Лекция жоспары
Радиус-вектор деп− координаталар басынан берілген О нүктесінен жүргізілген векторды айтады.
Жоспар
Ньютонның 1-заңы–инерция заңы
Инерциялы санақ жүйесі Инерция заңы орындалатын санақ жүйесін инерциалды санақ жүйе деп атаймыз.
Ньютонның 2-заңы
Ньютонның 2-заңы
Ньютонның 3-заңы
Бүкіл әлемдік тартылыс заңы
Салмақ
Серпімділік күші
Гук заңы
Ығысу деформациясы
Үйкеліс күші
Көлбеу жазықтағы үйкеліс күші
Импульс моменты
Импульс сақталу заңы
Импульс сақталу заңы
Импульс моментінің сақталу заңы
Қуат
5.08M
Категория: ФизикаФизика

Механика 1,2,3лек-Физика - 1

1.

Физика кафедрасы
КИНЕМАТИКА

2. Лекция жоспары

Негізгі анықтамалар.
Материалды нүктенің кинематикалық
қозғалыстағы сипаты.
Жылдамдық.
Үдеу.
Ілгерлемелі қозғалыс.
Айналмалы қозғалыс.
Бұрыштық қозғалыс.
Бұрыштық үдеу.
Сызықтық және бұрыштық жылдамдық
арасындағы байланыс.

3.

Материалық
нүкте − қарастырылып
отырған жағдайда массасы өте аз,бірақ оны
қоршаған
ортаның
өлшемдерімен
салыстырғанда көлемі өте кішкентай болып
келетін дене, берілген есептің шартында
өлшемін елемеуге болады.

4.

Қозғалыс
кезінде
дененің
деформациялануы (өлшемдері мен
формасының өзгеруі) қозғалысқа әсер
етпейді деп есептейміз , яғни олардыабсолютты қатты дене деп атаймыз,
берілген есептің шартында елемеуге
болады.

5.

Дененің кеңістіктегі орнын басқа бір
кез-келген қозғалмайтын дене арқылы
анықтауға болатын денені санақ денесі
деп атайды.

6.

Санақ жүйесі – санақ денесі және осы
санақ
денесімен
байланысқан
координаталар жүйесінен және уақыт
өлшеу арқылы құрылады.

7. Радиус-вектор деп− координаталар басынан берілген О нүктесінен жүргізілген векторды айтады.

8.

РАДИУС-ВЕКТОР
r r (t )

9.

Материалды нүктенің кинематикалық
қозғалыс теңдеуі
Материалды нүктенің кеңістіктегі сызған
сызығы траектория деп аталады.

10.

Қозғалыс траекториясының бойымен дененің
1нүктеден 2 нүктеге жүріп өткен арақашықтығын
жол немее жол ұзындығы Δl деп аталады.
Нүктенің бастапқы және соңғы орнын қосатын
вектор орын ауыстыру Δr
деп аталады,ол
нүктенің
бастапқы
қозғалыс
нүктесінен
бағытталады.

11.

Мысалы
Y
0
Z
r1
r1 5t i 4t j 7 k
r2 7t i 2t j 7 k
1
r
2
r2
X
Орын ауыстыру неге тең?
r 2t i 2t j
t 1c
2
2
r 2 2 2 2

12.

Жылдамдық
Жылдамдық қозғалыстың шапшаңдығын,
берілген уақыт мезетіндегі
бағытын
сипаттайтын векторлық шама.

13.

Орташа жылдамдық
векторы
dr
r
dt
1
Лездік жылдамдық
2

14.

Жылдамдық − радиус-вектордың уақыт
бойынша туындысы :
Жылдамдық модулі

15.

Векторларды құраушыларына жіктеу
Жылдамдық модулі

16.

Проекция бойынша жылдамдықты
анықтау
dx
x
x
dt
dy
y y
dt
dz
z z
dt

17.

Материалды нүктенің кез келген, бірдей
уақыт аралығында бірдей жол жүруін
бірқалыпты қозғалыс деп атайды.
Бір қалыпты қозғалыс теңдеуі
Бір қалыпсыз қозғалыстың орташа
жылдамдығының модулі

18.

Бірқалыпты қозғалыс
const
S
s t
s
t

19.

Бірқалыпты қозғалыс
S
t
s
t
tg

20.

Бірқалыпты қозғалыс
x x0 s x0 t

21.

Үдеу

22.

Үдеу − жылдамдықтың уақытқа
байланысты бірінші туындысы
2
d d r
а
2
dt
dt
Орташа үдеу
Лездік үдеу

23.

d x
ax
x
dt
ay
d y
dt
y
d z
az
z
dt
a a a a
2
x
2
y
2
z

24.

a const

25.

a
0
t
0 at

26.

t
t
t
t
0
0
0
0
S dt 0 at dt 0 dt atdt
2
at
0t
2
2
at
S 0t
2

27.

28.

S
a
2
2
0
2a
2
2S
2
0

29.

30.

Берілген нүктедегі траекторияның қисықтық
радиусы R − шеңбер радиусы, жазық сызықтықтың
кез-келген бір
нүктесіндегі қисықтық оның
шектеусіз аз учаскесінде қисықтықпен берілген
орынды беттесіп кететін шеңбер қисықтығына тең.

31.

Үдеудің құраушылары

32.

Тангенциаль үдеу а жылдамдықтың
модулінің
және
бағытының
өзгеру
шапшаңдығын сипаттайды,әрі траектория
жанамасының бойымен бағытталады:
Нормаль үдеу аn жылдамдықтың бағыты
бойынша өзгерісін сипаттайды,жылдамдық
векторына перпендикуляр, әрі траекторияның
қисықтық центріне бағытталған:

33.

Толық үдеу модулі
Кез келген бірдей уақыт аралығында қозғалыс
жылдамдығы сәйкес бірдей шамаға өзгеріп
отыратын
қозғалысты
бір
қалыпты
айнымалы қозғалыс деп атайды.

34.

Түзу сызықты қозғалыс
an 0
a 0
Бір қалыпты үдемелі қозғалыс
Бір қалыпты кемімелі қозғалыс
Бір қалыпты шеңбер бойымен
a 0
an const

35.

Түзу сызық бойымен бір қалыпты
айнымалы қозғалыс

36.

Ілгерілемелі қозғалыс
Ілгерлемелі қозғалыс деп дене оның кез келген
екі нүктесін қосатын түзу сызық орын ауыстыра
келіп,өзінің бастапқы бағытыны параллель болып
қалатын
қозғалысты
айтады.

37.

Айналмалы қозғалыс деп абсолютті
қатты дененің барлық нүктелерінің
шеңбер
бойымен
бір
қалыпты
қозғалысын айтады.

38.

Бұрыштық жылдамдық
t
d
dt

39.

Бұрыштық жылдамдық модулі
Бір қалыпты айналу
t
Бір қалыпты үдемелі
айналу
0 t
t
2
2

40.

Бұрыштық жылдамдық - бұрылу
бұрышының уақытқа байланысты өзгерісі
және оң бұрғы ережесімен анықталады
(буравчик)

41.

Сызықтық жылдамдық пен бұрыштық
жылдамдық арасындағы байланыс
R
Нормаль үдеу
R

42.

Бұрыштық үдеу
t
d
dt

43.

Тангенциальды үдеу
d
d
a
R
R
dt
dt
Толық үдеу модулі

44.

Үдемелі қозғалыс кезінде вектор
және
вектор
айналу осімен бағыттас,ал
кемімелі қозғалыс кезінде қарама-қарсы
болады.

45.

46.

47.

48.

№2 Дәріс
Материалық нүктенің динамикасы

49. Жоспар

1. Негізгі анықтамалар
2.Күш
3.Масса
4.Ньютонның 1-заңы
5.Инерциялы санақ жүйесі
6.Ньютонның 2-заңы
7.Ньютонның 3-заңы
8.Бүкіл әлемдік тартылыс заңы
9.Салмақ
10.Серпімділік күші
11.Гук заңы
12.Үйкеліс күші

50.

Динамика дене қозғалысының себебін, оның
зандарын зертейді.
Динамикада массаны ұғымының дененің инерттілік шамасы ретінде қарастыруға
болады,яғни денеге сырттан ешқандай да бір күш әсер етпегенше дене
жылдамдығын
тұрақты
сақтап
қалу
қасиеті.
Күш – денелердің өзара әректтесуінің мөлшері, денерердің жылдамдықтарының
өзгерісінде білінеді.
Күш – векторлық шама;
Күш векторы модулімен, бағытымен және нүктесімен анықталады

51. Ньютонның 1-заңы–инерция заңы

Барлық
денелер
сырттан
басқа
денелермен
әсерлеспегенше, өзінің бастапқы тыныштық қалпын
немесе түзу сызықты бірқалыпты қозғалысын
сақтап қалады.

52.

N
F
X
F 0
i
mg
X: F – Fу = 0
У: N – mg = 0
F 0
x
F 0
у

53. Инерциялы санақ жүйесі Инерция заңы орындалатын санақ жүйесін инерциалды санақ жүйе деп атаймыз.

54. Ньютонның 2-заңы

Ньютонның екінші заңы
– ілгерілемелі
қозғалыс
динамикасының
негізгі
заңы.
Ол
материалдың
нүктенің
(дененің)
механикалық
қозғалысының
түсірілген
күштің
әсерінен
қалай
өзгеретіндігін толығымен
түсіндіреді.
1Н 1кг м / с
2

55. Ньютонның 2-заңы

a~F
F
a
m
1
a~
m

56.

Ньютонның 2-заңы
dv
a
;
dt
dv
F m
;
dt
d
F m
dt
dP
F
dt
d
F
(mv).
dt
2
d s
F m 2
dt
Fdt md

57.

n
R F i ma i ;
i 1
n
R F i 0.
i 1
егер а = 0.
Fх = maх; Fу = may; Fz = maz

58. Ньютонның 3-заңы

Денеге әсер ететін күштер шамасы
жағынан тең және бағыты бойынша
қарама-қарсы
F 1 F2

59. Бүкіл әлемдік тартылыс заңы

Екі материалдық нүктенің арасындағы тартылас
күші олардың
массаларының көбейтіндісіне тура пропорционал, ара қашықтығының
квадратына кері пропорционал болады
m1 m2
F G 2 ,
r

60.

61.

Егер m1= m2= 1 кг, и r = 1м, то
F G 6,67 10
11
H
N
F mg
ауырлық күш
F
g
.
m
g
mg
еркін түсу үдеуі

62. Салмақ

Жерге тартылу нәтижесінде горизонталь тірекке (еденге) немесе ілгішке әсер ететін
күшті салмақ дейміз. Салмақ денеге емес, тірекке әсер ететін күш
P N;
mg N ;
P mg.

63.

N mg ma,
N mg ma m( g a).
P m( g a ).

64.

N mg ma,
N mg ma m( g a).
P m( g a ).
Егер a g , P 0
P m( g a ) m ( g g ) 0
Салмақтың өлшем бірлігі – 1Н.
салмақсыздық

65. Серпімділік күші

Стерженнің серпімді деформация
кезінде абсолют ұзаруы оған әсер
ететін күшке тұра пропорционал:
k – пружинаның қатылығы
F kx

66. Гук заңы

- стерженнің
S
F
S
салыстырмалы ұзаруы,
- стерженнің көлденең қимасы,
- абсолютті ұзаруы,
- механикалық кернеу,

67.

1
E
Гук заңы

68.

F
E
S
1
ES
k
1
ES
F
1
F k
x
F kx
F kx
1
1
E

69.

Серпімділік күші х деформацияға тура пропорционал

70. Ығысу деформациясы

F
S
tg φ = γ
γ = tg φ ≈ φ
1
G

71. Үйкеліс күші

Үйкеле қозғалатын екі дененің бір біріне
қатысты орын ауыстыруы кезінде пайда
болатын күшті үйкеліс күші деп атаймыз.
Бір біріне қатысты қозғалмайтын денелер
арасындағы күшті тыныштық үйкеліс күші
дейміз:
Fтр N

72.

Fпок 0 N
μо – тыныштық үйкеліс
коэффициенті
μ – сырғанау үйкеліс коэффициенті
Fтр mg
Fтр mg F sin

73. Көлбеу жазықтағы үйкеліс күші

Fтр mg cos

74.

Қарағанды мемлекеттік техникалық университеті
ФИЗИКА 1
Физика кафедрасы
ҚАТТЫ ДЕНЕНІҢ ДИНАМИКАСЫ

75.

№3 Лекция жоспары
1. Күш моменті
2. Инерция моменті.
3. Штейнер теоремасы
4.Айналмалы қозғалыс
негізгі заңы
динамикасының

76.

Қатты дененің қозғалысы:
1. Ілгерілемелі; 2. Айналмалы

77.

Материалық N нүктелердің жүйесіндегі масса
центрінің С радиус-векторы

78.

N
1
rc ri mi
m i 1
mi
элементарлық масса
ri
радиус-вектор
Егер
mi 0
1
rc im ri mi
mi 0 m i 1
N

79.

1
rc rdm
m
m
V
dm dV
1
m dm
im
dV
V 0 V
1
rc r dV
m

80.

1
rc rdV rdV
m
V
mac Fсырт
ac
ауырлық центрінің үдеу

81.

Масса центрінің қозғалыс заңы
Тұйық жүйе үшін
және

82.

Күш моменті
M F Fr sin

83.

Күш моменті
Нүктеге қатысты күш моменті
M rF
M
О
r
F

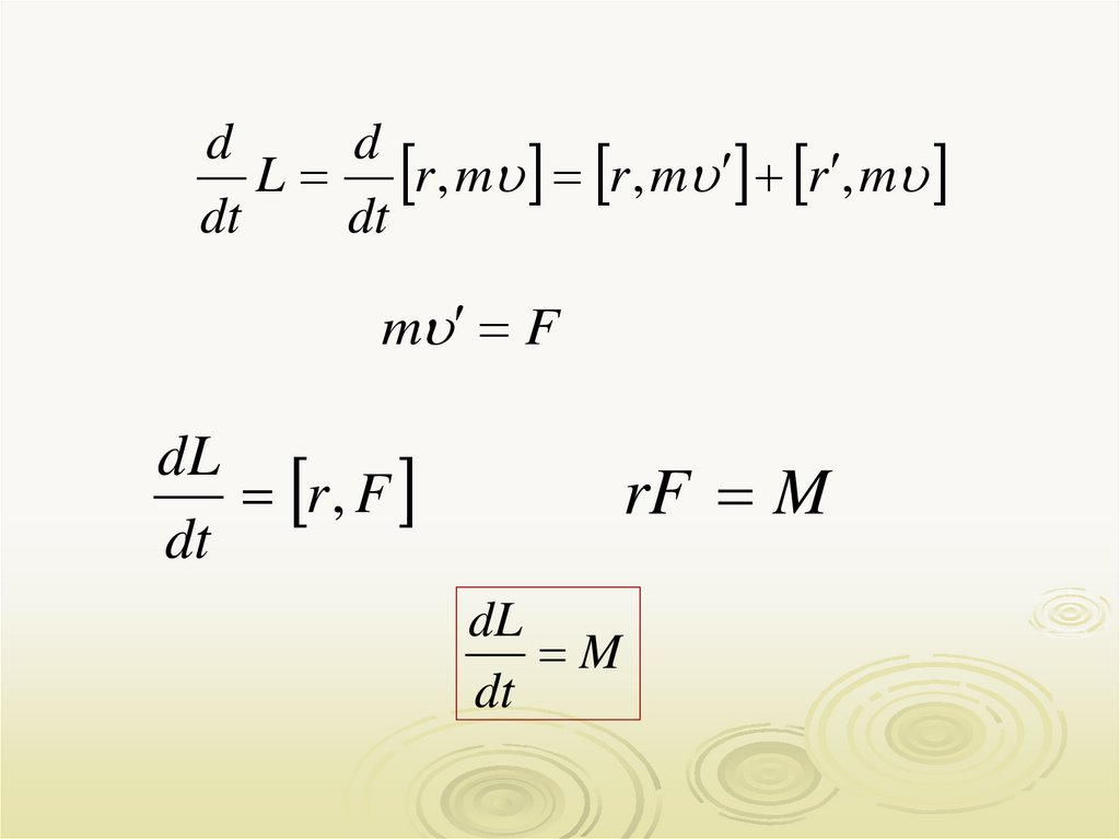
84. Импульс моменты

Li r p mi ri i
p m - нүктенің импульсы
L pr sin
r sin
L P
L m

85.

L m r

86.

d
d
L r , m r , m r , m
dt
dt
m F
dL
r , F
dt
rF M
dL
M
dt

87.

Li r p mi ri i
L Li mi ri i
dL
M сырт
dt

88.

Liz mi ri i cos i mi ri i
i ri
Liz ri mi
2
Lz Liz ri mi ri mi
2
2

89.

Инерция моменті
О
О
Инерция моментіайналу қозғлысындағы
дененің инерция өлшемі
Материялық нүктенің
инерция моменті
I mr
2
О
О
Қатты дененің инерция
моменті
I mi ri
i
2

90.

О
О
Инерция моменті
О
1 2
I ml
12
О
О
О
1
I mR2
2
О
1
I mR2
2
О
2
I mR2
5

91.

L I
d
I M сырт
dt
I const

92.

Айналу қозғалысы
динамикасының негізгі заңы
M I
Егер айналу осі инерция осімен сәйкес келсе:
M I

93.

Штейнер теоремасы
О
d
О 1
I I 0 md
С
О
О
1
2

94.

Штейнер теоремасының қолданылуы
О 1
О 1
О
I I 0 md
2
1 2
I 0 ml
12
l
d
2
О
1 2 1 2 1 2
I ml ml ml
12
4
3

95.

Ілгерілемелі қозғалыс Айналмалы қозғалыс
Масса
Күш
Импульс
m
Инерция моменті
J
F
Күш моменті
М
P=mv
Импульс моменті
L=Jω
Динамиканың негізгі
заңы
F=ma
Динамиканың негізгі
заңы
M=Jε
dP
F
dt
dL
M
dt

96.

Айналмалы қозғалыс кезіндегі
жұмыс пен энергия
2
A Md
жұмыс
1
Wk
m
i
i
2
I 2
Wk
2
2
i
m r
i
i
2
i
2
2
2
2
m
r
ii
i
Кинетикалық
энергия

97.

Айналмалы қозғалыс кезіндегі жұмыс
пен энергия
Егер
дене
бір
мезгілде
айналмалы және ілгерілемелі
қозғалатын болса, оның
кинетикалық энергиясы
m 2 I 2
Wk
2
2

98.

ФИЗИКА 1

99.

Лекция жоспары
1. Жұмыс және энергия
2. Кинетикалық энергия
3. Потенциалдық энергия
4. Айналмалы қозғалыс кезіндегі жұмыс пен
энергия
5. Импульс сақталу заңы
6. Энергия сақталу заңы
7. Импульс моментінің сақталу заңы

100. Импульс сақталу заңы

N
d
d
P Pi
dt
dt i 1
N
d
Pi Fi
dt i 1
d
Px Fxi
dt
Fdt m 2 m 1
dP
0
dt
P mvc
P const

101.

d
`
mvc mvc mac Fi
dt

102.

103. Импульс сақталу заңы

Тұйық жүйеде жүйенің толық импульсы
өзгермейді

104. Импульс моментінің сақталу заңы

L I
L const
I1 1 ( I1 I 2 )
2 0

105.

I1 1 I 2 2

106.

Энергия – қозғалыстың
және материя
түрлерінің әсер ету мөлшерлерінің өлшемі.
Материяның әр түрлі қозғалыстарымен энергияның әр түрлері
байланысты.
механикалық
дыбыстық
жылулық
ядролық
химиялық
электрлік
Сәулелену
магниттік

107.

Механикалық жұмыс- скалярлық
шама
Элементарлық жұмыс
dA FdS
Түзу
сызықты
қозғалыс
кезінде
тұрақты күш әсерімен
A FScos Fs S

108.

Күш жұмысы
Жалпы кезінде
F
dr
A dA FdScos F dr
2
2
2
1
1
1

109.

График арқылы анықтамасы
A Ai

110.

Күштердің денеге қатысты істейтін жұмысы жолға
тәуелді болмаса, дененің тек қана бастапқы және
соңғы орындарымен ғана анықталатын жағдайда
консервативтік күштер деп аталады .
Қарсы жағдайда қүш - диссипативтік дейді Мысалы:
– үйкеліс күші. Консервативтік күштердің жұмысы
түйық жолда нольге тең

111.

112.

1 Дж 1Н * м
90 , А 0
0
900 1800 , А 0
90 , А 0
0

113.

114.

A mgh
A mg h FT h

115.

k x
A
2
2
Ay Fy S

116. Қуат

A
N
t
A dA
N lim
t
dt
dA FdS
dS
N
F F
dt
dt
dt
1Вт 1 Дж / с
N F

117.

Кинетикалық энергия
Кинетикалық
энергиясы
энергия

дененің
қозғалыс
d
dr
dA F dr ma dr m
dt
dr
m d m d m d
dt
2
2
m
m
1
2
A dA m d
1
1
2
2
2
2

118.

Кинетикалық энергия
m
Wk
2
2
Кинетикалық энергия:
•Күй функциясы ;
•Оң шама;
•Әр түрлі жүйелерде бірдей емес

119.

Потенциалдық энергия
Потенциалдық энергия
әсер ететін
денелердің,
не
болмаса
дененің
бөлшектерінің
өзара
әсерлесуімен
анықталады
Потенциалдық энергия
мен күш арасындағы
байланыс :
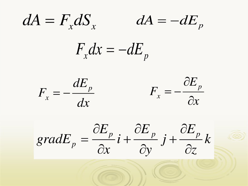
F gradE p

120.

dA Fx dS x
dA dE p
Fx dx dE p
Fx
dE p
Fx
dx
gradE p
E p
x
i
E p
y
j
E p
x
E p
z
k

121.

E p
E p
E p
F
i
j
k
y
z
x
grad i
j k
x y
z
Гамильтон операторы, не болмаса набла операторы
grad
F gradE p
F E p

122.

Wp mgh
m1m2
Wp G
r
kx
Wp
2
2

123.

Айналмалы қозғалыс кезіндегі
жұмыс пен энергия
2
A Md
жұмыс
1
Wk
m
i
2
i
i
2
I
Wk
2
2
m r
i
i
2
i
2
2
2
2
m
r
ii
i
Кинетикалық
энергия

124.

Айналмалы қозғалыс кезіндегі
жұмыс пен энергия
Егер
дене
бір
мезгілде
айналмалы және ілгерілемелі
қозғалатын болса, оның
кинетикалық энергиясы
m
I
Wk
2
2
2
2

125.

Энергия сақталу заңы
(механикада )
Тұйық жүйенің механикалық
қозғалыс кезінде өзгермейді
энергиясы
W Wk Wp const

126.

127.

Көңіл аударғандарыңызға рахмет!
English     Русский Правила