20.84M
Категория: ПромышленностьПромышленность

КУРС АВИАМЕХАНИКА-3часть

1.

GROUND HANDLING
НАЗЕМНОЕ ОБСЛУЖИВАНИЕ ВОЗДУШНЫХ СУДОВ
ПЕРВОНАЧАЛЬНАЯ ПОДГОТОВКА АВИАМЕХАНИКА
2025
Часть III

2.

ПРОГРАММА ПОДГОТОВКИ:
Часть I
Тема 1. История авиации
Тема 2. Авиационное законодательство
Тема 3. Авиационный персонал
Тема 4. Расследование авиационных происшествий
Тема 5. Элементы аэродрома
Часть II
Тема 6. Классификация воздушных судов
Тема 7. Конструкция воздушных судов
Часть III
Тема 8. Наземное обслуживание ВС
Тема 9. Средства наземного обслуживания
Часть IV
Тема 10. Применяемые в авиации ГСМ и материалы
Тема 11. Коммуникация и радиообмен
Тема 12. Правила поведения. Этика.
Тема 13. Производственно-техническая документация
Часть V
Тема 14. Система управления безопасностью полетов.
Тема 15. Человеческий фактор. Система управления усталостью человека

3.

САМОЛЕТ – ВЕЛИЧАЙШЕЕ ТВОРЕНИЕ РАЗУМА И РУК
ЧЕЛОВЕЧЕСТВА,
ОН НЕ ПОДВЛАСТЕН НИКАКИМ АВТОРИТЕТАМ, КРОМЕ
ЛИЦ, ЗНАЮЩИХ И УВАЖАЮЩИХ ЛЕТНЫЕ ЗАКОНЫ
Н.Е.ЖУКОВСКИЙ

4.

Тема 8. Наземное обслуживание ВС.
Наземное обслуживание(Ground Handling) – услуги, необходимые для обеспечения
прибытия и вылета ВС из аэропорта, кроме обслуживания воздушного движения
Стандартные процедуры обслуживания (SOP)
Встреча и выпуск ВС
Буксировка ВС
Воздушный запуск двигателей от УВЗ
Заправка ВС топливом
Слив, промывка, заправка туалетов ВС
Противообледенительная обработка ВС
Заправка (слив) питьевой воды в/из ВС
Обеспечение ВС наземным электропитанием
Визуальный осмотр ВС
Зарядка систем ВС сжатым азотом
FOD процедуры
Зарядка систем ВС кислородом
Руководство подъездом САТ
Подогрев двигателей и салонов ВС
Установка упорных колодок
Кондиционирование салонов ВС
Подача визуальных сигналов экипажу
Контроль запуска двигателей ВС
Доступ к высокорасположенным частям ВС
Входят в
несколько
SOP

5.

Тема 8. Наземное обслуживание ВС. ОСНОВНЫЕ ПРАВИЛА БЕЗОПАСНСОТИ.
Бесконтактный принцип: ЛЮБОЕ ОБОРУДОВАНИЕ не должно соприкасаться с обшивкой фюзеляжа ВС,
применяется ко всем видам оборудования, за исключением пассажирских и технических трапов.
Вертикальное перемещение продольной оси ВС в процессе обслуживания из-за изменения
центровки в процессе заправки или посадки/высадки пассажиров, загрузки/выгрузки багажа,
может происходить скачкообразно, с резким изменением высоты
При размещении оборудования у борта фюзеляжа, убедитесь, что между всеми элементами
оборудования и ВС сохраняется безопасный зазор, позволяющий перемещаться ВС в вертикальной
плоскости в течение всего процесса наземного обслуживания, предотвращая контакт между ВС и
оборудованием
ОСНОВНЫЕ
ПРАВИЛА БЕЗОПАСНСОТИ
Любое наземное оборудование, расположенное в зоне обслуживания или за её пределами, а
также на парковке, после остановки должно быть зафиксировано от перемещения ВСЕМИ
устройствами безопасности, исключающими самопроизвольное перемещение СНО и спецтранспорта:
включение стояночного тормоза, установка упорных колодок, установка на аутригеры/опоры
Размещать оборудования в зоне обслуживания ВС необходимо так, чтобы
– не
препятствовать эвакуации людей из самолета в аварийной ситуации;
– не препятствовать движению топливозаправщика от самолета;
– не создавать помех другим СНО при обслуживании ВС
Перед подсоединением оборудования к тягачу, необходимо сначала
кабель/рукав оборудования, уложить его в транспортное положение
отключить
от
ВС
ПРИ ЭКСПЛУАТАЦИИ ЛЮБОГО ОБОРУДОВАНИЯ, ОСМОТРИТЕ ВС НА ЛЮБЫЕ ПОВРЕЖДЕНИЯ В ЗОНЕ
ПРЕДПОЛАГАЕМОГО РАЗМЕЩЕНИЯ И/ИЛИ КОНТАКТА ОБОРУДОВАНИЯ С ВС ДО ПОДВОДА/ПОДКЛЮЧЕНИЯ
ОБОРУДОВАНИЯ К ВС.
ЕСЛИ ОБНАРУЖЕНО ПОВРЕЖДЕНИЕ ВС, НЕ ПРОДОЛЖАЙТЕ ПРИБЛИЖАТЬ ОБОРУДОВАНИЕ К ВС.
НЕМЕДЛЕННО СООБЩАЙТЕ ЭКИПАЖУ ВС И РУКОВОДИТЕЛЮ РАБОТ О ЛЮБЫХ ОБНАРУЖЕННЫХ ПОВРЕЖДЕНИЯХ ВС.
УБЕДИТЕСЬ, ЧТО ЗАЩИТНЫЕ РЕЗИНОВЫЕ БАМПЕРЫ И АМОРТИЗАТОРЫ НЕ СЖАТЫ В МЕСТЕ ИХ КОНТАКТА С
ФЮЗЕЛЯЖЕМ ВС.

6.

Тема 8. Наземное обслуживание ВС. Визуальный осмотр ВС.
Визуальный осмотр ВС выполняется в целях:
обнаружения недопустимых повреждений конструкции;
утечек спецжидкостей и ГСМ;
определения состояния подвижных поверхностей, дверей и люков
Визуальный осмотр ВС выполняется
по установленному ЭТД маршруту
При выявлении отклонений, о
результатах осмотра доложить
непосредственному руководителю
Визуальный осмотр ВС выполняется в следующих случаях:
после встречи ВС и перед выпуском ВС в полет
до и после буксировки ВС
перед и после установки СНО
после авиационного события

7.

Тема 8. Наземное обслуживание ВС. Визуальный осмотр ВС.
ОПАСНАЯ
ЗОНА
начало осмотра
конец осмотра

8.

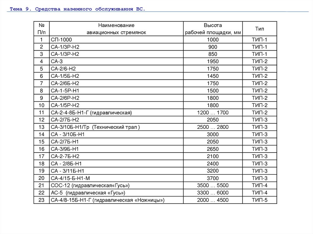
Тема 8. Наземное обслуживание ВС. Заключительный
визуальный осмотр ВС.
Заключительный осмотр ВС перед вылетом, перед буксировкой
выполняется после закрытия входной двери ВС и до запуска двигателей
При заключительном осмотре выпускающий должен проконтролировать:
уборку всех упорных колодок из-под колес шасси и размещение их на месте парковки СНО;
уборку всех сигнальных конусов и размещение их на месте парковки СНО;
отсутствие посторонних предметов в нишах шасси;
отсутствие блокирующих пинов безопасности (в том числе и в нишах шасси);
правильность установки (фиксации) пинов системы разворота ПОШ, стыковку шлиц-шарниров ПОШ;
освобождение зоны запуска двигателей ВС и места стоянки от СНО,
спецтранспорта и средств механизации, в том числе и возможную зону воздействия
реактивной струи двигателей при повороте выруливающего ВС;
закрытие дверей и люков.
Перед закрытием дверей (люков) проконтролировать
отсутствие посторонних предметов, которые могут помешать закрытию двери люка), а также
наличие загрязнения (повреждения, обмерзания)уплотнителя окантовки дверного проема (люка)
В случае, если по указанию экипажа, пины безопасности снимает
выпускающий (или руководитель буксировочной бригады) после закрытия входной
двери, снятые пины безопасности должны быть продемонстрированы экипажу
визуально – пины с красными вымпелами «СНЯТЬ ПЕРЕД ПОЛЕТОМ» («REMOVE
BEFORE FLIGHT») поднять на вытянутой вверх руке - при этом вымпелы должны быть
видны экипажу ВС.
Не опускать руку до получения подтверждающего сигнала экипажа ВС.
Контроль закрытия лючка бортового штуцера УВЗ (бортового разъема ШРАП), производится после
запуска двигателей от УВЗ (наземного источника электропитания),при этом технология закрытия
лючка бортового штуцера УВЗ (разъема ШРАП) и способ контроля его закрытия заранее
согласовывается с экипажем ВС до закрытия входной двери ВС

9.

Тема 8. Наземное обслуживание ВС. Процедуры FOD.
FOD (Foreign Object Debris) – посторонние предметы, способные
нанести ущерб воздушному судну, транспортному средству, человеку.
FOD образуется случайно – разрушение покрытий аэродрома, разрушение деталей и
узлов транспортных средств и ВС, потерянный мусор и т.д
Не относятся к FOD бирки, бумажная документация, бытовые отходы, мусор из ВС,
отходы, образующиеся при процессах обслуживания ВС
На перроне сектора Внуково-3 на мачтах (в соответствии со схемами
размещения)установлены контейнеры с надписью «FOD»
В урны FOD разрешено помещать предметы, случайно найденные на перроне.
Это могут быть продукты разрушения покрытий (герметик, щебень,
обломки плит, обломки решёток дождеприемных лотков и т.п.), посторонние
предметы из ВС и ТС (гайки, болты, заклепки, шайбы, штифты, втулки и т.д.),
случайный мусор (пакеты, бумага и т.д.).
Весь работающий на перроне персонал при обнаружении посторонних
предметов относящихся к FOD должен поместить их в контейнер «FOD»
Запрещено
помещать предметов
в контейнер
FOD окурки,
промасленные
банки из-под
При помещении
в контейнер
FOD
необходимоотходы,
по возможности
ГСМ и другие пожароопасные отходы
выяснять, откуда они возникли, в производственных процессах какой
компании
эти предметы
участвовали.
При необходимости
передавать
эту
Отсутствие
посторонних
предметов
на покрытиях
аэродрома

информацию
ответственным
лицам для проведения
проверок и выяснения
общая задача
всех участников
производственных
процессов
обстоятельств попадания FOD на покрытия аэродрома.

10.

Тема 8. Наземное обслуживание ВС. Доступ к высокорасположенным частям ВС.
Доступ к высокорасположенным частям ВС осуществляется с помощью стремянок,
гидроплатформ, автовышек с люлькой.
Перед установкой к ВС оборудования и после уборки от ВС оборудования,
необходимо выполнить визуальный осмотр оборудования и ВС
на предмет повреждений.
На оборудование должна быть нанесена информация:
наименование оборудование (марка, тип)
заводской/инвентарный номер
дата следующей проверки оборудования
ФИО лица, ответственного за исправность оборудования
Оборудование, установленное к борту ВС, не должно касаться обшивки крыла,
фюзеляжа и других конструктивных элементов ВС при нагрузке, в т.ч ветровой.
Оборудование, установленное к борту ВС, должно быть установлено на стояночный
тормоз или на все аутригеры (при наличии). Под колеса автомобильного шасси
должны быть установлены упорные колодки минимум с двух сторон одного колеса.
Перед подъемом и опусканием рабочих площадок гидравлического оборудования
необходимо убедится в отсутствии посторонних предметов в гидроприводе, удалению
людей на безопасное расстояние.
Подъем и спуск по лестницам и стремянкам только лицом к ступеням,
при перехвате рукой поручня, другая рука должна крепко держаться за поручень.

11.

Тема 8. Наземное обслуживание ВС. Подача визуальных сигналов.
Подача визуальных сигналов экипажу ВС осуществляется
в соответствии с приложением №2 «Правила полетов» к Конвенции ИКАО
глава 5 Добавления 1
«СИГНАЛЫ, РЕГУЛИРУЮЩИЕ ДВИЖЕНИЕ ВОЗДУШНЫХ СУДОВ НА ЗЕМЛЕ»
Эти сигналы предназначены для подачи руками, которые могут быть освещены, если это
необходимо для того, чтобы облегчить понимание сигналов пилотом, причем сигнальщик
обращен лицом к воздушному судну и находится:
а) для воздушных судов с фиксированным крылом – с левой стороны воздушного судна, где
он лучше всего виден пилоту, и
b) для вертолетов – там, где он лучше всего может быть виден пилоту.
Смысл соответствующих сигналов остается неизменным при использовании
лопаток, светящихся жезлов или электрических фонариков
Подав визуальный сигнал или команду,
не перемещайтесь со своего места,
дождитесь ответного сигнала или выполнения команды (сигнала)

12.

Тема 8. Наземное обслуживание ВС. Подача визуальных сигналов.

13.

Тема 8. Наземное обслуживание ВС. Подача визуальных сигналов.

14.

Тема 8. Наземное обслуживание ВС. Подача визуальных сигналов.

15.

Тема 8. Наземное обслуживание ВС. Подача визуальных сигналов.

16.

Тема 8. Наземное обслуживание ВС. Подача визуальных сигналов.

17.

Тема 8. Наземное обслуживание ВС. Подача визуальных сигналов.

18.

Тема 8. Наземное обслуживание ВС. Подача визуальных сигналов.

19.

Тема 8. Наземное обслуживание ВС. Подача визуальных сигналов.

20.

Тема 8. Наземное обслуживание ВС. Подача визуальных сигналов.

21.

Тема 8. Наземное обслуживание ВС. Подача визуальных сигналов.

22.

Тема 8. Наземное обслуживание ВС. Подача визуальных сигналов.

23.

Тема 8. Наземное обслуживание ВС. Подача визуальных сигналов.
Технико-эксплуатационные коммуникативные сигналы

24.

Тема 8. Наземное обслуживание ВС. Подача визуальных сигналов.
Технико-коммуникативные сигналы

25.

Тема 8. Наземное обслуживание ВС. Подача визуальных сигналов.
Технико-коммуникативные сигналы

26.

Тема 8. Наземное обслуживание ВС. Подача визуальных сигналов.
Сигналы при чрезвычайной ситуации

27.

Тема 8. Наземное обслуживание ВС. Подача визуальных сигналов.

28.

Тема 8. Наземное обслуживание ВС. Подача визуальных сигналов.

29.

Тема 8. Наземное обслуживание ВС. Подача визуальных сигналов.

30.

Тема 8. Наземное обслуживание ВС. Безопасные расстояния для САТ.
Остановка спецмашин при подъезде к ВС при обслуживании
ВС производится на расстоянии не менее 0,5 м от крайних
точек ВС
Остановка топливозаправщиков, передвижных заправочных
агрегатов и маслозаправщиков
- не менее 5 м;
моторных подогревателей
- не менее 3 м;
тепловых обдувочных машин
- не менее 3,5 м.
Остановка спецмашин при погрузочно-разгрузочных операциях
производится на расстоянии не менее 0,1 м от люка ВС.
Пассажирские трапы подъезжают на малой скорости до мягкого
соприкосновения амортизирующих устройств с воздушным
судном.

31.

Тема 8. Наземное обслуживание ВС. Визуальные сигналы для САТ.
Визуальные сигналы для руководства движением (подъездом к ВС или
отъезда от ВС) спецавтотранспорта и средств механизации подаются
аналогично требованиям подачи визуальных сигналов для экипажей ВС
Если подъезд к ВС осуществляется задним ходом, особенно в зимний
период и в ночное время, необходимо убедиться в исправности зеркал
заднего вида, стекла боковой двери кабины водителя и отсутствии на
них обледенения или запотевания.
Руководитель подъездом или отъездом САТ должен быть всегда на
визуальной связи с водителем САТ
Руководитель подъездом или отъездом САТ в процессе изменения
траектории движения САТ, должен перемещаться в безопасной зоне от
САТ и ВС, находясь на постоянной визуальной связи с водителем САТ и
контролируя безопасные расстояния от САТ до ВС
При неправильном маневре спецмашины, в результате которого возникает
опасность повреждения ВС, руководитель подъездом подает водителю сигнал
"остановитесь", затем сигнал на выполнение маневра, исключающего повреждение
ВС, после этого подает команду на выезд САТ из зоны обслуживания воздушного
судна. После выезда САТ на расстояние 2 - 5 м за пределы зоны обслуживания ВС
подает водителю САТ сигнал "остановитесь", а затем обеспечивает повторный
подъезд САТ к ВС.

32.

Тема 8. Наземное обслуживание ВС. Подъезд-отъезд САТ.
Руководитель подъездом (отъездом) при работе в зоне обслуживания ВС:
руководит при помощи установленных сигналов движением САТ в соответствии с
типовыми схемами подъезда (отъезда) и маневрирования САТ при обслуживании
ВС;
руководит подъездом (отъездом) спецмашин к ВС с удобного места,
обеспечивающего контроль за приближением САТ к ВС и поддержание визуальной
связи с водителем;
подает сигнал водителю, если убежден, что нет препятствий для маневра САТ у
ВС, а также для подъема (опускания) кузова или рабочего органа САТ;
подает сигнал на остановку САТ на расстоянии, исключающем повреждение ВС;
устанавливает под одно колесо упорную колодку, препятствующую движению САТ к
ВС;
устанавливает вторую колодку с другой стороны этого колеса;
проверяет отключение от борта ВС кабелей, разъемов, шлангов и тросов
заземления после окончания работы;
убирает колодку со стороны отъезда САТ и подает сигнал "отъезжайте";
убирает вторую колодку после отъезда САТ на расстояние не менее 5 м (для
тягачей автопоезда багажных тележек - не менее 1 м) от ВС;
размещает упорные колодки на САТ.

33.

Тема 8. Наземное обслуживание ВС. Визуальные сигналы для САТ.

34.

Тема 8. Наземное обслуживание ВС. Визуальные сигналы для САТ.

35.

Тема 8. Наземное обслуживание ВС. Визуальные сигналы для САТ.

36.

Тема 8. Наземное обслуживание ВС. Визуальные сигналы для САТ.

37.

Тема 8. Наземное обслуживание ВС. Визуальные сигналы для САТ.

38.

Тема 8. Наземное обслуживание ВС. Установка упорных колодок.
Авиационные упорные колодки предназначены для
предотвращения самопроизвольного перемещения ВС/СНО
Размеры (типы) упорных колодок, устанавливаемых под
колеса шасси ВС, зависят от диаметра колеса шасси ВС
Упорные колодки должны быть установлены:
непосредственно после встречи ВС на месте стоянки, после
выключения двигателей или прекращения вращения лопастей винтов;
после окончания буксировки ВС, до момента отсоединения
буксировочного оборудования от ВС;
в процессе буксировки ВС, если произошла кратковременная
остановка с целью устранения неисправности буксировочного
оборудования или самолета;
при открытой входной двери ВС или если к самолету установлен трап
(телетрап);
при размещении возле ВС любого наземного оборудования;
в процессе буксировки ВС с неисправной тормозной системой, если
произошла кратковременная остановка;
при опробовании двигателей ВС на специальных стоянках или
площадках (точках запуска)

39.

Тема 8. Наземное обслуживание ВС. Установка упорных колодок.
Тип
тип «0»
тип «1»
Диаметр колеса шасси, мм
Типы ВС
290 - 600
600 - 920
ВНИМАНИЕ:
В целях исключения повреждения упорных шипов
типколодок,
«2»
920 - 1100
лакокрасочного
покрытия колодки,
повреждения перрона и пожарной безопасности
(возможно искрообразование),
НЕ ДОПУСКАЕТСЯ бросать металлическую упорную
колодку на покрытие перрона!!!
тип «3»
1100 - 1600

40.

Тема 8. Наземное обслуживание ВС. Установка упорных колодок.
Тип
тип «4»
Диаметр колеса шасси, мм
все*
Типы ВС
* Все типы ВС в ангаре
(на открытом воздухе при
температуре не ниже 0°С)
ВНИМАНИЕ:
На ВС типа Cessna 560XL, 560 Citation V, 560 Citation Ultra, 560 Citation Bravo
код ИКАО С560, С56Х)
устанавливаются упорные колодки только тип «0» по следующей схеме:
- спереди и сзади колеса носовой стойки шасси;
- только сзади колеса основных стоек шасси.
50мм
ИЛИ
УСТАНАВЛИВАЕТСЯ
КОЛОДКА
ТИП «0+»

41.

Тема 8. Наземное обслуживание ВС. Установка упорных колодок.
СТАНДАРТНОЕ РАЗМЕЩЕНИЕ
УПОРНЫХ КОЛОДОК
Все ВС кроме
CL605/GLOBAL/G650ER
Основные упорные колодки (стоянка ВС более 2-х часов)
Допускается устанавливать под внешние и внутренние колеса
Стоянка ВС менее 2-х часов / стоянка перед терминалом
Не устанавливать при наличии защитных дефлекторов ПОШ

42.

Тема 8. Наземное обслуживание ВС. Установка упорных колодок.
ХРАНЯЩЕЕСЯ ВС, НОЧНАЯ СТОЯНКА ВС,
ШТОРМОВОЙ ВЕТЕР
Все ВС кроме
CL605/GLOBAL/G650ER
Основные упорные колодки
Дополнительные упорные колодки, если на ВС не включен
стояночный тормоз
**
Не устанавливать при наличии защитных дефлекторов ПОШ
(сзади колес ПОШ)

43.

Тема 8. Наземное обслуживание ВС. Установка упорных колодок.
ТОЛЬКО ВС типа CL605/GLOBAL/G650ER
Основные упорные колодки (задние – на расстоянии 70мм)
Дополнительные упорные колодки при ночной стоянке,
хранящееся ВС или стоянка на перроне в условиях
штормового ветра, если на ВС не включен стояночный
тормоз (задние – на расстоянии 70мм)

44.

Тема 8. Наземное обслуживание ВС. Стандартные процедуры наземного обслуживания ВС (SOP).
СТАНДАРТНЫЕ ПРОЦЕДУРЫ
SOP

45.

Тема 8. Наземное обслуживание ВС. Контроль запуска двигателей.
Контроль запуска двигателей
ВНИМАНИЕ:
НЕ ПРИБЛИЖАЙТЕСЬ К ВОЗДУХОЗАБОРНИКАМ ГАЗОТУРБИННЫХ
ДВИГАТЕЛЕЙ ВС, РАБОТАЮЩИХ НА МАЛОМ ГАЗЕ, БЛИЖЕ ЧЕМ НА 10м.
ВНИМАНИЕ:
НЕ ПЕРЕМЕЩАЙТЕСЬ В ЗОНЕ РЕАКТИВНОЙ СТРУИ РАБОТАЮЩИХ
НА МАЛОМ ГАЗЕ ДВИГАТЕЛЕЙ ВС БЛИЖЕ ЧЕМ 50м.
ВНИМАНИЕ:
НЕ ПЕРЕМЕЩАЙТЕСЬ В ПЛОСКОСТИ ВРАЩЕНИЯ ВОЗДУШНЫХ
ВИНТОВ (ПРОПЕЛЛЕРОВ).
Контроль запуска двигателей осуществляет наземный персонал,
прошедший специальную подготовку и допущенный приказом к
выполнению данного вида работ

46.

Тема 8. Наземное обслуживание ВС. Контроль запуска двигателей.
До запуска двигателей ВС должно быть подготовлено место стоянки:
зона запуска свободна от любых препятствий, средств наземного
обслуживания, спецтранспорта и людей;
покрытие стоянки должно быть очищено от снега и грязи;
место стоянки имеет искусственное освещение в темное время суток;
разметка на месте стоянки или точке запуска хорошо видна;
от ВС отсоединены и удалены на безопасное расстояние или в места
хранения любые наземные средства (за исключением УВЗ и/или АПА,
необходимых обеспечения запуска).
До запуска двигателей выпускающий (контролирующий) обязан
выполнить внешний осмотр ВС ПО МАРШРУТУ.
При подготовке к опробованию двигателей на межрейсовом ТО
разрешается запуск двигателей, если установлены пины безопасности на
механизмах уборки шасси и установлены упорные колодки под все
колеса шасси

47.

Тема 8. Наземное обслуживание ВС. Контроль запуска двигателей.
После удаления всех видов СНО и закрытия входных дверей, необходимо
убрать в места хранения сигнальные конусы и упорные колодки
При связи с экипажем по СПУ:
Выпускающий располагается со стороны запускаемого двигателя на длину
кабеля СПУ/по радиосвязи в - безопасной зоне.
В процессе запуска двигателей и выхода их на режим МГ, выпускающий
(контролирующий) располагается на стороне запускаемого двигателя и
контролирует процесс запуска двигателей визуально.
При выявлении в процессе запуска двигателей отклонений (течь
топлива, масла, задымление или пожар, помпажные явления и т.п.)
сообщить об этом экипажу с требованием немедленно прекратить
запуск:

48.

Тема 8. Наземное обслуживание ВС. Контроль запуска двигателей.
При визуальной связи с экипажем:
Выпускающий располагается в зоне видимости его экипажем ВС (КВС),
на удалении 5-10 м. от носовой части ВС 3 класса (10-15м от носовой
части ВС 1-2 класса) и подает визуальный сигнал «Колодки убраны»
Экипаж подает визуальный сигнал «Запуск двигателя №…»
Выпускающий подтверждает готовность зоны запуска к запуску
визуальным сигналом «Утвердительный ответ»
и располагается со стороны запускаемого двигателя на визуальной
связи с экипажем ВС.
В процессе запуска двигателей и выхода их на режим МГ, выпускающий
(контролирующий) располагается на стороне запускаемого двигателя, в
зоне видимости его экипажем ВС и контролирует процесс запуска
двигателей визуально.
При выявлении в процессе запуска двигателей отклонений (течь
топлива, масла, задымление или пожар, помпажные явления и т.п.)
сообщить об этом экипажу с требованием немедленно прекратить
запуск, подав соответствующий визуальный сигнал
После начала запуска первого из двигателей,
сообщить диспетчеру ПДС по радиосвязи:
«Бортовой номер самолета. Запуск двигателя»

49.

Тема 8. Наземное обслуживание ВС. Встреча ВС.
До встречи ВС на МС необходимо убедиться, что МС свободно от любых СНО и
оборудование не будет самопроизвольно перемещаться под воздействием струи
выходящих газов (потоков воздуха).
ВСТРЕЧА ВС
Встречающий должен иметь
контрастные жезлы
(светящиеся жезлы в
темное время суток) для
подачи визуальных
сигналов
При
При
выходе
приближении
ВС на
ВС
визуального
кнамеченном
месту
После
Для установлении
остановки
остановки
ВСВС
наподать
контакта
прямолинейный
остановки
с
(знак
ВС,
участок
встречающий
«Т»
на
оси
МС) на
сигнал
месте подать
«Включить
сигнал
тормоза».
«Обычная
продолжает
руления
10-15м,
к
подать
МС
его
встречающий
визуально
команду
Не
остановка»
покидать
своего
места до
сопровождать
подает
«Уменьшить
команду
скорость»
со
«Двигаться
своего
места,
получения ответного сигнала
от
подавая
вперед» сигнал
«Указание
экипажа
«Тормоза
включены»
посадочной галереи»
Встречающий располагается по
оси МС на удалении от знака «Т»:
5-9м
(для ВС 3-4 класса)
10-15м (для ВС 1-2 класса)

50.

Тема 8. Наземное обслуживание ВС. Встреча ВС.
ВСТРЕЧА ВС
Встречающий располагается по
оси МС на удалении от знака «Т»:
5-9м
(для ВС 3-4 класса)
10-15м (для ВС 1-2 класса)
После установки упорных колодок,
в случае прибытия ВС международным рейсом,
встречающий обязан покинуть зону МС,
обозначенную красной линией.
Все последующие
работы
по экипажу
наземному
осмотре ВС сообщить
об этом
ВС
начальнику смены только
ИАС.
обслуживанию и разрешаются
после
Установить сигнальные конусы
разрешения сотрудника ОПК Внуково
После выключения двигателей
и/или прекращения вращения
винтов, установить упорные
колодки под колеса шасси.
По окончании операции подать
экипажу сигнал «Колодки
При наличии замечаний выявленных при визуальном
установлены».
Выполнить визуальный осмотр ВС по маршруту.
Персонал, при открытии входной двери ВС, должен находится в безопасном месте, вне зоны
открытия двери, преимущественно - сбоку на расстоянии не менее 1 метра до зоны опускания

51.

Тема 8. Наземное обслуживание ВС. Встреча ВС.
ВСТРЕЧА ВС
Установка сигнальных конусов на
ВС имеющих двигатели на крыле

52.

Тема 8. Наземное обслуживание ВС. Выпуск ВС.
При наличии путей движения
спецтранспорта,
проходящих через
ВЫПУСК
ВС
маршрут выруливания самолета, выпускающий (в сигнальном
жилете) располагается посередине проезжей части маршрута
движения спецтранспорта.
После запуска двигателей и выхода их на режим МГ, выпускающий отключает СПУ
от бортового разъема, закрывает сервисный лючок (при использовании СПУ) и
переходит на соответствующую сторону для обеспечения выруливания ВС с МС
(чтобы не оказаться в зоне действия струи выходящих газов двигателей) и
располагается:
впереди и сбоку слева от оси руления ВС, в поле зрения КВС,
если ВС выруливает с МС налево,
или
впереди и сбоку справа от оси руления ВС, в поле зрения 2П,
если ВС выруливает с МС направо.
При получения сигнала о готовности к выруливанию с МС(включение рулежных фар),
выпускающий, убедившись в отсутствии ограничений (в зоне реактивной струи не
менее чем 50-75м и маршрут выруливания свободен) подает экипажу самолета
визуальный сигнал «Путь свободен».
При наличии условий не позволяющих выполнить выруливание ВС,
выпускающий обязан подать визуальный сигнал «Отрицательный ответ»
При начале движения ВС с МС, выпускающий подает стандартный сигнал
«Отправление воздушного судна» и сообщает диспетчеру ПДС по УКВ-радиосвязи:
«Бортовой номер ВС - Отправление».

53.

Тема 8. Наземное обслуживание ВС. Буксировка ВС.
Буксировка ВС осуществляется водильным и безводильным способами, «носом
вперед» и «хвостом вперед» при помощи средств буксировки (буксировочных
водил/адаптеров/тросов и/или буксировочных тягачей), одобренных к применению
на буксируемом типе ВС
БУКСИРОВКА ВС
Буксировка ВС осуществляется специальной бригадой под руководством
ответственного за буксировку специалиста ИАС
Руководитель буксировочной бригады несет ответственность за безопасность
буксировки
Члены буксировочной бригады несут ответственность за подачу надлежащих
сигналов водителю тягача и точное выполнение указаний руководителя
буксировочной бригады.
Визуальный осмотр ВС выполняется до буксировки и после её окончания.
Особенно тщательно осматриваются пневматики колес шасси
До начала буксировки ВСПорез
проводится
шиныинструктаж
захватом с членами буксировочной бригады
МИНИМАЛЬНЫЙ состав бригады для буксировки ВС:
- руководитель буксировочной бригады (РБ);
- правый сопровождающий (ПС);
- левый сопровождающий (ЛС);
- водитель тягача (ВТ);
- должностное лицо в кабине экипажа – для управления тормозами ВС (ЭК)

54.

Тема 8. Наземное обслуживание ВС. Буксировка ВС.
При наличии перед ВС
или на лобовом стекле
кабины экипажа таблички
При наличии перед ВС
или на лобовом стекле
кабины экипажа таблички
самолет буксировать
запрещено.
самолет буксировать разрешено, но
до буксировки необходимо выполнить
Процедуру «Проверка вращения колес»
При буксировке ВС «хвостом вперёд», наличия препятствий на маршруте
буксировки,
начальник
смены
назначает
в
состав
буксировочной
бригады
дополнительного сопровождающего (ДС) для наблюдения за хвостовым оперением и
хвостовой частью фюзеляжа ВС с целью предотвращения их повреждения
При буксировке в темное время суток, члены буксировочной бригады должны иметь
светящиеся жезлы или сигнальные фонари, а на ВС должны быть включены
габаритные огни (БАНО)
Скорость буксировки ВС по перрону не должна превышать скорость идущего
человека (3-5 км/ч)
При буксировке ВС по РД/ИВПП буксировочная бригада сопровождает ВС в
автомобиле / тягаче (передвижение пешком по РД/ИВПП категорически запрещено!)

55.

Тема 8. Наземное обслуживание ВС. Буксировка ВС.
ПС, ЛС и ДС обозначают габариты ВС
для других участников движения на перроне
Зоны визуальной ответственности

56.

Тема 8. Наземное обслуживание ВС. Буксировка ВС.
Во время буксировки ВС запрещается:
страгивать ВС с места раскачиванием;
находиться людям на поверхностях ВС (крыла, фюзеляжа и др.),
подножках кабины тягача и буксировочном устройстве;
устранять неисправности в сочленениях водила с ВС и тягачом
во время движения;
толкать ВС назад с помощью водила при заднем ходе тягача;
вытаскивать ВС, застрявшее в грунте, за переднюю опору

57.

Тема 8. Наземное обслуживание ВС. Буксировка ВС.
Буксировка с помощью водила(TB)
Осуществляется путем соединения передней стойки шасси ВС с тягачом
посредством буксировочного водила
На ВС, имеющих тенденцию к просадке (изменению центровки) при увеличении
загрузки, подсоединение буксировочного водила к тягачу производить только
после заправки ВС топливом, посадки пассажиров и загрузки багажа
Буксировочное оборудование (тяговое усилие тягача, тип буксировочного
водила/адаптера, срезные болты, захваты и т.п.) должно быть исправно и
соответствовать типу буксируемого ВС.
Соединение оборудования: захват буксировочного водила соединить с
буксировочной серьгой на передней стойке шасси ВС, затем соединить
буксировочную серьгу водила с фаркопом тягача.
Отсоединение в обратной последовательности
ВНИМАНИЕ: Перед отсоединением буксировочного водила от передней стойки шасси,
необходимо разгрузить водило (снять статическое напряжение с трубы):
- после установки ВС на стояночный тормоз и установки упорных колодок, тягач
должен немного переместиться до появления свободного хода буксировочной
серьги в фаркопе тягача

58.

Тема 8. Наземное обслуживание ВС. Буксировка ВС.
Все должны осознавать, что запас прочности самолета не
бесконечен, и он может быть поврежден во время буксировки
превышением эксплуатационных нагрузок;
необходимо постоянно следить за ними и не превышать
значений, указанных в руководстве по эксплуатации данного
типа ВС.
Для исключения повреждения конструкции ВС при буксировке (в случае
превышения эксплуатационных нагрузок) на применяемых буксировочных водилах и
адаптерах устанавливаются срезные болты в осевом и радиальном направлении
нагрузок (усилие тяги вперед-назад и боковое усилие при повороте)
Срезной болт имеет специальные проточки на стержне болта
При превышении расчетной
нагрузки, стержень
срезного болта срезается в
месте проточки, расцепляя
адаптер и снижая нагрузку.

59.

Тема 8. Наземное обслуживание ВС. Буксировка ВС.
В случае разрушения срезного болта в процессе буксировки в обязательном порядке
необходимо найти все разрушенные части срезного болта и сдать их в расходную
кладовую ИАС по Акту, в котором указать обстоятельства среза болта.
При разрушении срезного болта в процессе буксировки необходимо установить
причину среза и, при отсутствии повреждений ВС или буксировочного оборудования,
заменить срезной болт на соответствующий типу буксируемого ВС.
Обязательное
требование!

60.

Тема 8. Наземное обслуживание ВС. Буксировка ВС.
Буксировка безводильным тягачом (TBL)
Осуществляется тягачами типа:
LEKTRO: затягивание передней опоры шасси леером
на ковш при ручном управлении гидромоторами,
подъем ковша и дальнейшее перемещение ВС в
необходимый пункт;
TLD: автоматический захват колес передней опоры
шасси, подъем и дальнейшее перемещение ВС в
необходимый пункт

61.

Тема 8. Наземное обслуживание ВС. Буксировка ВС.
Буксировка безводильным тягачом (TBL)
Установка колес носовой стойки шасси на ковш
безводильного тягача производится до снятия ВС
со стояночного тормоза и уборки упорных колодок
из-под колес основных стоек шасси.
Перед подъемом, РБ сообщает ЭК о начале подъема.
В процессе подъема, РБ постоянно контролирует
натяжение тягового леера и, при необходимости,
корректирует его натяжение;
ПС (или ЛС) по указанию РБ контролирует положение
ВС, находясь сбоку от ВС
При буксировке ВС методом TBL, не допускать контакта полированной поверхности
амортизатора стойки шасси ВС с любыми металлическими деталями стропы.

62.

Тема 8. Наземное обслуживание ВС. Буксировка ВС.
Буксировка безводильным тягачом (TBL)

63.

Тема 8. Наземное обслуживание ВС. Буксировка ВС.
До начала буксировки должна быть деактивирована
система разворота передней стойки шасси ВС
Расстыкован шлиц-шарнир
ИЛИ
Отключен разворот

64.

Тема 8. Наземное обслуживание ВС. Буксировка ВС.
До начала буксировки должны быть установлены
предохранительные пины в механизмы уборки шасси ВС

65.

Тема 8. Наземное обслуживание ВС. Буксировка ВС.
Во время буксировки запрещено превышать угол разворота колес
передней стойки шасси (на большинстве типов ВС)
НЕ СОБЛЮДЕНИЕ ЭТОГО ТРЕБОВАНИЯ ПРИВЕДЕТ К ОТКАЗУ
СИСТЕМЫ РАЗВОРОТА КОЛЕС ПЕРЕДНЕЙ СТОЙКИ ШАССИ ВС!!!

66.

Тема 8. Наземное обслуживание ВС. Буксировка ВС.

67.

Тема 8. Наземное обслуживание ВС. Буксировка ВС.
По окончании буксировки:
состыкуйте шлиц-шарнир (активируйте разворот колес ПОШ,
состыкуйте ШР-ы датчиков и металлизации (при наличии);
разверните колеса ПОШ по продольной оси ВС
установите упорные колодки (при буксировке на точку
запуска двигателей – дайте команду на включение
стояночного тормоза ВС)
снимите предохранительные пины безопасности (при
буксировке на точку запуска двигателей)

68.

Тема 8. Наземное обслуживание ВС. Буксировка вертолетов на лыжном шасси
Буксировка вертолетов на лыжном шасси выполняется:
С применением транспортировочных колес
С применением транспортировочных тележек
Комбинированным способом

69.

Тема 8. Наземное обслуживание ВС. Буксировка вертолетов на лыжном шасси
Буксировочная тележка на
транспортировочной платформе
Буксировочная тележка в рабочем
положениии
Адаптеры для лыжного шасси
Подъем лыжного шасси с установленными адаптерами осуществляется синхронно
гидромотором тележки.
Передвижение тележки также обеспечивает гидромотор (работающий от 4-х аккумуляторов)
Запас хода при полностью заряженных аккумуляторах составляет не менее 3,5 км.
Управление дистанционное - с пульта оператора (руководителя буксировочной бригады).
Поворот в движении осуществляется заносом влево/вправо хвостовой балки вертолета
сопровождающим (или членом экипажа)

70.

Тема 8. Наземное обслуживание ВС. Заправка ВС топливом.
ЗАПРАВКА ВС ТОПЛИВОМ
Работы
по
заправке
ВС
топливом
осуществляются
из
цистерн
топливозаправочных агрегатов (ТЗА) :
закрытым способом - под давлением через штуцер централизованной
заправки на ВС;
открытым способом - через заливные горловины топливных баков ВС.

71.

Тема 8. Наземное обслуживание ВС. Заправка ВС топливом.
ЗАПРАВКА ВС ТОПЛИВОМ
уровень
1
уровень
2
-
подготовительные и заключительные
обеспечением соответствующих мер безопасности;
операции
по
заправке
с
-
стандартная
заправка
суммарного
количества
топлива
в
автоматическом режиме работы системы централизованной заправки.
Уровень 2 включает все операции уровня 1 и операции автоматической заправки с
установкой задатчиками на соответствующих индикаторах топливных баков или
индикаторе суммы всех баков требуемого суммарного количества заправляемого
топлива.
уровень 3 - стандартная заправка топливом с распределением топлива по бакам
(группам баков) в соответствии со спецификой конкретного типа ВС, или согласно
расчетам распределения топлива по бакам, полученным от экипажа ВС и указанным
в листе заправки (Aircraft Refuel Sheet).
Уровень 3 включает все операции уровней 1 и 2, и операции распределения и
контроля количества заправляемого топлива по бакам, используя ручное закрытие
крана заправки соответствующего бака или, при наличии - автоматический режим
заправки по уровню 2, а также определение расхождения в количестве топлива в
баке и сравнения его с максимально допустимым
уровень 4 - «нестандартная» заправка при неисправности топливной системы ВС
–выполняется экипажем ВС или инженерно-техническим составом эксплуатанта

72.

Тема 8. Наземное обслуживание ВС. Заправка ВС топливом.
До начала работ по заправке ВС топливом :
убедиться в наличии средств пожаротушения;
проверить, что РЛС ВС не работает;
ВС на стояночном тормозе, установлены упорные колодки;
подгон ТЗА по схеме не ближе 5 м до крайней точки ВС
Перед заправкой ВС топливом необходимо:
Заземлить ВС (GROUNDING)
Заземлить ТЗ
Выровнять потенциалы между ТЗ и ВС (BONDING)
Это называется
«заземлить по треугольнику»
ВС-ТЗ-ЗЕМЛЯ:
ВС – земля
ТЗ – земля
ВС - ТЗ
Перед заправкой ВС топливом, оператор-поставщик топлива обязан предоставить
паспорт на авиационное топливо и предъявить ответственному за заправку ВС
топливом контрольную пробу топлива, слитую из отстойника цистерны ТЗ
При наличии в контрольной пробе примесей в виде воды, льда, грязи,
топливо из этого ТЗ не допускается к заправке ВС топливом.
О данном факте специалист ИАС, обязан сообщить начальнику смены ИАС

73.

Тема 8. Наземное обслуживание ВС. Заправка ВС топливом.
Меры предосторожности при заправке ВС топливом
Во время заправки ВС топливом ЗАПРЕЩЕНО :
включать или отключать источники электроснабжения
запускать или работать подогревателями воздуха
курить ближе 75м
размещать любые СНО ближе 3м к заправочным горловинам
или к заправочному оборудованию
пользоваться мобильными девайсами (телефон, смартфон, планшет)
ВНИМАНИЕ!
Категорически
запрещено
переезжать
колесами
САТ
или
СНО,
наступать ногами на заправочные рукава и тросы заземления или
выравнивания потенциалов.
ВАЖНО!
Пути эвакуации персонала и ТЗА должны быть постоянно свободны на
случай возгорания или пожара при разливе (обливе) топлива!
Особенности выполнения работ по заправке ВС топливом приведены в
разделе 17 Руководства по оказанию технической помощи экипажам ВС.
Организация, взаимодействие и порядок заправки – в Технологии
взаимодействия

74.

Тема 8. Наземное обслуживание ВС. Заправка ВС топливом под давлением.
Заправка ВС топливом закрытым способом под давлением
(заправка «снизу»)
Осуществляется путем перекачки топлива из цистерны ТЗА с помощью
насосов через фильтры и счетчики расхода ТЗА в баки ВС через
бортовой штуцер с обратным клапаном и запорным устройством.
Во время заправки необходимо постоянно
контролировать соединения каплинга к
бортовому штуцеру и рукава на отсутствие
течи топлива, перелива топлива из
дренажных баков ВС
Давление топлива в заправочном шланге
должно быть не более 30-50psi (2,0-3,4 кг/см2)

75.

Тема 8. Наземное обслуживание ВС. Заправка ВС топливом открытым способом.
Заправка ВС топливом открытым способом
(заправка «сверху»)
Осуществляется путем перекачки топлива из цистерны ТЗА с помощью
насосов через фильтры и счетчики расхода ТЗА, рукав заправки с
раздаточным пистолетом в заливные горловины топливных баков ВС .
ЗАПРЕЩЕНА ЗАПРАВКА ОТКРЫТЫМ СПОСОБОМ ПРИ ДОЖДЕ,
СИЛЬНОМ ВЕТРЕ С ПЫЛЬЮ, ВО ВРЕМЯ ГРОЗЫ

76.

Тема 8. Наземное обслуживание ВС. Заправка ВС топливом открытым способом.
Заправка ВС топливом открытым способом
(заправка «сверху»)
Точка заземления
пистолета
Перед заправкой ВС открытым способом, осмотреть поверхность крыла в зоне
заправки, после чего уложить предохранительный чехол на поверхность обшивки
крыла (во избежание её повреждения)
При наличии видимых повреждений (вмятин, царапин, сколов) поверхности
обшивки крыла, ЗАПРАВКУ НЕ НАЧИНАТЬ, сообщить о наличии повреждений
экипажу ВС и начальнику смены ИАС!
При отсутствии тросика или точки заземления раздаточного пистолета,
перед началом заправки необходимо коснуться пистолетом обшивки крыла
на расстоянии не менее 1,5м от заправочной горловины

77.

Тема 8. Наземное обслуживание ВС. Заправка ВС топливом.
При заправке ВС топливом (сливе топлива) запрещается:
подключать и отключать от ВС источники электроэнергии, использовать
электроинструменты, которые могут стать источниками искры или электродуги, включать
бортовые потребители электроэнергии, не связанные с заправкой ВС и ее контролем,
располагать кабели, соединяющие судно с источником электроэнергии, на пути подъезда
(отъезда) средств наземного обслуживания;
начинать заправку (слив топлива) при разлитом топливе на стоянке, когда топливом
облито ВС или ТЗ, при обнаружении паров топлива внутри ВС;
подогревать двигатели, изделия и системы, воздух в кабине экипажа и пассажирских
салонах;
пользоваться открытым огнем, неисправными электрическими лампами (фонарями) для
контроля работ при заправке (сливе);
располагать двигатель ТЗ под заправляемым воздушным судном;
проезжать или останавливаться под ВС любым видам транспорта;
не допускается размещать любые СНО ближе 3 м к заправочным горловинам ВС или
оборудованию ТЗ, наступать ногами и переезжать заправочные рукава и тросы заземления;
начинать заправку, если нет свободного пути отхода (отвода) ТЗ от ВС и при наличии
перегрева тормозных устройств колес ВС;
заправка открытым способом при дожде и сильном ветре с пылью, во время грозы (при
разрядах атмосферного электричества);
заправка под давлением закрытым способом при грозовых разрядах;
пользоваться мобильными телефонами (смартфонами, пэйджерами и т.п.)

78.

Тема 8. Наземное обслуживание ВС. Заправка ВС топливом.
Специалисты, допущенные к работам, выполняемых при
заправке ВС топливом, должны знать:
Общие требования по заправке ВС ГСМ;
Типы авиационного топлива;
Опасность статического электричества;
Противопожарные требования при заправке ВС топливом;
Методы контроля топлива на наличие примесей;
Оборудование и СНО, применяемое при заправке ВС топливом;
Особенности заправки топливом ВС с пассажирами на борту;
Действия при разливах топлива;
Технологию выполнения работ по заправке ВС топливом под
давлением и методом налива по типам ВС;
Расчет объема топлива в зависимости от его плотности;
Расположение и технологию открытия и закрытия сервисных
(топливных)лючков на ВС;
Требования техники безопасности и охраны труда;
Правила подъезда и отъезда топливозаправщиков.

79.

Тема 8. Наземное обслуживание ВС. Заправка ВС топливом.
Бортовой штуцер централизованной
заправки топливом на ВС типа CL60
Давление топлива в
заправочном рукаве
не должно быть более
50±5psi (3,45±0,3кг/см2)
Панель управления
централизованной заправки топливом
Сервисный лючок и бортовой штуцер
централизованной заправки топливом

80.

Тема 8. Наземное обслуживание ВС. Обеспечение ВС наземным электропитанием.
Обеспечение ВС наземным электропитанием
выполняется на МС перрона и в ангарах, оборудованных
стационарными электрическими распределительными колонками
с помощью наземных источников электропитания (НИЭП),
а также с помощью передвижных (мобильных)
агрегатов с автономным двигателем.
Постоянный ток
(DC)
Наземное
электроснабжение ВС
Переменный ток
(AC)
28В
СТАНДАРТ
115В 400Гц
27,0…29,4В
ДОПУСТИМОЕ
ОТКЛОНЕНИЕ
113…118В
380…420Гц
При работе с НИЭП ЗАПРЕЩАЕТСЯ:
Включать/выключать источник электропитания ВС
во время заправки ВС топливом;
Подсоединять ШРАП к бортовому разъему ВС, если на силовых или
сигнальных контактах ШРАП присутствуют грязь, нагар, влага
или корпус ШРАП имеет трещины и повреждения;
Эксплуатировать НИЭП, выходные параметры которого
не соответствуют стандартам качества электроэнергии;
Повторное (без выяснения причины)включение НИЭП под нагрузку ВС,
если произошло его аварийное отключение или сработала система
автоматической защиты.

81.

Тема 8. Наземное обслуживание ВС. Обеспечение ВС наземным электропитанием.

82.

Тема 8. Наземное обслуживание ВС. Обеспечение ВС наземным электропитанием.
Электрическая распределительная колонка предназначена для
распределения электроэнергии трехфазного переменного тока
промышленной частоты 380В 50Гц
Прокладывая кабели от электроколонки до НИЭП
и от НИЭП до ВС необходимо максимально исключить
Штепсельный Разъем
Питания
возможность переезда силовых кабелей СНО Аэродромного
или
САТ
(ШРАП)
28В
ШРАП-500
ASK-2
Выпрямитель постоянного
тока 28В
380В
50Гц
ИЛИ
380В
50Гц
115В 400Гц
ШРАП-400
Автономный НИЭП (типа HITZINGER)
с дизель-генератром на автомобильном шасси
СК-100
Преобразователь
переменного тока 115В

83.

Тема 8. Наземное обслуживание ВС. Обеспечение ВС наземным электропитанием.
Бортовой разъем 28В
ШРАП-500
Бортовой разъем 115В
ШРАП-400

84.

Тема 8. Наземное обслуживание ВС. Обеспечение ВС наземным электропитанием.

85.

Тема 8. Наземное обслуживание ВС. Заправка ВС питьевой водой.
ТРЕБОВАНИЯ БЕЗОПАСНОСТИ ПРИ ЗАПРАВКЕ ВС ПИТЬЕВОЙ ВОДОЙ
Не допускается одновременное выполнение процедур обслуживания туалета ВС и заправки питьевой водой
Выполнять функции оператора водозаправщика не должно
выполнял обслуживание туалетных систем ВС в ту же смену
производиться
персоналом,
который
уже
Подавать воду под давлением на борт ВС возможно только после получения разрешения представителя
эксплуатанта (экипажа ВС)
Заправочные рукава и адаптеры для питьевой воды должны храниться с установленными на них чистыми
заглушками и транспортироваться в специально предназначенных отсеках водозаправщика
Оператор по заправке питьевой водой:
- должен носить чистую спецодежду и требуемые СИЗ;
- тщательно мыть руки водой с мылом или надевать новые одноразовые перчатки перед началом
процедуры заправки ВС питьевой водой;
- не должен совмещать работу на ассенизационных машинах в одной смене
Баки водозаправщиков должны проходить промывку, обеззараживание в течение
промывку до заливки в них питьевой воды не реже чем один раз в месяц
24 ч.
и повторную
После процедуры обеззараживания и промывки бака водозаправщика, выполняется лабораторный анализ
питьевой воды, заправленной в бак. Если результаты анализа не соответствуют СанПиН 2.1.4.1074-01,
производится слив заправленной питьевой воды в канализацию, повторное обеззараживание и промывка
водяного бака водозаправщика

86.

Тема 8. Наземное обслуживание ВС. Заправка ВС питьевой водой.
ЭКСПЛУАТАЦИОННЫЕ ТРЕБОВАНИЯ ПРИ ЗАПРАВКЕ ВС ПИТЬЕВОЙ ВОДОЙ
Перед подсоединением заправочного шланга к бортовому штуцеру ВС, промойте шланг выпустив из него
необходимое количество воды (обычно 2-4 литра), после чего обнулите счетчик расхода воды
Необходимо учитывать требования типовой эксплуатационной документации ВС к технологии выполнения
процедуры, к максимальному объему заправляемой питьевой воды в баки ВС и к техническим
характеристикам водозаправщиков
Во время процедуры заправки или слива воды, оператор обязан контролировать герметичность
соединений, количество заправляемой воды, своевременно включать и выключать насосное оборудование
водозаправщика
При использовании для слива воды специальных поддонов, не оставлять без присмотра
поддон под
самолетом. Применять меры по исключению самопроизвольного движения поддона под воздействием ветра
(струи от двигателей рулящих ВС и т.п) и касания поддона о конструкцию ВС
При откачке слитой воды из поддона с помощью вакуумного насоса водозаправщика, не допускать
попадания посторонних предметов в рукав для откачки воды
ЗАПРЕЩАЕТСЯ помещать в поддон для слива воды любые посторонние предметы
При использовании специальных тележек для слива воды:
- после установки тележки под штуцером слива воды с ВС, заблокировать перемещение тележки
включением стояночного тормоза и проверить перемещение тележки рукой;
- по окончании слива воды с ВС освободить емкость от воды;
стояночный тормоз тележки должен быть включен всегда, если тележка не транспортируется.
ВНИМАНИЕ: не устанавливать тележку под ВС, если дистанция между тележкой и
конструкцией ВС менее 0,3м – возможно повреждение ВС и/или оборудования при
изменении центровки ВС.

87.

Тема 8. Наземное обслуживание ВС. Заправка ВС питьевой водой.
ВЫПОЛНЕНИЕ РАБОТ ПРИ ПОНИЖЕННЫХ ТЕМПЕРАТУРАХ ВОЗДУХА
В холодное время года запрещается сливать воду из ВС на
использовать оборудование водозаправщика или сливать воду
устанавливаемые под штуцер дренажа или слива воды из ВС.
перрон. Для слива воды
в специальные поддоны,
Для предотвращения замерзания воды в водяных баках и магистралях ВС при пониженных
температурах наружного воздуха, необходимо:
- не закрывать заглушки заправочного и сливного (дренажного) штуцера при сливе воды из
ВС, пока не прекратиться капельная течь воды из штуцера.
- предупреждать эксплуатанта о необходимости прогрева водяного бака и магистралей ВС до
положительной температуры до начала заправки ВС питьевой водой.
- начинать заправку ВС водой(подавать давление в водяной заправочный шланг)только после
получения подтверждения от эксплуатанта о готовности ВС к заправке питьевой водой
(прогреве кабины ВС до положительных температур).
1) ДЕРЖИТЕ ЗАКРЫТЫМИ ГРУЗОВЫЕ ЛЮКИ ВС КОГДА НЕ ПРОИЗВОДИТСЯ РАЗГРУЗКА ИЛИ ЗАГРУЗКА
БАГАЖНЫХ/ГРУЗОВЫХ ОТСЕКОВ, ЧТОБЫ ПРЕДОТВРАТИТЬ ЗАМЕРЗАНИЕ ВОДОПРОВОДОВ ВС.
2) НЕ ПЫТАЙТЕСЬ УДАЛИТЬ МЕХАНИЧЕСКИМ СПОСОБОМ ЛЕД ИЗ ВОДЯНОЙ ЛИНИИ ИЛИ СО ШТУЦЕРОВ
НА СЕРВИСНЫХ ПАНЕЛЯХ. СООБЩИТЕ ОБ ЭТОЙ ПРОБЛЕМЕ ЭКСПЛУАТАНТУ (ЭКИПАЖУ ВС).
Удаление льда с сервисной панели системы водоснабжения ВС допускается производить только
теплым воздухом
При отрицательной температуре воздуха, во избежание повреждения ВС, водяная система ВС
должна сливаться по требованию экипажа ВС или по решению начальника смены ИАС и в
соответствии с РОНО эксплуатанта

88.

Тема 8. Наземное обслуживание ВС. Заправка ВС питьевой водой.
Сервисный лючок
водяной панели
«Т»-образная ручка
Заправочный штуцер
ВНИМАНИЕ!
При отрицательных температурах наружного воздуха и при
продолжительной стоянке ВС на открытом воздухе:
1) Заправку водяного бака начинать после
прогрева
салона;
Дренажный
штуцер
2) Крышки штуцеров закрывать после окончания капельной течи воды.
Заправка водяной системы ВС:
Открыть лючок и крышки штуцеров;
Подсоединить рукав заправки;
Открыть клапан заправки, потянув Т-обр.
ручку на себя
Включить подачу воды из водозаправщика
При полной заправке водяного бака излишек
ВНИМАНИЕ!
воды потечет из дренажного штуцера
В случае замерзания крышек штуцеров, КАТЕГОРИЧЕСКИ ЗАПРЕЩАЕТСЯ
Отключить подачу воды из водозаправщика
применение
ударного
инструмента
для открытия крышек!
Отсоединить
заправочный
рукав (при
этом небольшое
Для воды
открытия
применяйте
отогрев– от
ТОЛЬКО теплым воздухом!
количество
будет –
слито
из трубопровода
клапана до бортового штуцера заправки)
Закрыть крышки бортовых штуцеров и сервисный лючок
ПРЕДЪЯВИТЬ ЭКИПАЖУ ВС ДЛЯ КОНТРОЛЯ!!!
Давление воды в заправочном рукаве
Рв не более 45 psi/3,2 кг/см2

89.

Тема 8. Наземное обслуживание ВС. Заправка ВС питьевой водой.
Некоторые типы ВС
имеют индикацию
уровня воды в баке

90.

Тема 8. Наземное обслуживание ВС. Обработка баков санузлов ВС.
ТРЕБОВАНИЯ БЕЗОПАСНОСТИ ПРИ ОБСЛУЖИВАНИИ ТУАЛЕТОВ ВС
Полная процедура обслуживания бака туалета ВС состоит из 3 этапов:
1) Слив бака(ов);
2) Промывка бака(ов);
3) Заправка бака водой и добавление концентрированного дезодоранта в необходимом
количестве или заправка предварительно разбавленного в необходимом количестве водой
дезодоранта
Туалетные жидкости обладают коррозионными свойствами, не допускайте попадания жидкости
на конструкцию ВС, СНО и средства механизации
Перед началом процедуры обслуживания туалета ВС проверьте состояние сервисной панели
туалета ВС на наличие признаков утечки жидкости. Если наблюдаются синие (голубые)
потеки внутри сервисной панели или на обшивке фюзеляжа позади сервисной панели,
протрите потеки чистой мягкой ветошью. После очистки проверьте еще раз на наличие
утечки
ОБРАЗОВАНИЕ ГОЛУБОГО ЛЬДА ИЗ-ЗА УТЕЧКИ ЖИДКОСТИ НА БОЛЬШИХ ВЫСОТАХ МОЖЕТ ВЛИЯТЬ НА
ЛЕТНУЮ ГОДНОСТЬ. В СЛУЧАЕ ОБНАРУЖЕНИЯ ЛЬДА НА СЕРВИСНОЙ ПАНЕЛИ ТУАЛЕТА ПО ПРИЛЕТУ
ВС, НЕМЕДЛЕННО СООБЩИТЕ ПРЕДСТАВИТЕЛЮ ЭКСПЛУАТАНТА (ЭКИПАЖУ ВС).
Персонал, выполняющий функции оператора по обслуживанию туалетов ВС не может выполнять
функции оператора по заправке в ВС или сливу питьевой воды из ВС в ту же смену.
В случае пролива содержимого туалета ВС на перрон оператор, осуществляющий обслуживание
туалетных систем ВС, должен принимать меры для немедленного удаления образовавшегося
загрязнения поверхности перрона

91.

Тема 8. Наземное обслуживание ВС. Обработка баков санузлов ВС.
ЭКСПЛУАТАЦИОННЫЕ ТРЕБОВАНИЯ ПРИ ОБСЛУЖИВАНИИ ТУАЛЕТОВ ВС
Необходимо учитывать требования типовой эксплуатационной документации ВС к технологии
выполнения процедуры, к максимальному объему заправляемой воды или спецжидкости в баки
туалетов ВС, объему концентрированных дезодорантов и к техническим характеристикам
ассенизационных машин
Используйте специальную защитную одежду, плотные резиновые перчатки и защитные очки при
выполнении процедуры
Прежде чем открывать сервисную панель туалета, проверьте, нет ли пятен или потеков
вокруг панели
Открывая сервисную панель, держитесь как можно дальше и внимательно следите за
возможным появлением утечки
Убедитесь, что замок каплинга сливного рукава правильно подсоединен к бортовому
штуцеру, прежде чем потянуть за ручку сливного клапана
Держитесь подальше от сливного штуцера при открытии его клапана слива и следите за
признаками утечки
Во время слива содержимого бака туалета, приемный рукав может вибрировать из-за работы
вакуумного насоса спецмашины и набирать значительный вес, поддерживайте его руками для
минимизации риска срыва каплинга приемного рукава с бортового штуцера
После слива отходов из бака туалета, дважды промойте бак(и) для отходов и снова
опорожните их

92.

Тема 8. Наземное обслуживание ВС. Обработка баков санузлов ВС.
ЭКСПЛУАТАЦИОННЫЕ ТРЕБОВАНИЯ ПРИ ОБСЛУЖИВАНИИ ТУАЛЕТОВ ВС
Заполните бак(и) туалета соответствующим типу ВС:
- необходимым количеством воды и опустите в унитаз пакеты с концентрированным
дезодорантом (или передайте пакеты экипажу ВС);
или
- слейте в унитаз необходимое количество жидкого концентрата и смойте унитаз водой,
если применимо;
или
- заполните бак(и) для отходов необходимым количеством специальной жидкости
(предварительно разбавленным концентрированным дезодорантом).
Полностью удалите остатки жидкости из сливного рукава, после чего отсоедините сливной
рукав от бортового штуцера ВС. Уберите сливной рукав и заправочный шланг в
предназначенные для них транспортировочные ниши
Полностью удалите остатки жидкости из сливного рукава, после чего отсоедините сливной
рукав от бортового штуцера ВС. Уберите сливной рукав и заправочный шланг в
предназначенные для них транспортировочные ниши
Не допускается оставлять остатки жидкости в сливном рукаве
После закрытия сливного клапана и отсоединения сливного рукава, убедитесь в отсутствии
утечки из-под сливного клапана
Плотно закройте крышку сливного штуцера, чтобы предотвратить скопление льда во время
полета, и вытрите сухой ветошью остатки воды и дезинфицирующего средства
Перед закрытием сервисной панели еще раз осмотрите закрытие крышки и заглушки на
возможные утечки
После обслуживания закройте и зафиксируйте заглушки и дверцу сервисной панели

93.

Тема 8. Наземное обслуживание ВС. Обработка баков санузлов ВС.
ЭКСПЛУАТАЦИОННЫЕ ТРЕБОВАНИЯ ПРИ ОБСЛУЖИВАНИИ ТУАЛЕТОВ ВС
Сообщите представителю эксплуатанта или экипажу ВС если:
1. Наблюдается подтекание жидкости.
2. Сливной клапан не открывается или бак для отходов не может быть слит.
3. Сообщите о любом разливе отходов своему руководителю.
Не допускайте волочения приемного рукава по искусственному покрытию перрона во
избежание повреждения гофры рукава и попадания отходов на поверхность перрона.
ЭКСПЛУАТАЦИЯ ПРИ ПОНИЖЕННЫХ ТЕМПЕРАТУРАХ ВОЗДУХА
В холодное время года, после процедуры слива и промывки бака туалета ВС, не закрывайте
клапаны и не устанавливайте заглушки на сервисной панели в течении 3-5 мин или до
окончания стекания остатков жидкости из сливного и заправочного штуцеров
Если необходимо заправить туалет на ВС, простоявшем на открытом воздухе при
отрицательных температурах, необходимо предупредить эксплуатанта (экипаж) ВС о
необходимости прогреть туалетную систему ВС до положительной температуры до начала
заправки бака туалета
Начинать заправку (подавать давление воды или спецжидкости в заправочный шланг) после
получения подтверждения от эксплуатанта (экипажа ВС) о готовности (прогреве) систем ВС
1) ДЕРЖИТЕ ЗАКРЫТЫМИ ГРУЗОВЫЕ ЛЮКИ ВС КОГДА НЕ ПРОИЗВОДИТСЯ РАЗГРУЗКА ИЛИ ЗАГРУЗКА
БАГАЖНЫХ/ГРУЗОВЫХ ОТСЕКОВ, ЧТОБЫ ПРЕДОТВРАТИТЬ ЗАМЕРЗАНИЕ ТРУБОПРОВОДОВ ТУАЛЕТНОЙ
СИСТЕМЫ ВС.
2) НЕ ПЫТАЙТЕСЬ УДАЛИТЬ МЕХАНИЧЕСКИМ СПОСОБОМ ЛЕД СО ШТУЦЕРОВ ИЛИ С СЕРВИСНОЙ ПАНЕЛИ.
СООБЩИТЕ ОБ ЭТОЙ ПРОБЛЕМЕ ЭКСПЛУАТАНТУ (ЭКИПАЖУ ВС).
Удаление льда с сервисной панели обслуживания туалета ВС допускается производить только
теплым воздухом

94.

Тема 8. Наземное обслуживание ВС. Обработка баков санузлов ВС.
Сервисный лючок
заднего санузла
Штуцер промывки и
заправки
«Т»-образная ручка
сливного клапана
Крышка сливной
горловины
СЛИВ бака санузла ВС:
Открыть сервисный лючок;
Открыть крышку сливной горловины, разблокировав замок;
Подсоединить сливной рукав к горловине;
Стопор
Открыть предохранительный клапан, нажав на стопор;
предохранительного
Открыть сливной клапан, потянув «Т»-образную ручку на себя;
клапана
Слить самотеком содержимое бака в приемный бак TS;
Для удаления остатков в сливном рукаве – включить вакуумный
насос на TS;
Закрыть сливной клапан, нажав на «Т»-образную ручку;
ВНИМАНИЕ!
Отсоединить сливной рукав и уложить его в гнездо TS;
При сливе
самотеком
и откачке
с использованием
вакуумного насоса –
Закрыть
крышку
сливной горловины
и сервисный
лючок
поддерживать сливной рукав рукой.
работеВСиспользовать
специальные перчатки и очки!
ПРЕДЪЯВИТЬПри
ЭКИПАЖУ
ДЛЯ КОНТРОЛЯ!!!

95.

Тема 8. Наземное обслуживание ВС. Обработка баков санузлов ВС.
Сервисный лючок
заднего санузла
Штуцер промывки и
заправки
«Т»-образная ручка
сливного клапана
ВНИМАНИЕ!
При отрицательных температурах наружного воздуха и при
продолжительной стоянке ВС на открытом воздухе:
1) Заправку бака санузла ВС начинать после прогрева салона;
Крышка сливной
2) Крышки штуцеров закрывать после окончания
горловины капельной течи воды.
ПРОМЫВКА и ЗАПРАВКА бака санузла ВС:
Слить содержимое приемного бака санузла;
Снять заглушку со штуцера промывки и заправки
ВНИМАНИЕ!
Подсоединить каплинг шланга промывки и заправки к штуцеру;
Стопор
работе
использовать
специальные
перчатки
и очки!
При
Включить
подачу
воды в заправочный
шланг TS
на 2 мин.
предохранительного
После промывки слить содержимое бака ВС;
клапана
Закрыть сливной клапан и заправить в бак техническую воду
в требуемом количестве (по типу ВС);
Отсоединить сливной рукав и шланг заправки, уложить их в
гнезда TS;
ВНИМАНИЕ!
Закрыть крышку сливной горловины, штуцер заправки и
В случае
замерзания крышек штуцеров или крышек сливной горловины,
сервисный
лючок
КАТЕГОРИЧЕСКИ ЗАПРЕЩАЕТСЯ применение ударного инструмента для
открытия крышек!
ПРЕДЪЯВИТЬ ЭКИПАЖУ ВС ДЛЯ КОНТРОЛЯ!!!
Для открытия – применяйте отогрев ТОЛЬКО теплым воздухом!

96.

Тема 8. Наземное обслуживание ВС. Зарядка систем ВС сжатым азотом.
Зарядка систем ВС сжатым азотом
Сжатый азот
NITROGEN
Низкое давление
до 3,5 кг/см2 (50 psi)
Высокое давление
до 250 кг/см2 (3600 psi)
зарядка колес шасси ВС
зарядка гидроаккумуляторов
зарядка колес шасси СНО
зарядка амортстоек шасси
PSI (pounds per square inch) — фунт на квадратный дюйм
Выполняется подготовленными
по ГБО специалистами ИАС с
применением
газобаллонных
тележек
и
азотозаправщиков
на
автомобильном шасси, с использованием специальных адаптеров и
метрологически поверенных манометров
ВНИМАНИЕ!
Газовые баллоны с азотом в азотозаправщиках,
регулирующая и запорная арматура ГБО
находятся под высоким давлением!

97.

Тема 8. Наземное обслуживание ВС. Зарядка систем ВС сжатым азотом.
Азотозаправщик на автомобильном шасси ГАЗОН NEXT

98.

Тема 8. Наземное обслуживание ВС. Зарядка систем ВС сжатым азотом.
Азотозаправщик на прицепной 4-х
баллонной тележке J-CART-4BN-BOOSTER
При снижении давления азота в
баллонах – используется дожимающий
бустер (усилитель давления)
Специальные приспособления для зарядки систем ВС азотом
Манометр для проверки
давления в амортстойке
Приспособление для
стравливания давления из
амортстойки
Измеритель давления в шине
колеса с клапаном подкачки

99.

Тема 8. Наземное обслуживание ВС. Зарядка систем ВС сжатым азотом.
Азотозаправщик на прицепной 4-х
баллонной тележке АЗГ СН.04А При
снижении давления азота в
баллонах – используется
дожимающий бустер (усилитель
давления)

100.

Тема 8. Наземное обслуживание ВС. Зарядка систем ВС сжатым азотом.
Редуктор для накачки колес
шасси ВС низким давлением
Измеритель давления в шине
колеса шасси ВС
адаптеры

101.

Тема 8. Наземное обслуживание ВС. Зарядка систем ВС сжатым азотом.

102.

Тема 8. Наземное обслуживание ВС. Зарядка систем ВС медицинским кислородом.
Зарядка систем ВС медицинским кислородом
Сжатый медицинский кислород
OXYGEN
Высокое давление
до 250 кг/см2 (3600 psi)
зарядка стационарных
баллонов экипажа
зарядка переносных баллонов
для пассажиров
Выполняется подготовленными
по ГБО специалистами ИАС с
применением газобаллонных тележек и кислородозаправщиков на
автомобильном шасси, с использованием специальных адаптеров и
метрологически поверенных манометров
ВНИМАНИЕ!
Газовые баллоны с медицинским кислородом
в кислородозаправщиках,
регулирующая и запорная арматура ГБО
находятся под высоким давлением!

103.

Тема 8. Наземное обслуживание ВС. Зарядка систем ВС медицинским кислородом.
Кислородозаправщик
на автомобильном шасси ГАЗОН NEXT
Кислородозаправщик на прицепной
тележке ГБО
При снижении давления азота в баллонах
– используется дожимающий бустер
(усилитель давления)

104.

Тема 8. Наземное обслуживание ВС. Зарядка систем ВС медицинским кислородом.
Кислородозаправщик на прицепной
6-ти баллонной тележке СН.04К.
При снижении давления азота в
баллонах – используется
дожимающий бустер (усилитель
давления)
Кислородозаправщик на прицепной
4-х баллонной тележке СН.04К.
При снижении давления азота в
баллонах – используется
дожимающий бустер (усилитель
давления)

105.

Тема 8. Наземное обслуживание ВС. Зарядка систем ВС медицинским кислородом.
Специальные приспособления для зарядки систем ВС
медицинским кислородом:
Специальные омедненные и
никелированные ключи (не создающие
искры при ударении о металл)
адаптеры
ВНИМАНИЕ: при зарядке систем ВС медицинским кислородом
необходимо установить заземление кислородозаправщика и
проверить наличие средств пожаротушения!

106.

Тема 8. Наземное обслуживание ВС. Зарядка систем ВС медицинским кислородом.
ВНИМАНИЕ: зарядка кислородной системы ВС газообразным
медицинским кислородом выполняется до давления
соответствующего температуре наружного воздуха!

107.

Тема 8. Наземное обслуживание ВС. Зарядка систем ВС медицинским кислородом.

108.

Тема 8. Наземное обслуживание ВС. Подогрев двигателей и салонов ВС.
Подогрев двигателей и салонов ВС теплым воздухом
Выполняется подготовленными
операторами ИАС с применением
подогревателей воздуха на автомобильном шасси или прицепных
ОПАСНО!
ЗАПРЕЩЕНО производить подогрев салонов или
двигателей ВС во время его заправки топливом!
МЕРЫ БЕЗОПАСНОСТИ:
Перед запуском подогревателя убедитесь в обеспечении мер пожарной
безопасности.
Располагать обогреватель не ближе 3м до крайней точки ВС.
Устанавливать обогреватель на месте работ таким образом, чтобы
выхлопные
газы не попадали на конструкцию ВС или на предметы, способные
самовоспламеняться, поддерживать горение или выделять газы при их нагреве
(учитывать направление ветра);
Не располагать рукав обогревателя ближе 100 мм. от сгораемых материалов;
Не отключать обогреватель путем предварительного выключения двигателя
генератора. Перед полным отключением обогреватель должен охладиться;
Не запускать обогреватель при не включенном стояночном тормозе;
Категорически запрещается производить заправку ВС топливом и кислородом, во
время работы (запуска) обогревателя вблизи ВС.

109.

Тема 8. Наземное обслуживание ВС. Подогрев двигателей и салонов ВС.

110.

Тема 8. Наземное обслуживание ВС. Запуск двигателей ВС от УВЗ.
Запуск двигателей ВС от установки воздушного запуска (УВЗ)
Выполняется подготовленными
установки воздушного запуска
операторами
ИАС
с
применением
УВЗ – источник сжатого воздуха высокого давления и температуры:
самолетная
вспомогательная
установка
(модуль
MSU)
на
автомобильном шасси с системой запуска и контроля работы
ОПАСНО!
Отключение УВЗ от бортового щтуцера ВС, закрытие
бортового лючка и выезд УВЗ из зоны запуска
только по команде выпускающего специалиста
Выход оператора УВЗ из-под ВС и выезд УВЗ из зоны запуска
– только по установленным маршрутам
вне опасных зон
ASU-600
работающего на режиме малого газа авиационного двигателя

111.

Тема 8. Наземное обслуживание ВС. Запуск двигателей ВС от УВЗ.

112.

Тема 8. Наземное обслуживание ВС. Кондиционирование воздуха.
Кондиционер воздуха ACU-802S
автономная установка, которая смонтирована на прицеп, и имеет в качестве привода
дизельный двигатель

113.

Тема 8. Наземное обслуживание ВС. Кондиционирование воздуха.
КОРИДОР ВХОДА И ВЫХОДА ПРИ ЗАПУСКЕ УВЗ
1. ВС установлено на стояночный тормоз, пока персонал находится в коридоре
входа (выхода).
2. Установлена надежная связь между наземным персоналом, находящимся в коридоре
входа и экипажем ВС.
3. Двигатель не должен превышать обороты малого газа.
4. Входящим в коридор персоналом учтены опасные зоны работающего двигателя.
5. На спецодежде входящего в коридор персонала отсутствуют незакрепленные
предметы, а головной убор соединен шлейфом с верхней одеждой.
УВЗ
УВЗ

114.

Тема 8. Наземное обслуживание ВС. Кондиционирование воздуха.
КОРИДОР ВХОДА И ВЫХОДА ПРИ ЗАПУСКЕ УВЗ

115.

Тема 8. Наземное обслуживание ВС. Установка пассажирского трапа.
Установка пассажирского трапа к борту ВС
Пассажирские трапы подъезжают на малой скорости до мягкого
соприкосновения амортизирующих устройств с ВС.
Выполняется подготовленными
специалистами ИАС
При установке передвижного пассажирского трапа к борту ВС, необходимо:
позиционировать упор верхней площадки трапа параллельно борту фюзеляжа, на
расстоянии 5 см и ниже на 5-10см относительно порога входной двери ВС – во
избежание повреждения фюзеляжа и окантовки входной двери ВС при её открытии;
при неблагоприятных погодных условиях установить «капюшон» на оборудованных
трапах;
опустить нижнюю подножку пассажирской лестницы и убрать заградительную ленту
лестницы;
сдвижную боковую панель установить с зазором не более 5 см от конструкции
входной двери ВС после открытия входной двери ВС и её фиксации;
До посадки/высадки пассажиров проверить:
- установку трапа на аутригеры;
- чистоту верхней площадки и ступеней лестницы трапа;
- отсутствие посторонних предметов на верхней площадке и ступенях лестницы
трапа;
- включение освещения пассажирской лестницы при недостаточной освещенности;
- установку нижней ступеньки в рабочее положение;
- снятие ограничительной стропы безопасности.

116.

Тема 8. Наземное обслуживание ВС. Установка пассажирского трапа.
Перед открытием входной двери прибывшего ВС:
Передать кабинному экипажу к визуальный сигнал о готовности к
открытию входной двери: после проверки готовности трапа дважды постучать во входную дверь ВС, показать кабинному
экипажу сигнал «ОК» подняв большой палец руки и ожидать
открытие входной двери изнутри экипажем.
При открытии двери кабинным экипажем – если это необходимо –
окажите помощь в развороте двери и её полном открытии,
установке двери на предохранительную защелку.
ВНИМАНИЕ:
При установленном трапе к борту ВС необходимо
следить за изменением центровки ВС - при заправке ВС
топливом, разгрузке или загрузке груза и багажа, посадке и
высадке пассажиров и при интенсивных осадках в зимний
период, которые скапливаются на стабилизаторе ВС, и
своевременно изменять положение верхней площадки ВС.
ОТСУТСТВИЕ КОНТРОЛЯ МОЖЕТ ПРИВЕСТИ К ОПУСКАНИЮ НИЖНЕЙ ОКАНТОВКИ
ОТКРЫТОЙ ВХОДНОЙ ДВЕРИ НА ПЛОЩАДКУ ПАССАЖИРСКОГО ТРАПА И
ПОВРЕЖДЕНИЮ ВС/ТРАПА ИЛИ ТРАВМЕ ПАССАЖИРОВ/ПЕРСОНАЛА

117.

Тема 8. Наземное обслуживание ВС. Установка пассажирского трапа.
ВНИМАНИЕ:
В гермокабине прибывшего ВС может быть избыточное
давление, которое может привести к
несанкционированному открытию двери (люка) и нанести
травму встречающему специалисту, находящемуся в зоне
опускания/открытия двери (люка).
Перед открытием двери (люка) ВС специалист должен
располагаться вне зоны открывания (опускания или подъема)
двери или люка, преимущественно сбоку от этой зоны.

118.

Тема 8. Наземное обслуживание ВС. Противообледенительная обработка.
Противообледенительная обработка ВС
Нельзя предпринимать попытку взлета, если на крыльях,
воздушных
винтах,
поверхностях
управления,
воздухозаборниках двигателей или других критических
поверхностях присутствует
или налип лед, снег,
слякоть или ледяной налет.
«Концепция чистого воздушного судна»
ICAO Doc.9640-AN/940 2-я глава)
ПРАПИ-98: «Выпуск обледеневшего ВС в полет»
(ИНЦИДЕНТ -подлежит расследованию в эксплуатации)
Чтобы убедиться в эффективности обработки и соответствии самолета концепции «чистого
воздушного судна», необходимо выполнить визуальную или физическую проверку
критических поверхностей самолета:
Проверка поверхности крыла рукой
Проверка температуры обшивки термометром

119.

Тема 8. Наземное обслуживание ВС. Противообледенительная обработка.
Способы удаления снежно-ледяных отложений:
- механический (щетками, метлами, мягкими скребками);
- облив ВС противообледенительными жидкостями (ПОЖ);
- тепловой (обдув теплым воздухом)
Средства для противообледенительной обработки с применением ПОЖ
ELEPHANT MY
ELEPHANT BETA15
Противообледенительую обработку ВС выполняет
персонал, прошедший специальную подготовку в
учебном центре, практическую стажировку и
аттестацию в условиях предприятия
ELEPHANT BETA
DI-L10
DI-L20
DI-L30
Водитель деайсера
Оператор деайсера
Контролер ПОО

120.

Тема 8. Наземное обслуживание ВС. Противообледенительная обработка.
Противообледенительная обработка:
- удаление СЛО;
- защита от образования СЛО
Выполняется в один или 2 этапа
В ЦЕЛЯХ УМЕНЬШЕНИЯ ВОЗДЕЙСТВИЯ НА ОКРУЖАЮЩУЮ СРЕДУ, ПОСЛЕ ОБРАБОТКИ ВС ПОЖ
ВЫПОЛНЯЕТСЯ СБОР ОСТАТКОВ ПОЖ (ОТХОДА ПОЖ) С ПОВЕРХНОСТИ ПЕРРОНА

121.

Тема 9. Средства наземного обслуживания ВС.
СРЕДСТВА НАЗЕМНОГО ОБСЛУЖИВАНИЯ ВС
СНО – комплекс технических средств для обслуживания и подготовки ВС к вылету
Не относятся к СНО расходные материалы, ГСМ, газы и спецжидкости

122.

Тема 9. Средства наземного обслуживания ВС.
СРЕДСТВА НАЗЕМНОГО ОБСЛУЖИВАНИЯ ВС
СНО общего применения
СНО специального применения
СНО общего применения:
- средства заправки маслами и рабочими жидкостями, средства заправки питьевой водой
- средства зарядки газами (автомобильные кислородозаправщики, азотозаправщики,
унифицированные газозарядные станции)
- средства энергоснабжения: аэродромные электроустановки, подвижные электроагрегаты,
преобразователи частоты, гидроустановки, установки воздушного запуска
- теплотехнические средства: аэродромные кондиционеры и подогреватели
- средства наддува
- тягачи буксировщики, специальные тягачи (безводильные)
- подъемно-транспортные средства: подъемные краны, самоходные подъемники, погрузчики,
площадки обслуживания, телескопические площадки обслуживания, самоходные податчики грузов,
транспортировочные тележки, ленточные транспортеры
- средства очистки и спецобработки: моечные машины, машины для нанесения антиобледенительных
средств, ассенизационные машины, машины для уборки салонов
- средства консервации
- средства для сервисного обслуживания: пассажирские трапы, автолифты, погрузчики поддонов и
контейнеров, прицепные и самоходные грузовые тележки

123.

Тема 9. Средства наземного обслуживания ВС.
СРЕДСТВА НАЗЕМНОГО ОБСЛУЖИВАНИЯ ВС
СНО общего применения
СНО специального применения
СНО специального применения:
- средства буксировки, удержания и швартовки: буксировочные водила, буксировочные тросы и
фалы,
упорные колодки, устройства фиксации шасси, средства удержания при опробовании двигателей,
устройства швартовки лопастей, тележки для буксировки вертолетов на лыжном шасси
- подъемные средства: гидроподъемники, гидродомкраты, страховочные подставки, несамоходные
краны
- средства доступа: стремянки, лестницы, помосты, подъемные площадки
- монтажно-демонтажные средства: траверсы, съемники, стропы, монтажные тележки
- средства обслуживания систем и агрегатов: приспособления для заправки и стравливания
газов, проверки давления и герметичности, приспособления для слива и заправки жидкостей,
аэродромные баллонные тележки (ГБО), кабели для подсоединения к аппаратуре внутренней связи,
средства связи обслуживающего персонала с экипажем
- средства защиты ВС на стоянке: чехлы, заглушки, маты, коврики, приспособления для
заземления и выравнивания потенциалов, сигнальные чехлы (шарики) на статразрядники
- средства по технике безопасности: устройства защиты воздухозаборников при работающих
двигателях, приспособления для стопорения шасси, страховочные приспособления, сигнальные
конусы
- вспомогательные средства: ведра, противни, воронки, переносные фары, контейнеры для СНО,
контейнеры
для отходов и отработанных ГСМ, папки и чемоданы

124.

Тема 9. Средства наземного обслуживания ВС.
Исправное оборудование, находящееся в эксплуатации хранится,
если не используется, в специально маркированных местах
размещения СНО на перроне.
Неисправное и выведенное из эксплуатации оборудование
хранится отдельно от исправного оборудования. Повторный ввод
в эксплуатацию после ремонта осуществляется после проведения
инспекции оборудования с составлением Акта.
На каждый экземпляр неисправного СНО навешивается ярлык
«НЕИСПРАВНО»
Выполнять поиск и устранение неисправностей наземного оборудования
во время эксплуатации на перроне не допускается (за исключением
замены срезных болтов на буксировочных водилах и адаптерах)
Весь инструмент и приспособления подлежат учету, с нанесением
уникального шифра на нерабочую поверхность инструмента или
приспособления, позволяющего идентифицировать каждый экземпляр
оборудования.
При утере инструмента или приспособления, необходимо организовать
поиск инструмента. Если инструмент утерян при работах на ВС, не
допускать вылет ВС до тех пор, пока инструмент не будет найден

125.

Тема 9. Средства наземного обслуживания ВС.
Перед эксплуатацией наземного оборудования, персонал должен
изучить его руководство по эксплуатации и меры безопасности
при применении этого оборудования.
Перед подгоном и после отгона любого СНО к/от ВС необходимо
осмотреть ВС на предмет повреждений.
СНО на местах стоянок ВС и парковок не должно загораживать
пути эвакуации персонала и маршруты доступа к
противопожарному оборудованию.
По окончании работы с наземным оборудованием, необходимо
привести его в транспортное положение (если применимо):
выключить электропитание, уложить кабели, шланги, рукава,
закрыть лючки и дверцы, проверить оборудование на соответствие
описи, отсутствие посторонних предметов на месте работы,
опустить подъемные площадки), переместить оборудование на
места парковки или хранения, оформить
необходимую производственную документацию.
Техническое обслуживание СНО и восстановление исправности
выполняет персонал ГПП в соответствии с Руководствами по
эксплуатации СНО и Технологическими указаниями

126.

Тема 9. Средства наземного обслуживания ВС.
Средства доступа к высокорасположенным частям ВС – стремянки, трапы,
гидравлические платформы и автовышки
Тип стремянки, указываемый
в карте-наряде
Высота рабочей площадки, м
Тип 1
Не более 1,0
Тип 2
1,0…2,0
Тип 3
выше 2,0
Тип 4
Гидравлическая стремянка типа «ГУСЬ»
Тип 5
Гидравлическая стремянка типа
«НОЖНИЦЫ»

127.

Тема 9. Средства наземного обслуживания ВС.
ТИП 4 Гидравлическая стремянка «ГУСЬ»
ТИП 5 Гидравлическая стремянка «НОЖНИЦЫ»

128.

Тема 9. Средства наземного обслуживания ВС.
ТИП 3 Стремянка
3,7м
ТИП 2 Стремянка
1,5м
ТИП 3 Стремянка
ТИП 1 Стремянка
0,9м
2,2-2,7м

129.

Тема 9. Средства наземного обслуживания ВС.

П/п
1
2
3
4
5
6
7
8
9
10
11
12
13
14
15
16
17
18
19
20
21
22
23
Наименование
авиационных стремянок
СП-1000
СА-1/3Р-Н2
СА-1/3Р-Н2
СА-3
СА-2/6-Н2
СА-1/5Б-Н2
СА-2/6Б-Н2
СА-1-5Р-Н1
СА-2/6Р-Н2
СА-1/5Р-Н2
СА-2-4-8Б-Н1-Г (гидравлическая)
СА-2/7Б-Н2
СА-3/10Б-Н1/Тр (Технический трап )
СА - 3/10Б-Н1
СА-2/7Б-Н1
СА-3/9Б-Н1
СА-2-7Б-Н2
СА - 2/8Б-Н1
СА - 3/11Б-Н1
СА-4/15-Б-Н1-М
СОС-12 (гидравлическая«Гусь»)
АС-5 (гидравлическая «Гусь»)
СА-4/8-15Б-Н1-Г (гидравлическая «Ножницы»)
Высота
рабочей площадки, мм
1000
900
850
1950
1750
1450
1750
1500
1800
1800
1200 … 1700
2050
2500 … 2800
3000
2050
2650
2100
2400
3200
3700
3500 … 5500
3300 … 6000
2000 … 4500
Тип
ТИП-1
ТИП-1
ТИП-1
ТИП-2
ТИП-2
ТИП-2
ТИП-2
ТИП-2
ТИП-2
ТИП-2
ТИП-2
ТИП-3
ТИП-3
ТИП-3
ТИП-3
ТИП-3
ТИП-3
ТИП-3
ТИП-3
ТИП-3
ТИП-4
ТИП-4
ТИП-5

130.

Тема 9. Средства наземного обслуживания ВС.
На ИСПРАВНЫХ стремянках, буксировочных водилах, адаптерах и
приспособлениях должны быть нанесены:
заводской номер
инвентарный номер
дата очередной проверки (поверки)
фамилия ответственного за СНО должностного лица
СРЕДСТВА ИЗМЕРЕНИЙ
Все средства измерений, применяемые при обслуживании ВС, в
обязательном порядке проходят метрологическую поверку и/или
калибровку в аккредитованных метрологических лабораториях, в
соответствие с согласованным годовым графиком поверок СИ.
На средствах измерения должно быть клеймо и дата поверки

131.

Тема 9. Средства наземного обслуживания ВС.
Буксировочные водила и адаптеры
Буксировочные водила
Типовые
Универсальные
Предназначены для
буксировки типа ВС
Универсальная труба
Типовой адаптер
Предназначена для
буксировки ВС c
MTOW не превышающим
указанного в РЭ
Предназначен для
буксировки
определенного
типа ВС
без гидропривода
с гидроприводом
Тип разрешенных для буксировки
ВС конкретным экземпляром
буксировочного оборудования
указан на самом оборудовании.
для буксировки 2 типов ВС

132.

Тема 9. Средства наземного обслуживания ВС.
Емкости для сбора отработанных ГСМ
200 л
300 л
Емкости предназначены для сбора (слива) отработанных и/или
загрязненных ГСМ.

133.

Тема 9. Средства наземного обслуживания ВС.
Авиационная гарнитура (Headset)
Гарнитура AircraftControl с защитой органов слуха
предназначена для наземного обслуживания ВС.
Гарнитура подключается к СПУ (INTERCOM), оснащается
микрофоном с изогнутой дужкой и шумоподавлением.
Гарнитура имеет защиту от ветра и воды.
Лавсановые мембраны и металлический корпус
позволяют комфортно работать в любых метеоусловиях
Гарнитура использует витой кабель из полиуретана
оранжевого цвета длиной 1,5 м, в растянутом состоянии
достигающий 6 м. Подключение к системе внутренних
переговоров осуществляется телефонным разъёмом 6,35 мм.

134.

Тема 9. Средства наземного обслуживания ВС.
УКВ радиостанция KENWOOD
для радиообмена между работникам ИАС и связи с другими службами АВК Внуково-3
применяются портативные радиостанции KENWOOD (TK-3301, ТК-3307) симплексного
типа (прием-передача)
1. Корпус
2. Ручка переключения каналов (максимально 16).
3. Ручка
включения
питания
/
регулировки
громкости.
4. Кнопка программирования.
5. Нажимная тангента включения радиостанции на
передачу.
6. Кнопка программирования.
7. Кнопка программирования.
8. Микроразъемы подключения внешнего динамика
(верхн) и микрофона (нижн).

135.

Тема 9. Средства наземного обслуживания ВС.
Меры предосторожности при работе с радиостанцией:
Не оставлять надолго под воздействием прямого солнечного света, в сильно
запыленных, влажных и/или сырых местах, а также не ставить на неустойчивые
поверхности
При обнаружении ненормального запаха или дыма, исходящего из радиостанции,
немедленно выключить ее и снять батарею питания (если возможно)
Не перезаряжать полностью заряженный аккумулятор
Не переносить радиостанцию за наружную антенну, это может привести к
поломке антенны и снижению качества связи или невозможности вести
радиосвязь.
Не отворачивать съемную антенну в условиях повышенной влажности – это может
привести к образованию конденсата влаги в высокочастотном разъеме и, как
следствие, снижению мощности сигнала (вплоть до отказа радиостанции).
Не включайте регулятор громкости на максимальную мощность, если в радиусе
5 м. находится аналогичная радиостанция (возможно самовозбуждение, свист).
Если радиостанция размещена в кармане, при выполнении работ следите за тем,
чтобы радиостанция не упала на перрон. Возможно повреждение радиостанции, а
в случае заклинивания нажимной тангенты вследствие падения, возможна
блокировка частотного диапазона связи

136.

Тема 9. Средства наземного обслуживания ВС.
ЧЕХЛЫ И ЗАГЛУШКИ
Для защиты систем ВС во время продолжительной стоянки на
земле или от неблагоприятных условий при кратковременной
стоянке

137.

Контрольные вопросы по III части
лист 1
Какие общие процедуры выполняются в нескольких SOP?
В каких целях выполняется визуальный осмотр ВС?
Каким образом выполняется визуальный осмотр ВС?
Что такое FOD? И как с ним поступать?
Какую процедуру необходимо выполнить перед установкой к ВС оборудования и после уборки его
от ВС?
Как необходимо располагаться при подъеме по лестнице стремянки или спуске с неё?
Для чего предназначены визуальные сигналы?
Каким документом определен порядок подачи визуальных сигналов экипажу ВС?
Что означает сигнал пилота «Три разогнутых пальца, поднятые вверх»?
Где должен находится выпускающий в процессе запуска двигателя, если связь с экипажем
визуальная?
Какой визуальный сигнал подается экипажу ВС после уборки сигнальных конусов и упорных
колодок перед запуском двигателей?
На какое расстояние до ВС должен устанавливаться пассажирский трап?
Как подается визуальный сигнал водителю САТ, указывающий расстояние от САТ до ВС?
Что необходимо проконтролировать перед закрытием дверей / люков ВС?
Какие действия выполняет выпускающий при выпуске ВС и начале его движения с МС?
В каком месте должен располагаться авиаспециалист при выпуске ВС с МС/точки запуска если
маршрут выруливания ВС пересекает маршрут движения спецавтотранспорта?
Каким образом информируется экипаж о снятии предохранительных пинов шасси после буксировки
ВС на точку запуска двигателей?

138.

Контрольные вопросы по III части
лист 2
За что несут ответственность члены буксировочной бригады?
Чему должно соответствовать применяемое при буксировке конкретного типа ВС буксировочное
оборудование?
Какие обязательные процедуры должны быть выполнены до начала буксировки?
Каким образом деактивируется разворот колес ПОШ?
Что запрещено при буксировке ВС?
К чему может привести превышение угла поворота колес ПОШ при буксировке?
От чего зависит применение того или иного типа упорных колодок, устанавливаемых под колеса
шасси ВС?
В каких случаях должны быть установлены упорные колодки под колеса шасси ВС?
В чем особенность установки упорных колодок под колеса шасси ВС типа С56Х?
Что делать, если в пробе топлива из ТЗ перед заправкой ВС обнаружены примеси воды?
Меры безопасности при заправке ВС топливом.
Какое максимальное давление топлива в заправочном рукаве ТЗ при заправке ВС?
В каких случаях запрещена заправка ВС топливом открытым способом?
Укажите допустимые отклонения качества электроэнергии для снабжения ВС постоянным током.
Укажите допустимые отклонения качества электроэнергии для снабжения ВС переменным током.
Можно ли включать НИЭП под нагрузку ВС, если произошло его аварийное отключение?
Что необходимо учесть при прокладке силового электрокабеля от НИЭП до ВС?
Какие предъявляются требования к заправке/сливу водяных/туалетных баков ВС в условиях
пониженных температур наружного воздуха?
Какие СИЗ необходимо применять при обработке баков санузлов ВС?
В каких системах ВС используется сжатый азот?
Что необходимо учитывать при определении давления зарядки системы ВС кислородом?

139.

Контрольные вопросы по III части
лист 3
Какие меры безопасности должны быть соблюдены при подогреве кабин или двигателей ВС от
наземного подогревателя воздуха?
Меры безопасности при запуске двигателей ВС от УВЗ.
Каким образом передать кабинному экипажу к визуальный сигнал о готовности к открытию
входной двери?
В каком месте должен располагаться специалист при открытии входной двери (люка) ВС?
Технология замены срезного болта на буксировочном водиле (адаптере).
Какой документ составляется при срезе болта на буксировочном оборудовании и какие работы
выполняются в обязательном порядке в этом случае?
Что необходимо проверить перед посадкой или высадкой пассажиров с использованием
передвижного пассажирского трапа?
Что необходимо контролировать при установленном к борту ВС пассажирском трапе, если
происходит заправка ВС топливом , посадка пассажиров или загрузка/выгрузка багажа?
Какая информация должна быть нанесена на исправные стремянки, буксировочные водила или
адаптеры?
Каким образом маркируется неисправное СНО?
К какому типу стремянок (указываемых в карте-наряде) относится стремянка высотой 2,4м?
К какому типу стремянок относится гидравлическая платформа типа «Ножницы»?
Почему нельзя переносить за антенну УКВ-радиостацию?
Для чего предназначен типовой буксировочный адаптер?
Где указана информация о разрешенном для буксировки типе ВС конкретного экземпляра
буксировочного оборудования?
Для чего предназначены чехлы и заглушки систем ВС?
English     Русский Правила