Структурная схема компьютера
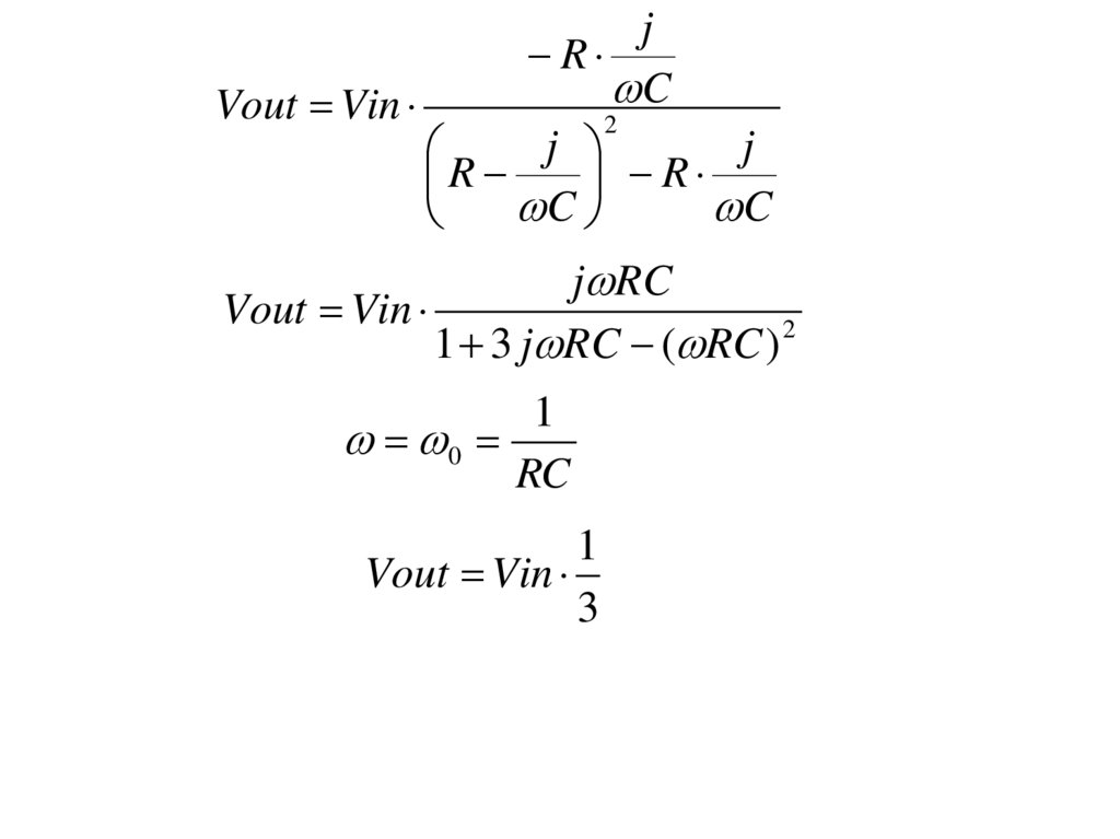
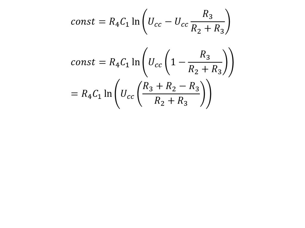
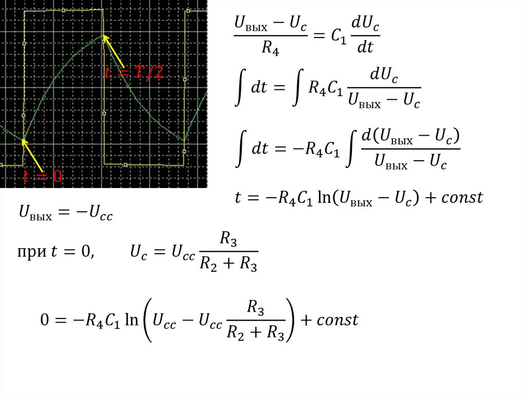
Нелинейные схемы
1.
Нелинейные схемы
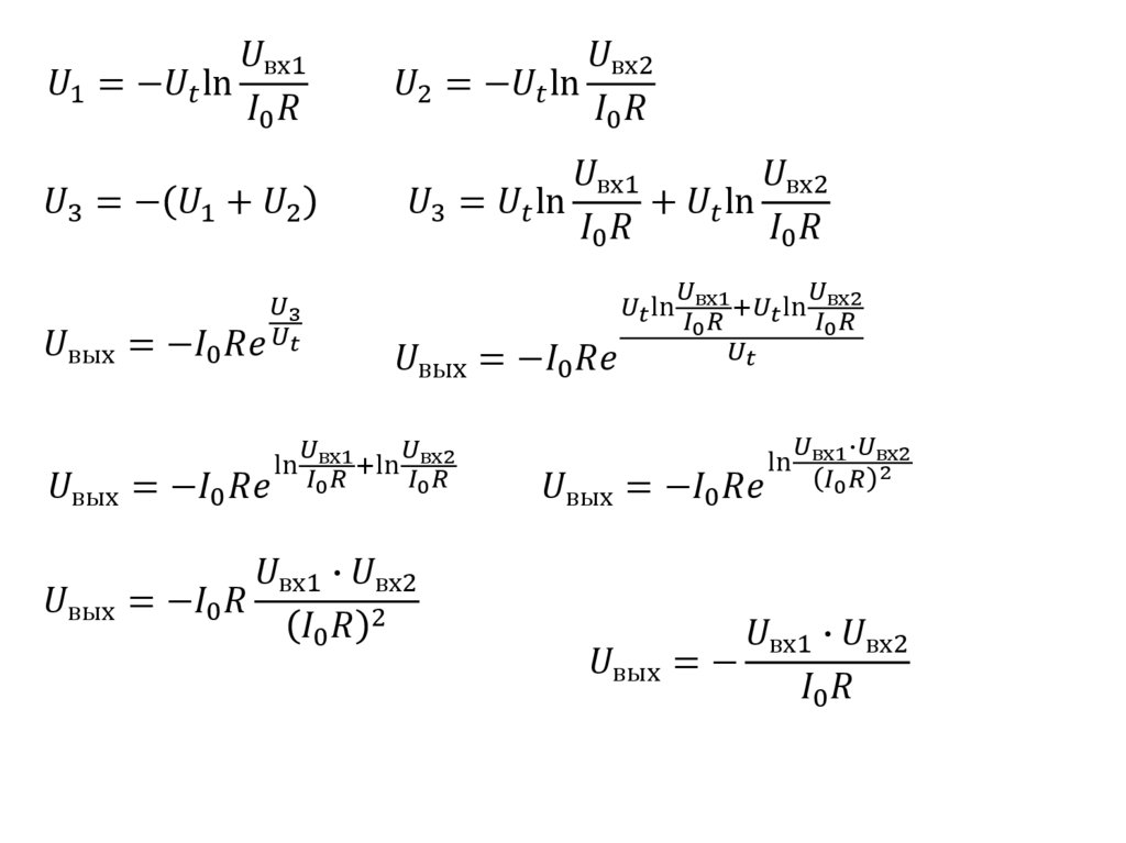
Логарифмический усилитель
English
Русский
Правила