172.51K
Категория: Базы данныхБазы данных

Введение в реляционные базы данных. Нормализация таблиц

1.

Семинар 1
«Введение в реляционные базы данных.
Нормализация таблиц»
Базы данных 5 семестр
1

2.

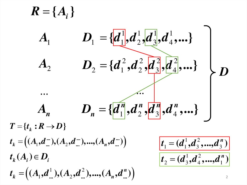
R { Ai }
A1
D1 {d , d , d , d ,...}
A2
D2 {d , d , d , d ,...}
...
...
An
Dn {d , d , d , d ,...}
1
1
2
1
t k ( A1 , d ...... ),( A2 , d ...... ),...,( An , d ...... )
t k ( A1 , d ),( A2 , d ),...,( An , d )
2
...
n
2
t k ( Ai ) Di
2
2
n
1
T {t k : R D}
1
...
1
2
n
...
1
3
2
3
n
3
1
4
2
4
D
n
4
t1 (d11 , d 32 ,..., d 3n )
t 2 (d 31 , d 42 ,..., d1n )
2

3.

ФОРМАЛЬНОЕ ОПРЕДЕЛЕНИЕ ОТНОШЕНИЯ
r – отношение
R – схема отношения
Di - i-ый домен
tk - k-ый кортеж
A1
t1
1
1
d
r ( R)
A2 ...
2
1
d
An
n
1
d
1
2
d
2
2
d
...
...
...
1
m
2
m
n
m
d
d
d
R
d
n
2
D
D2
3

4.

4

5.

R=(имя, возраст, рост, вес)
D1=(все имена, в т.ч. Коля,
Петя, Маша)
D2=(от 0 до 120)
D3=(от 0 до 300)
D4=(от 0 до 500)
t1 = (Коля, 20,175,75)
t2 = (Петя, 10,160,50)
t3 = (Маша, 40,150,75)
Имя
Возраст
Рост
Вес
Коля
20
175
75
Петя
10
160
50
Маша
40
150
75
5

6.

ФИО
Щукин,
Зачетка:
123654,
Адрес:
+++
Володин
Зачетка:
456789,
Адрес:
+++
Предмет
Семес Преподават
тр
ель
Тел.
преп.
Оценка
М1
М2
Зач.
БД
5
Тюрбеева
***
35
30
Инф. тех.
2
Носовицкий ***
34
44
30
Алгебра
2
Елькин
***
25
25
25
БД
5
Тюрбеева
***
32
30
30
Инф. Тех.
3
Носовицкий ***
54
54
Алгебра
1
Петросян
32
26
***
Экз.
30
50
28
6

7.

Верное представление отношения
В соответствии с определением К. Дж. Дейта, таблица является прямым и
верным представлением некоторого отношения, если она удовлетворяет
следующим условиям:
• Нет упорядочивания строк сверху вниз.
• Нет упорядочивания столбцов слева направо.
• Нет повторяющихся строк.
• Каждое пересечение строки и столбца содержит ровно одно значение из
соответствующего домена.
• Любой столбец таблицы должен содержать данные только одного типа;
• Все используемые типы данных должны быть простыми.
7

8.

Первая нормальная форма
Таблица соответствует первой нормальной форме, если она является
двумерной и не содержит повторяющихся групп.
Отношение находится в первой нормальной форме (1НФ) тогда и только тогда,
когда
В таблице не должно быть дублирующих строк.
В каждой ячейке таблицы хранится атомарное значение (одно не составное
значение)
В столбце хранятся данные одного типа
Отсутствуют массивы и списки в любом виде
8

9.

ФИО
Зачет
ка
Адре
с
Пред
мет
Семестр
Щукин
1234
56
+++
БД
5
Щукин
1234
56
+++
Прог
а
Щукин
1234
56
+++
Волод
ин
4567
89
Волод
ин
Волод
ин
Препод
аватель
Тел.
преп.
М1
М2
Зач.
Экз.
Тюрбее ***
ва
35
30
30
2
Носови
цкий
***
34
44
30
Алге
бра
2
Елькин
***
25
25
+++
БД
5
Тюрбее ***
ва
32
30
4567
89
+++
Прог
а
3
Носови
цкий
***
54
54
50
4567
89
+++
Алге
бра
1
Петрос
ян
***
32
26
28
25
9

10.

Вторая нормальная форма (2НФ)
Отношение находится во второй нормальной форме (2НФ) тогда и только
тогда, когда
• оно находится в первой нормальной форме
• все неключевые атрибуты функционально зависят от ключа целиком, но
не от его части
10

11.

ФИО
Зачетка
(PK)
Адрес
Предмет
(PK)
Семестр
(PK)
Препода
ватель
Тел.
преп.
М1
М2
Вид
аттестации
Оце
нка
Зачетка -> ФИО, адрес
Предмет -> преподаватель, телефон преподавателя
Предмет + Семестр -> Вид аттестации
ФИО + Предмет + Семестр -> М1, М2, Оценка
Студенты
- Зачетка (PK)
- ФИО
-Адрес
Аттестация
-Предмет (РК)
-Семестр (РК)
-Вид аттестации
Успеваемость
- Зачетка (PK)
-Предмет (PK)
-Семестр (PK)
-М1
-М2
-Оценка
Преподаватели
-Предмет (PK)
-Преподаватель
-Телефон
11

12.

Третья нормальная форма (3НФ)
Отношение находится в третьей нормальной форме (3НФ) тогда и только
тогда, когда
• оно находится во второй нормальной форме
• отсутствуют транзитивные функциональные зависимости неключевых
атрибутов от ключевых
Транзитивная зависимость – это ситуация, при которой неключевые
столбцы зависят от значений других неключевых столбцов.
12

13.

Студенты
-ФИО (PK)
-Зачетка
-Адрес
1
n
Аттестация
-Предмет (РК)
-Семестр (РК)
-Вид аттестации
Преподаватели
-Преподаватель (PK)
-Телефон
n
Предметы
-Предмет (PK)
-Преподаватель
1
1
Успеваемость
-ФИО (PK)
-Предмет (PK)
-Семестр (PK)
-М1
-М2
-Оценка
n
1
n
13

14.

Пример задания
Ненормализованная таблица
Номер_заказа
Клиент
Адрес
Город
Товар
Количеств
о
Цена за
штуку
Дата_заказа
Оплата
Способ_оплаты
Статус_заказа
12345
Иванов
Иван
Иванович,
8912345678
9
ул.
Ленина
, 15
Москв
а
Смартфон
Защитное
стекло
1
1
25000
1000
2023-11-10
2023-11-10
Картой
Картой
Выполнен
Выполнен
12346
Петрова
Мария
Петровна,
8987654321
0
Сидоров
Алексей
Юрьевич,
8985199567
8
ул.
Мира,
20
Смоле
нск
Наушники
2
2500
2023-11-11
Наличными
Отменен
ул.
Ленина
, 15
Москв
а
Часы
1
10000
2023-11-12
Наличными
Выполнен
12347
14

15.

Пример задания
1 НФ
Номер_заказа
Имя
Фамилия
Отчество
Телефон
Адрес
Город
Товар
Количество
Цена_за_штуку
Дата_заказа
Способ_оплаты
Статус_заказа
15

16.

Пример задания
2 НФ
1.
Таблица «Заказы»
Номер_заказа
Дата_заказа
Способ_оплаты
Статус_заказа
ID_Клиента
2. Таблица «Товары_в_заказе»
Номер_заказа
Товар
Количество
Цена_за_штуку
3. Таблица «Клиенты»
ID_Клиента
Имя
Фамилия
Отчество
Телефон
Адрес
Город
16

17.

Пример задания
3 НФ
1.
Таблица «Заказы»
Номер_заказа
Дата_заказа
Способ_оплаты
Статус_заказа
ID_Клиента
2. Таблица «Товары_в_заказе»
Номер_заказа
Товар
Количество
Цена_за_штуку
3. Таблица «Клиенты»
ID_Клиента
Имя
Фамилия
Отчество
Телефон
Адрес
Индекс
4. Таблица
«Адреса_и_города»
Индекс
Город
17

18.

Индивидуальное задание на 1 семинар
Выполнить индивидуальное домашнее задание в электронной
образовательной среде (ЭОС) «Семинар 1».
Невыполненное задание является основанием для недопуска к
контрольной работе
18
English     Русский Правила