Лекция №1
3.15M

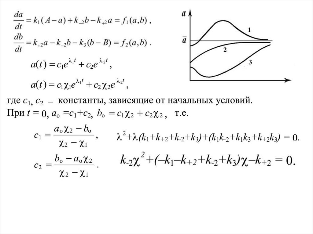
Лекция №1

1. Лекция №1

Предмет Биофизика. Введение.

2.

3.

4.

Биофизика изучает биологические процессы и структуры с использованием физических
методов и концепций. Эта наука фокусируется на понимании биологических систем на
молекулярном, клеточном и системном уровнях. Основные разделы биофизики
охватывают такие аспекты, как молекулярная биофизика, клеточная биофизика, и
системная биофизика.
1. Молекулярная биофизика
Молекулярная биофизика изучает физические свойства и
поведение биомолекул, таких как ДНК, РНК, белки и липиды.
Основные темы включают:
Структура и функция макромолекул: Анализ структуры
белков и нуклеиновых кислот, включая их трехмерные
структуры, способы связывания и взаимодействия с другими
молекулами.
Спектроскопические методы: Использование методов, таких
как ядерный магнитный резонанс (ЯМР), рентгеновская
кристаллография и спектроскопия поглощения, для изучения
структуры и динамики биомолекул.
Молекулярные силы: Исследование взаимодействий между
молекулами, включая водородные связи, ионные
взаимодействия и ван дер Ваальсовы силы.

5.

Клеточная биофизика
Клеточная биофизика фокусируется на физических процессах, происходящих в клетках и органеллах.
Основные темы включают:
Мембранная биофизика: Исследование структуры и функций клеточных мембран, механизмов
транспорта через мембраны, включая диффузию, активный транспорт и осмос.
Биоэлектричество: Изучение электрических свойств клеток, таких как потенциал покоя, потенциал
действия и электрические сигналы в нейронах.
Клеточные механизмы: Анализ механических свойств клеток, таких как упругость, вязкость и сила
клеточных тканей, а также их взаимодействие с окружающей средой.

6.

Системная биофизика
Системная биофизика изучает физические принципы, регулирующие функционирование целых
организмов и их систем. Основные темы включают:
Физиологическая регуляция: Исследование того, как физические и химические процессы
поддерживают гомеостаз и физиологическое равновесие в организмах.
Динамика и модели: Моделирование биологических процессов, таких как кровообращение, дыхание
и метаболизм, с использованием математических и физических моделей.
Биофизика систем: Анализ сложных систем и их взаимодействий, таких как экосистемы и организмы в
естественных условиях.

7.

Биофизика молекулярных взаимодействий
Этот раздел фокусируется на изучении взаимодействий между молекулами в биологических системах.
Основные темы включают:
Молекулярные кинетики: Изучение скоростей химических реакций и механизмов, управляющих
молекулярными взаимодействиями.
Сопряжение и комплексы: Анализ формирования молекулярных комплексов, таких как
ферментативные комплексы и рецепторные белки.

8.

Прикладные аспекты биофизики
Биофизика также имеет практическое применение в медицине и технологии:
Медицинская биофизика: Использование биофизических методов для диагностики и лечения
заболеваний, таких как магнитно-резонансная томография (МРТ) и ультразвуковое исследование.
Биофизика и материалы: Применение знаний о биофизике для разработки биосовместимых
материалов и нанотехнологий.

9.

«Что такое жизнь с точки зрения физики" (1944) представляет собой важный вклад в понимание биологических
процессов с точки зрения физики. В этой книге Шрёдингер объединяет идеи физики и биологии для объяснения
жизни и её механизмов. Вот основные мысли и идеи, представленные в книге:
1. Определение жизни
Шрёдингер ставит перед собой задачу объяснить, что отличает живые системы от неживых. Он указывает на то, что
живые системы имеют способность сохранять свою структуру и функции, несмотря на внешние изменения. В центре
его размышлений стоит вопрос о том, как жизнь может поддерживать порядок и организованность в условиях
второго закона термодинамики, который утверждает, что системы стремятся к увеличению энтропии (беспорядка).
2. Порядок и энтропия
Шрёдингер рассматривает идею, что живые организмы противостоят стремлению к увеличению энтропии,
поддерживая порядок внутри себя. Он вводит понятие "отрицательная энтропия" (или "негэнтропия"), чтобы
описать способность живых систем за счет потребления энергии поддерживать внутренний порядок. Этот порядок
обеспечивается за счет упорядоченного обмена энергии и веществ.
3. Генетическая информация
Шрёдингер подчеркивает важность генетической информации для понимания жизни. Он предсказывает, что
информация, содержащаяся в клетках, играет ключевую роль в сохранении структуры и функций живых организмов.
Он предполагает существование "аэропланов" (или кристаллов), которые могут служить структурой для хранения
этой информации, что позже станет известно как ДНК.
4. Дискретные и непрерывные переменные
Шрёдингер рассматривает, как в физике и биологии используются дискретные и непрерывные переменные. В
биологии, по его мнению, дискретные элементы, такие как гены, играют ключевую роль в кодировании информации
и обеспечении точности наследования.
5. Квантовая механика и биология
Хотя Шрёдингер не углубляется в детали квантовой механики, он предполагает, что принципы квантовой механики
могут быть важны для понимания биологических процессов. Он предполагает, что квантовые явления могут
объяснить определенные аспекты молекулярных структур и их функций.
6. Функция и структура
Шрёдингер подчеркивает, что функции и структура биологических молекул должны быть тесно связаны. Он
указывает на важность структурного порядка для понимания биологических функций, таких как наследственность и
клеточные процессы.

10.

Открытые системы и их свойства
English     Русский Правила