02.02.2026 Многочлен
Многочлен
Являются многочленами
Стандартный вид многочлена.
Степень многочлена стандартного вида
Подумай!
Узнай слово, выбрав нужный вариант ответа.
П.26. Сложение и вычитание многочленов
П.26. Сложение и вычитание многочленов
72.74K
Категория: МатематикаМатематика

02.02.2026 А-7

1. 02.02.2026 Многочлен

и его стандартный
вид
pptcloud.r

2. Многочлен

• Многочленом называется алгебраическая
сумма одночленов.
3a3b + 4xy + 4 - многочлен
члены многочлена

3. Являются многочленами

7ах – многочлен состоящий из
одного члена
7х3 – 5ху2 - двузначный
4а2 + bx – 8ab - трёхзначный
НЕ ЯВЛЯЮТСЯ МНОГОЧЛЕНАМИ:
4с2 – 5а : с3
(14x4 – 5x2) : у + 3ху2 : у7 - 8

4. Стандартный вид многочлена.

Многочлен стандартного вида – это многочлен, в котором:
• Каждый член в стандартном виде
• Нет подобных слагаемых
• Одночлены расположены в порядке убывания степеней
Например:
17аb2c3 + 4bc2 +8b2 +c +2

5.

Пример:
Записать в стандартном виде
многочлен А.
А= 17ab – 4bc +ac – 3ab + 5bc +ab +2bc.
А= 15 ab + 3bc +ac
многочлен А имеет
A= 3bc +15ab +ac
стандартный вид
A= ac + 3 bc + 15 ab
Многочлен А может быть записан в стандартном
виде не единственным способом.

6. Степень многочлена стандартного вида

• - наибольшая из степеней входящих в него
одночленов.
А = 3х2у + 4ху
+ 2
одночлен
одночлен
одночлен
3 степени
2 степени
0
степени.
Степень одночлена А равна трём.
Пример: Определить степень многочлена
4а6 – 2а7 + а -1
5р3 – р - 2

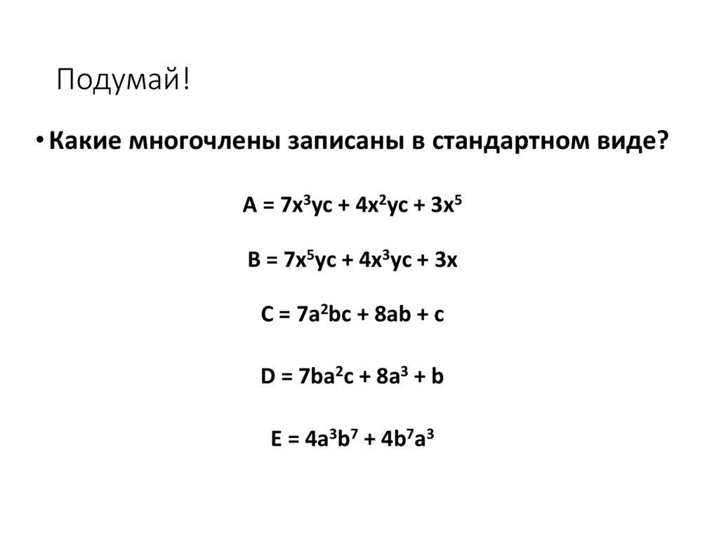
7. Подумай!

• Какие многочлены записаны в стандартном виде?
А = 7х3ус + 4х2ус + 3х5
В = 7х5ус + 4х3ус + 3х
С = 7а2bc + 8ab + c
D = 7bа2c + 8a3 + b
E = 4a3b7 + 4b7a3

8. Узнай слово, выбрав нужный вариант ответа.

Выбери одночлен степень которого равна 7
и) 7а5 к)22b7c
з)-4c3b4 б) 6aba
в)-2a2b4
Выбери многочлен стандартного вида
к) 8x2ya+4x и) 3abc+7ab
л) 15x3y+4x2+8
Представь многочлен в стандартном виде
15х2у+4х3у+3х2у+3х5ху
н)30х2у+4х3у+6ху
м) 4х3у+30х2у+6ху
Какое выражение не является многочленом?
д) 12а+16b е)15ху + 2ху с)17х2bc а) 4х3:с +8с

9. П.26. Сложение и вычитание многочленов

•стр 131—правило
прочитать.
•Решить №590;589.
•а) (а+в)+(а-в)=
•б) (а-в)+(а+в)=
•в) (-а-в)+(а-в)=
• г) (а-в)+(в-а)=

10. П.26. Сложение и вычитание многочленов

•стр 131—правило
прочитать.
•Решить №590;589.
•а) (а+в) - (а-в)=
•б) (а-в) - (а+в)=
•в) (-а-в) - (а-в)=
• г) (а-в) - (в-а)=

11.

• Стр. 131. № 589
а) 18х² -(10х-5+ 18х²)=
б) -12с² +5с+( с+ 11с²)=
• в) (в² +в-1)-(в² -в+1)=
• г) (15-7у²)-( у³ -у²-15)=

12.

• РЕШИТЬ № 587
• а) (1+3а)+(а²-2а)=
• б) (2х²+3х)+(-х+4)=
• в) (у²-5у)+( 5у- 2у²)=
• г) (в²-в+7)-(в²+в+8)=
• д) (8п³-3п²)-(7+8п³-2п²)=
• (а²+5а+4)-(а²+5а-4)=

13.

Сложение и вычитание многочленов
Правило 1. Для того чтобы привести подобные
слагаемые,
надо сложить их коэффициенты и результат
умножить на общую буквенную часть.
Правило 2. Если перед скобками стоит знак
«плюс», то скобки можно опустить,
сохранив знак каждого слагаемого,
заключённого в скобки.
Правило 3. Если перед скобками стоит знак
«минус» , то скобки можно опустить,
изменив на противоположный знак каждого
слагаемого, заключённого

14.

Алгоритм решения
1.Выполнить действие:
(7a – 2b + 4) – (3a – 5b)
- раскрыть первые скобки,
применив правило 2;
- раскрыть вторые скобки,
применив правило 3;
- привести подобные
слагаемые, применив правило
1.
Образец
(7a – 2b) – (3a – 5b) = 7a – 2b – 3a + 5b
= 4a + 3b.

15.

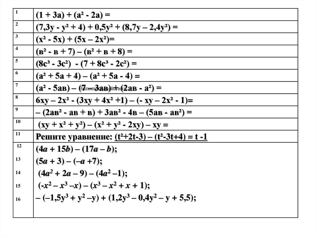
1
2
3
4
5
6
7
8
9
10
11
12
13
14
15
16
(1 + 3а) + (а² - 2а) =
(7,3у - у² + 4) + 0,5у² + (8,7у – 2,4у²) =
(х² - 5х) + (5х – 2х²)=
(в² - в + 7) – (в² + в + 8) =
(8с³ - 3с²) - (7 + 8с³ - 2с²) =
(а² + 5а + 4) – (а² + 5а - 4) =
Выполнить
действия:
(а² - 5ав) – (7
– 3ав)
+ (2ав - а²) =
6ху – 2х² - (3ху + 4х² +1) – (- ху – 2х² - 1)=
– (2ав² - ав + в) + 3ав² - 4в – (5ав - ав²) =
(ху + х² + у²) – (х² + у² - 2ху) – ху =
Решите уравнение: (t²+2t-3) – (t²-3t+4) = t -1
(4a + 15b) – (17a – b);
(5a + 3) – (–a +7);
(4a2 + 2a – 9) – (4a2 –1);
(-x2 – x3 –x) – (x3 – x2 + x + 1);
– (–1,5y3 + y2 –y) + (1,2y3 – 0,4y2 – y + 5,5);

16.

•Домашнее задание:
•П.26-выучить правило.
•Решить задания (файл).
English     Русский Правила