Пример 2. Решить уравнение: 2-3x+4yi=5+8i
Пример 3. Найти сумму, разность и произведение КЧ z_1=2+(-4)i и z_2=-1+3i
Степени мнимой единицы
Решение квадратных уравнений с отрицательным дискриминантом
Пример 15. Решить уравнение: 8x^2+128=0.
Пример 15. Решить уравнение: 8x^2+128=0
Пример 16. Решить уравнение: x^2-x+1=0
Домашнее задание
Домашнее задание
Геометрическая интерпретация комплексных чисел:
Пример 5. Найти модуль и аргумент КЧ: z_1=5+5i, z_2=-2+2i, z_3=-3-3i, z_4=4-4i.
Домашнее задание
Тригонометрическая форма комплексного числа
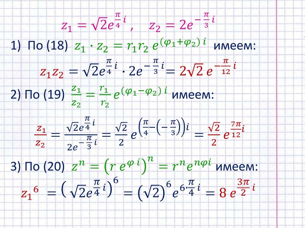
Действия над комплексными числами, заданными в тригонометрической форме
Действия над комплексными числами, заданными в тригонометрической форме
Действия над комплексными числами, заданными в тригонометрической форме
№ 1. Представить в алгебраической форме КЧ:
№ 4. Найти произведение КЧ: z_1=2 (cos⁡〖π/6〗+i sin⁡〖π/6〗 ), z_2=3 (cos⁡〖π/12〗+i sin⁡〖π/12〗 ).
№ 5. Выполнить деление КЧ: z_1=10 (cos⁡〖3π/4〗+i sin⁡〖3π/4〗 ), z_2=2(cos⁡〖π/4〗+i sin⁡〖π/4〗 ).
№ 6. Возвести в степень КЧ: (cos⁡〖π/6〗+i sin⁡〖π/6〗 )^6.
Показательная форма комплексного числа
Показательная форма КЧ
Действия над комплексными числами, заданными в показательной форме
Упражнения
Упражнения
Упражнения
5.23M

Основы теории комплексных чисел

1.

Основы теории
комплексных
чисел (КЧ)

2.

В
процессе
развития
математики
комплексные числа появились в 16 веке.
Термин “мнимые числа” ввел в 1637 году
французский математик и философ Рене
Декарт, а в 1777 году один из крупнейших
математиков XVIII века - Леонард Эйлер
предложил использовать первую букву
французского слова imaginaire (мнимый) для
обозначения числа i (мнимой единицы).
Этот символ вошел во всеобщее
употребление благодаря Карлу Гауссу. Термин
“комплексные числа” также был введен
Гауссом в 1831 году.
Слово
«комплекс»
(от
латинского
complexus) означает связь, сочетание,
совокупность понятий, предметов, явлений и
т. д., образующих единое целое.

3.

Большой вклад в развитие теории функций комплексного
переменного внесли русские и советские ученые:
Н. И. Мусхелишвили занимался ее
применениями к теории упругости;
М. В. Келдыш и
М. А. Лаврентьев - к
аэро- и гидродинамике;
Н. Н. Богомолов и В. С. Владимиров
- к проблемам квантовой теории
поля.

4.

Основные определения
Определение.
Комплексным числом называется выражение
вида
English     Русский Правила